Department of Food Science and Nutrition, King Saud University, Riyadh, Saudi Arabia
This intention of this study was to investigate the possibility of using ziziphus powder (ZP) (Zizyphus spina-christi Rhamnaceae) to enhance the attributed quality of rice flour-based gluten-free cupcakes. The physiochemical properties of the cake batter and the finished product were examined. Samples testing included viscoelastic characteristics, pasting properties, cake dimensions, cake texture, color, and organoleptic evaluation. While 100% of the rice flour served as control, 1%, 2%, 3%, and 4% ZP were substituted for the rice flour. According to the Rapid Visco Analyzer (RVA), the addition of ZP significantly (p < 0.05) reduced the rice flour’s peak viscosity, setback, and pasting temperature. The batter exhibited a minimum amount of energy needed to measure the viscosity between 59.3 and 70.9 KJ/mol K-1 (kilojoules per mole per Kelvin), with 4% ZP > 3% ZP > 1% ZP > control > 2%. When the greater viscous property (G") was compared to the elastic property (G') in the batter’s rheological examination, it revealed a viscous system. Between the control and the 4% ZP, there was a large amount of lag (hysteresis) between G' and G". The value of G'/G" (Tan δ) increased gradually as a function of frequency in a manner similar to that of the G", which showed the least value for the sample with 1% ZP and the highest for 4% ZP. This difference was expressed in the hysteresis between the G' and G". All batter blends increased their viscosity as the shear was applied (pseudoplastics), because the n values of the power law (< 1) ranged from 0.17 to 0.86. The power law results indicated that the batter with 1% ZP was the most pseudoplastic and the one with 2% ZP was the least. The sample with 4% ZP exhibited the most Bingham yield stress. At greater ZP, testing showed softer cake with greater volume and elasticity (springiness). The sensory study echoed the instrumental color test, which showed whiter crumb and darker crust at greater ZP. The preferences of the panelists indicated that samples with 2% or 3% ZP were the most favored.
Key words: rice flour, gluten free, cupcakes, ziziphus, texture
*Corresponding Authors: Abdellatif A. Mohamed, Department of Food Science and Nutrition, King Saud University, Riyadh, Saudi Arabia. Email: abdmohamed@ksu.edu.sa; Shahzad Hussain, Department of Food Science and Nutrition, King Saud University, Riyadh, Saudi Arabia. Email: shhussain@ksu.edu.sa
Academic Editor: Saber Amiri, PhD, Department of Food Science and Technology, Faculty of Agriculture, Urmia University, Urmia, Iran
Received: 23 December 2024; Accepted: 27 May 2025; Published: 1 July 2025
© 2025 Codon Publications
This is an Open Access article distributed under the terms of the Creative Commons Attribution-NonCommercial-ShareAlike 4.0 International (CC BY-NC-SA 4.0). License (http://creativecommons.org/licenses/by-nc-sa/4.0/)
Despite the widespread use of wheat-based products, the growing number of consumers with celiac disease makes the development of new gluten-free products imperative (Khalifa et al., 2015; Singh et al., 2018). Muffins, cupcakes, and other pastries made from a basic formulation, using wheat flour as the primary ingredient, are produced; but since around 1% of the global population cannot eat these goods, substitutes containing no wheat, barley, or rye must be developed. The technological challenge in using various ingredients stems from the variations in texture, color, and taste of the final product. Studies have shown that substitute ingredients, such as amaranth, rice, soy, and corn starch flour blends, chickpea flour, and squash seeds, can be used to make cupcakes and muffins (Capriles et al., 2016; Herranz et al., 2016; Palacio et al., 2018; Shevkani et al., 2015; Singh et al., 2016). While the volume of cupcakes made with flaxseed and chickpea flour was smaller, its specific volume, firmness, gumminess, and chewiness were all similar to those of wheat flour. Although the sensory test of the flaxseed and chickpea flour revealed lower acceptability, the same formulation exhibited higher percentages of protein, fat, and fiber (Jabeen et al., 2022). Another interesting blend of rice, quinoa, and millet flours was used to make cakes, which resulted in a high mineral content, a good texture, and high nutritional value in addition to strong customer appeal (Ávila et al., 2017).
South American native Andean seeds were incorporated into the gluten-free cupcakes and muffin recipes. As reported in the literature, the viscoelastic characteristics of these batters underwent a severe change when wheat flour was excluded, resulting in a larger viscous modulus than elastic modulus. However, both moduli showed liquid-like behavior and increased with frequency in the presence or elimination of wheat flour. Because the viscoelastic qualities show how well the batter or dough will hold onto gas during baking, they are crucial to the dough’s characteristics (Salazar et al., 2021). When gums were employed to produce gluten-free baked goods, an increase in gum content and a decrease in water level yielded an increase in both moduli (G' and G") and a more elastic batter (higher G') (Lorenzo et al., 2008).
If gluten is the primary ingredient in wheat flour that provides the dough its viscoelastic qualities, then the dough processors will need to adapt if starch is substituted for gluten. The gluten-free formulations included hydrocolloids to reduce this impact. Hydrocolloids enhances the texture and appearance of baked goods, and a few research publications have documented this in the literature (Gallagher et al., 2004; Gómez and Colina, 2019; Salem et al., 2024; Santos Aleman, 2021). In general, when xanthan and galactomannan gums were utilized in a gluten-free product’s dough formulation, the dough testing resulted in a higher G' than G", showing viscoelastic behavior with more solid property than liquid. Elastic dough is indicated by the same data, which showed little increases in both moduli at higher frequencies. Significant increases in moduli at higher frequencies were recorded by other researchers, suggesting a more viscoelastic dough. When there is less variation between G' and G" of the dough, there is a crossover point between G' and G", which results in a slower stress recovery—a behavior typical of incomplete elastic network in the dough (Agyare et al., 2004; Ribotta et al., 2004). Even though there was no statistically significant difference in the dough resistance to extension and extensibility (R/E) between the gluten-free and wheat flour, Burešová et al. (2014) found a favorable link between the gluten-free formulation’s dough resistance, extensibility, and peak stress and the loaf-specific volume. The authors concluded that higher resistance and extensibility in the dough might not reflect on testing the baked bread test. In a replacement trial, when insoluble fiber was added to rice flour to make muffin, the result showed that volume and specific volume of the muffin decreased as predicted when insoluble fiber was present, although higher density and water-holding capacity were also seen (Na et al., 2023).
Other investigations found that the addition of apple, orange, or carrot pulp powder to rice flour cake mix increased its G' and G" values, and increased specific volume, harder crumb, and decreased cake volume have all been linked to a higher powder content (Kırbaş et al., 2019). By serving as antistaling agents and preserving structural integrity, hydrocolloids such as gums and soluble fiber are used to enhance dough performance and overall bread quality, producing acceptable results. These are a group of hydrocolloids known as foam and emulsion stabilization. The flow characteristics of aqueous systems may be impacted by this function. According to Selomulyo and Zhou (2007), gums are a useful tool for adjusting the detrimental effects of dough freezing, because gums promote the formation of small ice crystals during food freezing. By preventing the production of large ice crystals during dough freezing, gums’ hydrophilic nature contributes to the improved freeze-thaw stability. Grown in parts of Africa and Asia, Zizyphus spina-christi (the tree species) is a member of the Rhamnaceae family. Ziziphus gum mucilage has greater textural qualities than guar gum, which is comparable to xanthan gum. Ziziphus gum has an emulsifying power of 50% and can hold 73% water or 5% oil per gram of dry material, respectively. According to this data, ziziphus gum has a lower emulsifying power than xanthan gum but may hold more water (Obeed et al., 2008). Ziziphus powder (ZP) is a superior option for baked goods since it can hold more water that reduces bread staling during storage and increases its shelf life. When compared to ZP, which is extracted straight from the fruits, xanthan gum is more expensive because it is made by the Xanthomonas bacteria that requires a long isolation process. ZP has a better nutritional value than xanthan gum since it contains significant levels of protein, oil, vitamin C, reducing sugars, total fiber, potassium, sodium, and phosphorus (Obeed et al., 2008). The presence of reducing sugar is an added value for increasing the rate of the Maillard reaction, which is responsible for developing the brown color on the outer layer of baked products; this reduces the use of sugars in the formulation. Therefore, ZP has technological and nutritional benefits compared to other natural hydrocolloids, which needs to be explored more and introduced to more food products, especially in the countries producing this fruit.
A global search is on to find the natural sources of hydrocolloid that can be used as soluble fiber and texture modifiers in baked gluten-free products. Thus, the objective of this study was to use ZP in rice flour-based gluten-free cupcakes. Hence, cupcakes were formulated by replacing rice flour at 0%, 1%, 2%, 3%, and 4% with ZP. This study includes areas such as the effect of ZP on the rheological characteristics of batters formulated with gluten-free cupcake based on rice flour. We also looked into how ZP affects the cupcakes’ overall acceptance by panelists as well as their texture and color.
Ziziphus fruits were collected from the King Saud University farm and the ingredients, including basmati rice, were bought from a nearby supermarket in Riyadh, Saudi Arabia.
Ziziphus fruits were cleaned and washed, and then steamed for 3 minutes at 50°C to prevent enzymatic browning before the separation of the fruit. Following the separation of the seeds, the pulp was made by blending the fruits for 3 minutes in a high-speed blender (BioloMix, Whirlpool Corporation, Benton Harbor, MI, USA) at a ratio of 3:1 with distilled water. The pulp was soaked in hot water (60⁰CC) to further inactivate the enzymes and prevent browning. After it was freeze-dried, the pulp was sieved through 60 mesh and kept at 4°C. The pulp yield was 87% based on the weight of the ziziphus fruit.
The cupcake recipe is shown in Table 1. Aside from ZP, which is mostly composed of gum (soluble fiber) and insoluble fiber and 5% moisture content in agreement with Obeed et al. (2008), the formula composition is standard for cupcakes. One of the main factors influencing the batter’s consistency is the gum. Most gums used in baking make up between 1% and 2% of the base flour, while ZP utilized at a rate of 4% is more than just gum, because it contains the remaining components of the fruit.
Table 1. Cupcake batter formulation.
| Ingredients (g) | (g) | (g) | (g) | (g) | (g) |
|---|---|---|---|---|---|
| Rice flour | 100 | 99 | 98 | 97 | 96 |
| Sugar | 60 | 60 | 60 | 60 | 60 |
| Oil | 40 | 40 | 40 | 40 | 40 |
| Eggs | 50 | 50 | 50 | 50 | 50 |
| Powdered milk | 8 | 8 | 8 | 8 | 8 |
| Baking powder | 3.4 | 3.4 | 3.4 | 3.4 | 3.4 |
| Baking soda | 1.6 | 1.6 | 1.6 | 1.6 | 1.6 |
| Salt | 2 | 2 | 2 | 2 | 2 |
| Water | 35 | 35 | 35 | 35 | 35 |
| ZP1 | 0 | 1 | 2 | 3 | 4 |
| Total | 300 | 300 | 300 | 300 | 300 |
1ZP = ziziphus pulp powder; the percentage of ZP was based on the flour weight.
The cupcake batter was made using the creaming process, which involved beating the eggs for 5 minutes in order to capture air bubbles and produce a leavened end product. Next, the eggs were beaten with sugar, vegetable oil, and ZP. By using this method, the batter traps more air and ZP aids in keeping the batter structure intact. To enable creaming, other ingredients—rice flour, baking soda, baking powder, salt, and powdered milk—were combined and added successively with water. After 4 minutes spent mixing, the cupcake was baked for 15 minutes at 180°C.
Using a Rapid Visco Analyzer (RVA) (Newport Scientific, Sydney, Australia), the pasting properties of the cupcake batter were examined. Using distilled water, the batter (10 g) was brought to 30 g. The mixer was then put inside the RVA canister and heated to 95°C at a rate of 10°C/minute for 5 minutes. It was then cooled to 50°C and maintained for 2 minutes.
The batter was subjected to dynamic rheology using a Discovery Hybrid Rheometer (DHR) (TA Instruments, New Castel, PA, USA). Before it was loaded onto the rheometer, the batter was cooked in the RVA and subjected to angular frequency sweep between 0.1 rad (radians)/second and 100 rad/second with a 5% strain. G' (elastic modulus), G" (viscous modulus), and tan δ were the parameters measured. The steady shear data was obtained on the gel at a shear rate of 1–100/second. The temperature dependence was carried out at 20°C, 30°C, and 40°C, and the data was fitted to a power law (Eq 1) and Bingham Model (Eq 2).
t=k Υn (1)
where t = shear stress (1 Pas); K = consistency coefficient (Pa•sn); γ = shear rate (s−1); and n = flow behavior index (dimensionless).
σ = σ0 + ηBγ˙ (2)
where σ = shear stress; σ = yield stress (YS); ηB is the Bingham viscosity (not a real viscosity; it is used to describe the slope of the Newtonian portion of the curve); γ˙ = shear rate.
The temperature dependence of the gels was tested according to the Arrhenius equation where the stress on the sample was measured at three different temperatures (20°C, 30°C, and 40°C) at a shear rate ranging from 1 to 100/second (Eq 3).
By taking the ln of both sides
Where (k is the apparent viscosity [Pa s] at shear rate 100 s−1 and the set temperature [Pa sn]), A is the pre-exponential factor (Pa sn), Ea is the activation energy (J/mol), R is the universal gas constant (8.314 J mol−1 K−1), and T is the absolute temperature (Kelvins). The value of Ea was determined from the slope of lnk versus 1/T (Ea = slope × 8.314) using the linear regression analysis (Eq 4).
The texture test was done by using a cylindrical probe (20 mm) mounted on a TA-TXT (texture analyzer) (Stable Micro Systems, Surrey, UK) with a maximum compression cell of 50 kg at 25% strain. Therefore, the total height of the cupcake was 35 mm, and 8.25 mm represents 25% of the total height of the cupcake. The whole cupcake was put under the compression to test its texture, which was administered after the samples were rested overnight. After a one-time compression, the probe was given 60 seconds to recover to its starting position, allowing the springiness to be measured. At 1.0 mm/second, both the pretest and the actual test were conducted, whereas the posttest was set as 10 mm/second. The ranking of the cupcake firmness as a function of ZP content was 1% > 0% > 2% > 4% > 3%. The firmness data did not exhibit any specific pattern where the higher ZP softened the cake, but the sample with 3% ZP was significantly softer than the 4% ZP. This variation could be attributed to the moisture distribution during storage. It is true that the majority component of the cake is starch; therefore, the cake hardness is connected to starch retrogradation during storage. In addition, literature reports revealed that gums reduce the starch gel firmness because of its ability to hold on to the water.
The color of the crust and the crumb of the cupcake were measured on the same piece by directly measuring the crust color and by slicing the top and measuring the crumb. According to Alamri et al. (2014), the color parameters, including L* (lightness), a* (redness), and b* (yellowness), were measured using a Chroma meter Minolta color grader (Konica Minolta CR-40) equipped with a D65 light source.
Twenty semi-trained panelists were given cupcake samples, which were identifiable by a three-digit number. Panelists evaluated the samples based on their overall acceptability, volume, texture, taste, aroma, and color of the crust and crumb (Hassan et al., 2020). After completing the three-step training sessions, panelists were chosen based on their capacity to demonstrate how the cupcake samples differed from one another, based on the parameters mentioned above. As the first training step, panelists were trained to distinguish between four cupcakes prepared with different formulations. Those who made the distinction were allowed to take part in the second round, which included three samples with one level of ZP powder compared to a control. The final training included those who distinguished between samples with different ZP. The samples were scored on a 9-point hedonic scale, where 1 represents extremely disliked, 5 represents neither like nor dislike, and 9 represents like extremely.
Measurements were done in triplicate. One-way ANOVA by analysis of variance was applied to ascertain the impact of ziziphus gum on the characteristics of the batter and the cupcake such as pasting, rheological, texture, color, and sensory. Using the Duncan’s Multiple Range (DMR) test at p < 0.05 and PASWR Statistics (previously known as Statistical Package for the Social Sciences [SPSS]) 18 software, the means were compared.
The reason for testing the pasting properties of the batter was to get an idea on how the components of the blends behaved during the processing steps as well as during storage. This test helped us in making sure that the handling of the batter during processing was manageable. Table 2 presents the batter’s pasting characteristics. According to Lin et al. (2021), peak viscosity (PV) is directly correlated with starch swelling and water absorption capacity. There was a significant drop in PV (p > 0.05), and the loss was exacerbated by increasing the ZP concentration. At 4% ZP, the batter had the lowest viscosity. The viscosity of the batter sample containing 1% and 4% ZP decreased by 4.7% and 21.3%, respectively. Since ZP is dispersed across the granules’ surface and since water penetrates the granules more slowly which limits starch swelling, the viscosity may have decreased as a result. These results agree with the data reported by Li et al. (2019) and Zhang et al. (2023). However, research indicated that sodium alginate increased viscosity, which was linked to a rise in amylose content in the liquid phase that supported the swollen granules and prolonged swelling, hence increasing the PV (Funami et al., 2008). The setback showed a similar pattern, with the sample containing 4% ZP exhibiting softer gel. The decrease in amylose retrogradation is the cause of the setback reduction. One explanation for this action could be that ZP served as a spacer between the amylose molecules, preventing hydrogen bonds from forming baked goods. Staling is a big problem in the baking industry because it shortens the shelf life. The primary cause of staling is due to amylose retrogradation, which can be lowered by adding ingredients like ZP in baked goods formulations. The firmness of the cupcake (discussed later) clearly showed this effect. This data is consistent with the literature reports (Alamri et al., 2022; Hammed et al., 2016).
Table 2. Pasting properties of the cupcake batter: peak and final viscosity, setback, and pasting temperature (PT).
| ZP | Peak Viscosity (cP†) | Final Viscosity(cP) | Setback(cP) | Pasting Temp.(°C) |
|---|---|---|---|---|
| 0% | 6435 ± 15a | 7848 ± 60d | 6438 ± 07a | 80.75 ± 0.25a |
| 1% | 6134 ± 16b | 8180 ± 20a | 6369 ± 11b | 80.00 ± 0.25b |
| 2% | 5302 ± 08c | 7934 ± 06c | 5735 ± 05e | 79.95 ± 0.05b |
| 3% | 5175 ± 07d | 7964 ± 11c | 5338 ± 12d | 78.75 ± 0.15c |
| 4% | 5064 ± 14e | 8046 ± 21b | 5759 ± 11c | 78.50 ± 0.25c |
ZP = Ziziphus powder; this means that carrying same letters in the column are statistically nonsignificant from each other (DMR p < 0.05). Although there is a decrease in the viscosity of the batter, the setback significantly dropped which is a good sign for prolonged shelf life. Shelf life is directly related to baked products staling, indicated by the high setback.
The final viscosity did not follow specific pattern but was significantly higher than the control where the difference between 2% and 3% ZP was minimal. The final viscosity was the dextrinized starch’s capacity to create a viscous substance at 50°C through molecular entanglement after breakdown as opposed to the setback when the increase in viscosity was caused by amylose retrogradation via hydrogen bonding (after starch gelatinization, amylose forms a network via hydrogen bonding that increases the viscosity of the starch gel via retrogradation). The primary cause of baked goods staling, which is the appearance of an undesirable odor and dryness following several days of storage, is determined to be amylose retrogradation. According to reports, adding locust gum and alginate to starch increased the final viscosity, which increased as the amount of gum increased (Nawab et al., 2016; Zhang et al., 2023). PT is the temperature where viscosity starts increasing during heating. ZP considerably lowered the batter’s PT, and this drop was dependent on ZP concentration (Table 2), with the greatest ZP percentage (4%) lowering the PT the most. These findings are consistent with earlier research that introduced ziziphus gum to wheat flour slurry instead of batter substituted with pulp; however, a comparable decline in PT was noted (Mohamed et al., 2022; Salem et al., 2024). Even at very low concentrations, a variety of gums, including pectin and xanthan gum, have been shown to reduce starch PT. Because of other ingredients in the batter, there is less interaction between the ZP and the starch, which results in a drop in PT. Another perspective is the rise in heat transfer into the starch that caused PT decline, due to ingredients other than starch.
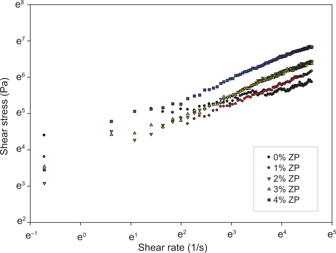
The rheological testing of the batter is important for the determination of the compatibility of the ingredients and how the blend flows during the mixing process. In addition, these tests allow for the determination of the effect of heat on the flowing properties of the batter. Figure 2 and Table 3 display the flow behavior values of the cupcake batter. The high coefficient of determination (R2) indicates that the data fit the power law (Eq 1) quite well. The K and n values at various temperatures and ZP concentrations are presented in Table 3. Since the n values varied from 0.17 to 0.86, all batter blends are classified as pseudoplastics. Because of their lower n value, batter samples without ZP showed higher pseudoplastic behavior. As the temperature rose, the n value dropped. Conversely, when ZP was present, the n value was lowest at 1% ZP and greatest at 2% ZP, while the values for 3% and 4% fell between 1% and 2%. Consequently, we reveal that the batter with 1% ZP is the most pseudoplastic while the batter with 2% ZP is the least. According to reports, certain gums reduce the n value of various starches as a function of gum concentration (Mandala and Bayas, 2004; Tang et al., 2013).
Table 3. Rheological parameters (Power law model and Bingham model) of the batter gels containing different levels of ziziphus pulp.
| Treatment ZP | Temp. ºC | Power Law Model | Bingham Model | ||||
|---|---|---|---|---|---|---|---|
| Flow index (n) | Consistency coefficient (K)(Pas n) | R2 | Yield stress(Pa) | Viscosity(Pas n) | R2 | ||
| 0% | 20 | 0.17 | 94.52 | 0.91 | 168.35 | 2.16 | 0.98 |
| 30 | 0.22 | 55.42 | 0.95 | 54.34 | 2.03 | 0.99 | |
| 40 | 0.44 | 19.12 | 0.95 | 23.71 | 1.96 | 0.99 | |
| 1% | 20 | 0.53 | 39.41 | 0.97 | 113.80 | 3.72 | 0.97 |
| 30 | 0.70 | 13.31 | 0.98 | 44.87 | 3.05 | 0.99 | |
| 40 | 0.79 | 7.85 | 0.99 | 27.54 | 2.85 | 0.99 | |
| 2% | 20 | 0.58 | 44.51 | 0.99 | 131.52 | 5.51 | 0.96 |
| 30 | 0.75 | 13.69 | 0.99 | 47.32 | 4.13 | 0.99 | |
| 40 | 0.86 | 7.40 | 0.99 | 24.34 | 3.88 | 0.99 | |
| 3% | 20 | 0.55 | 46.92 | 0.99 | 135.71 | 5.13 | 0.95 |
| 30 | 0.73 | 14.56 | 0.99 | 52.73 | 3.99 | 0.99 | |
| 40 | 0.83 | 8.177 | 0.99 | 25.64 | 3.69 | 0.99 | |
| 4% | 20 | 0.55 | 75.67 | 0.99 | 216.81 | 8.09 | 0.95 |
| 30 | 0.71 | 24.46 | 0.99 | 88.48 | 5.88 | 0.99 | |
| 40 | 0.83 | 11.66 | 0.99 | 38.04 | 5.31 | 0.99 | |
ZP = Ziziphus powder. The power law model’s suitability for identifying the kind of gel that forms can be determined by looking at the R2. The viscosity increased as the batter mixed more quickly, according to the n value present in the table. The findings also demonstrated the effect of temperature changes on batter viscosity.
Yield stress is the stress below which no flow occurs.
Figure 1. Flow Chart of Cupcake baking process. The process included creaming step, batter development and baking
Figure 2. Shear rate-shear stress of the cupcake batter at 0%, 1%, 2%, 3%, and 4% ZP.
All the n values increased at higher temperature that rendered the batter gel to become less pseudoplastic, which is characterized by decreasing viscosity with increasing the mixing speed. Therefore, this needs to be taken in consideration during batter processing. At the same ZP concentration and greater temperature, the batter’s consistency coefficient (K) showed lower values; however, the addition of ZP decreased the batter’s K value independent of concentration (Table 3). The value of the consistency coefficient (K) is directly related to the viscosity of the system. With the addition of ZP, the range was 7.40 with 1% ZP and 75.67 with 4% ZP, while the batter’s K value varied between 19.12 and 94.52 (Pasn) without ZP. The batter’s K value showed the same ranking regardless of temperature: control > 4% > 3% > 2% > 1%. As seen in the profile in Figure 2, the highest flow behavior was noted for batter gels made from ZP mixes. It is also true that the samples that were most stressed were those with the greatest ZP concentration (4%). Conferring to the data reported here, the batter’s rheological characteristics appeared to be dependent on the amount and presence of ZP. The least flow behavior value was recorded for the batter gel without ZP, which can be ranked as 4% > 2% > 3% > 1%. The YS data is presented in Table 3 along with the power law, which is defined as the minimum stress needed to initiate flow. The data in Table 3 show that within the same ZP level, YS dropped at higher temperature indicating that lower force was needed for flow to occur. The YS pattern between the control and the samples at the same temperature showed that higher ZP level caused higher YS irrespective of temperature which point to more flow (Table 3). The ranking of the YS is at 20ºC—0% > 4% > 3% > 2% > 1%—at 30ºC—4% > 0% > 3% > 2% > 1%—and at 40ºC—4% > 1% > 3% > 2% > 0%. This ranking showed that at 20ºC, the control exhibited the highest YS, then became the second highest at 30ºC and the least YS at 40ºC, whereas samples with 2% and 3% ZP maintained the same rank regardless of temperature (Table 3).
The Arrhenius equation can precisely explain the temperature dependence of the reaction rate constants and could be used to correlate the reaction rate constant of the cupcake batter over the representative temperature ranges associated with the batter-gel and the quality of stability of the gel. Calculating the impact of temperature change on the rheological characteristics of high moisture biomaterials at a specific shear rate enabled the determination of the activation energy (Ea) of the batter-gel that was prepared. Plotting the apparent viscosity (Pas) at 100 shear rate (S-1) and reciprocal of the temperature in Kelvins allows one to use the Arrhenius equation to calculate the Ea from the slop (Eq 2). According to the ranking, the Ea of the batter was 4% ZP > 2% ZP > 3% ZP >1% > control. The range of the Ea values (KJ/mol K-1) was 59.3–70.9. The batter’s Ea showed greater values as a function of ZP increase, with the exception of the 2% ZP. The increase in Ea as a function of increase in ZP was 19.6%, 15.0%, 12.1%, and 3.5% for the 4%, 3%, 2%, 1%, and 0% ZP, respectively. When ZP was introduced at 3% and 4%, the Ea values were 10% and 18% higher than the control; however, when 2% ZP was added, a decrease in Ea was seen. In contrast, the 1% ZP resulted in a negligible rise. On the contrary, the activation energy decreased with 2% ZP, suggesting that the viscous characteristics were less temperature dependent. Several researchers found that using different gums, particularly xanthan gum, decreased the Ea of starch gels (Kim and Yoo, 2006; Marcotte et al., 2001). It was determined therefore from the activation energy data that adding ZP to the batter formulation showed temperature dependence because their Ea was much greater than the control.
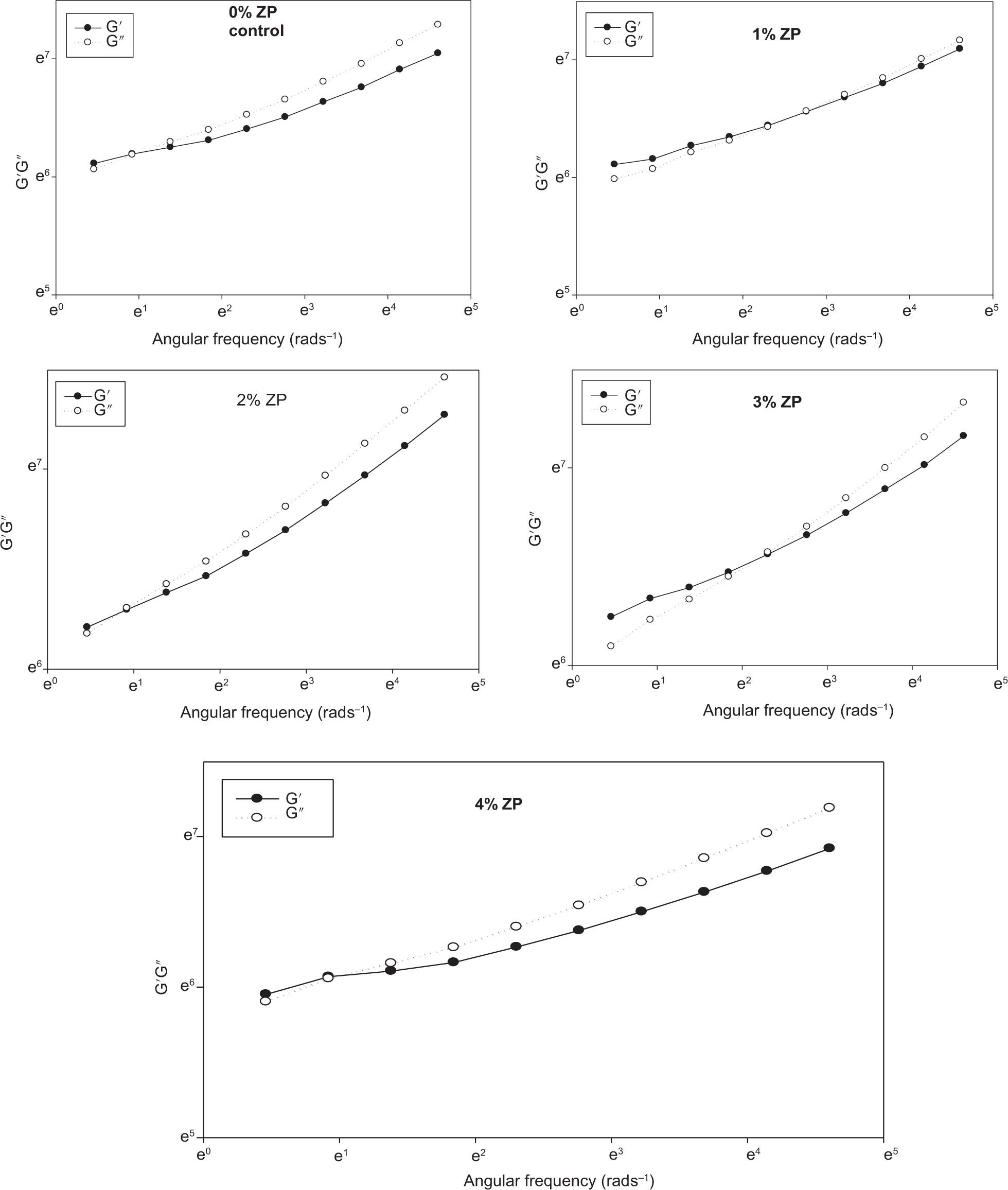
Deviations from the linear viscoelastic region (LVR) of the tested batters caused by the testing conditions can be determined by setting the ideal testing parameters (temperature, strain, and oscillation frequency) within this region. The LVR of this study was established across a broad range of experimental temperatures. However, the LVR region was found to be at 5% strain between 25°C and 50°C. The majority of reports in the literature employed strains of up to 50% at frequencies between 10 and 47 rad/second (Mohamed et al., 2022). The 5% strain used in this investigation nonetheless is low enough to fall inside the LVR and permits gel characterization without changing the structure of the batter gel. Figure 2 shows the dynamic rheology parameters, G', G", and tan δ (G"/G'), where G" is the viscous and liquid-like modulus and the dynamic mechanical loss tangent (tan δ = G"/G') and G' is the elastic and solid-like modulus. Within the applied frequency’s linear range, the data was gathered. Figure 3 displays the batters’ changes in G', G", and tan δ. Viscoelastic materials are indicated by the profiles, where the viscous character (G") predominates over the elastic G'. As angular frequency increased, so did the size of storage moduli, loss moduli, and tan δ. Crossovers between moduli were observed, especially for the samples with 1% and 3% ZP. With the exception of the batter samples with 1% or 3% ZP, it was found that all samples’ loss moduli were significantly higher than their elastic moduli across the frequency range (0.1–100 rad/second). This indicated that viscous properties are superior to elastic ones, which are primarily frequency dependent. The high frequency dependence suggests that ZP and the batter ingredients were strongly associated. The properties of the batter employed in this study suggested a viscous texture (higher G"); however, for the majority of starchy goods, the G' was discussed instead of the G" to point to a more elastic texture. The reason for viscous property is the ability of the gums found in the ZP to absorb water (immobilize water) which leads to an increase in viscosity of the batter. Regardless of the ZP concentration, all the samples showed viscous characteristics with variations in batter hysteresis (the gap between G" and G'). The information in Table 4 demonstrated how the G" ends at greater values at the higher frequency and begins at lower values than G' at the same frequency. As the frequency increases, some of these batters change from being elastic to viscous, signifying a crossover between the moduli. The control and 4% ZP samples had the highest levels of hysteresis; however, they did not show the crossover since their moduli had the same staring point. Thus, the batter with 2% ZP had the most viscous and with 1% ZP had the lowest; yet, the control (301) and the 4% ZP (318) showed the highest hysteresis (Table 5). Based on how ZP affects hysteresis, samples can be rated as 4% > 0% > 2% > 3% > 1%. This demonstrates how ZP favors G" over G', and at 4%, ZP was the best at preserving the most viscous characteristic. The higher slope of the G" line (Figure 3), which showed the least dependency for batters with 1% and 3% ZP and the highest for the control and 4% ZP, showed that the G" was more frequency dependent than G'. This rating is similar to the shear rate and shear stress data shown before as well as the hysteresis ranking. Since G" was higher than G', tan δ increased at higher frequencies.
Table 4. The G', G", and hysteresis of the cupcake batter.
| Range of G'and G"at the low and high frequencies | |||
|---|---|---|---|
| % ZP | G'(Pas) | G"(Pas) | Hysteresis1 |
| 0 | 460–1149 | 434–1450 | 301 |
| 1 | 460–1230 | 403–1324 | 094 |
| 2 | 505–1445 | 488–1738 | 293 |
| 3 | 518–1300 | 448–1537 | 237 |
| 4 | 385–1017 | 369–1335 | 318 |
1= the difference between the highest G" and G'; hysteresis = the lag between G' and G" which is the initial value at a low mixing rate, and the value at the highest mixing rate are represented by the range of the G' and G". The discrepancy between each sample’s upper range between G' and G" is known as hysteresis. A reliable indication of batter stability at varying mixing rates is hysteresis.
Figure 3. Effect of ziziphus pulp on the G' and G" of the cupcake batter. With the exception of 1% and 3% ZP, all results indicated a viscous rather than elastic batter. Crossover was evident in the 1% and 3% data, as the batter changed from an elastic state at low mixing rates to a viscous system at higher mixing rate.
According to published findings, batter made with chickpea flour demonstrated the usual characteristics of weak gels, including a significant frequency dependence for G' and G" over the frequency range under test. Herranz et al. (2016) demonstrated that these batters exhibited viscoelastic behavior when their G' values were bigger than their G" values. The data reported here is not consistent with the literature studies, despite the fact that both formulations are gluten-free, which is a commonality between the literature and the data. The difference between the rice flour and chickpea flour used in this investigation may be the cause of the discrepancy. The batter employed in this study was more viscous than elastic because rice flour, which makes up around 75% of the starch, has three times the viscosity of most other starches.
The cupcake dimensions—weight, length, width, and volume—are presented in Table 5 and Figure 4. The cake weight significantly increased as ZP increased, with the control having the least weight and the 4% ZP having the most. This is because the ZP’s high fiber content, particularly its ziziphus gum, allows it to retain water. The heaviness of the dough, which restricted its vertical expansion due to carbon dioxide expansion, may be the reason why the height considerably (p < 0.05) decreased as ZP increased. The elastic quality of wheat protein causes the vertical expansion of cupcakes made with wheat flour, whereas the lack of gluten in rice cakes prevented the cupcakes from expanding vertically. As a result, the dough expanded horizontally, causing increase in the cake’s width, thus the overall volume. In addition, ZP significantly (p < 0.05) boosted the cake’s volume, which is consistent with its width expansion. The ability of the gum present in the ZP to hold onto the gas and permit dough expansion may be the cause of the volume rise. Reports in the literature indicated that using flaxseed gum to make cupcake resulted in a decreased volume (Jabeen et al., 2022; Salazar et al., 2021). The authors contrasted cupcakes made with rice flour and those made with wheat flour. In this investigation, we compared cupcakes made with 100% rice flour with those made with ZP substituted for the rice flour. The maximum volume rise (18%) was seen in the cake sample with 4% ZP and the lowest was the control. The width increase is primarily responsible for the volume rise since the cake’s height decreased and the width increased. The specific volume of the cupcake (volume/mass) varied from 2.35 cm3/g to 2.55 cm3/g, with the sample containing 4% ZP having the highest reported volume and the control having the lowest. This trend is comparable to the volume data that was recorded (Table 4). The findings revealed a discrepancy between the specified volume (3–8%) and the cupcake volume range (7–18%). This discrepancy might be explained by the little differential in the cake weight and volume. Cake volume in general is a critical parameter of the quality, because it is connected to the consumer preference. The data given here ranges from 2.35 to 2.55, although reports in the literature indicated that the specific volume of the cupcake prepared from wheat flour, rice/starch/guar, and almond/flaxseed/starch was around 3–4 cm3/g, 2.45 cm3/g, and 2.35 cm3/g, respectively (Jabeen et al., 2022). This is a useful contrast that demonstrated how well rice flour and ZP work together in the formulation.
Table 5. Physical properties of the cupcake: weight, height, width, volume, and specific volume.
| ZP | Weight (g) | Height | Width | Volume (cm3) | Specific Volume (cm3/g) |
|---|---|---|---|---|---|
| 0% | 22.02 ±0.03e | 37.13 ±0.40a | 51.96 ±0.20d | 51.67 ±1.52d | 2.35 |
| 1% | 22.70 ±0.06d | 36.13 ±0.15b | 52.70 ±0.26c | 55.00 ±1.00c | 2.42 |
| 2% | 23.16 ±0.09c | 35.70 ±0.36bc | 53.36 ±0.25b | 57.00 ±1.00b | 2.46 |
| 3% | 23.56 ±0.34b | 35.70 ±0.10bc | 53.80 ±0.20a | 59.67 ±0.57a | 2.53 |
| 4% | 24.02 ±0.02a | 35.36 ±0.15c | 54.16 ±0.15a | 61.33 ±0.57a | 2.55 |
ZP = Ziziphus powder. Means carrying same letters in the column are statistically nonsignificant from each other (DMR p < 0.05). Cupcake width and volume were higher in all ZP samples. It is evident that width, not height, was the cause of the volume rise. Fiber is known to absorb high amount of water; therefore, the presence of ZP increased the weight of the final product. Speci = specific volume (volume/weight cm3/g).
Figure 4. Cupcake images: whole cake and horizontal slices.
The texture properties data is shown in Table 6. Cupcake firmness (hardness) is the force necessary for sample deformation, whereas springiness, a measure of elastic recovery, is the rate at which a deformed material returns to its undeformed state after the deforming force is withdrawn. Because of their increased ZP, cupcake samples were less firm; the control had the most firmness while the 3% ZP had the lowest. This data agrees with reports of rice flour cupcake exhibiting softer texture and lower springiness compared to wheat flour (Bhaduri, 2013). While there was a gradual rise in springiness, there was no significant difference between the control and 1% (p < 0.05), while the 2%, 3%, and 4% showed significantly higher springiness than the control and the 1% ZP, but they exhibited significantly similar firmness. As a result, the batter’s ability to retain air bubbles directly affects springiness. Consequently, we saw that the cake’s springiness gradually rose as ZP increased demonstrating ZP’s capacity to aid in the growth and capture air bubbles, which is reflected in the cake’ss increased springiness as compared to the control. Data on springiness and firmness showed a similar pattern since high springiness requires more air bubbles, which are indicated by lower firmness (Table 5). According to published findings, batter made with chickpea flour demonstrated the usual characteristics of weak gels, including a significant frequency dependence for G' and G" over the frequency range under test. When a portion of the wheat flour was substituted with any other type of flour, Sanz et al. (2009) showed an increase in cake hardness, highlighting the significance of gluten formation on cake hardness. Since wheat flour allows for more air bubbles in the dough, which are essential for preserving the cake’s springiness, substituting inulin or chickpea flour decreased the cupcake’s springiness (Herranz et al., 2016). The absence of the bubbles results in a denser matrix with suppressed springiness. Water activity increased as a function of the ZP level (which is expected) because ZP increased the capacity of the batter to retain water after baking. The data presented here showed a water activity range of 0.753–0.885, which is a bit higher than the recommended value (0.795) for baked products, especially the cake with 2%, 3%, and 4% ZP. The water activity data is similar to the published findings (0.816–0.862) (Bhaduri, 2013).
Table 6. Texture properties of the cupcake: firmness, springiness, and water activity.
| ZP | Firmness (N) | Springiness (mm) | Water activity |
|---|---|---|---|
| 0% | 446.93 ± 03.60a | 36.16 ± 0.26b | 0.7537 ± 0.01d |
| 1% | 420.22 ± 13.43b | 38.42 ± 1.54b | 0.7721 ± 0.01d |
| 2% | 366.87 ± 04.69c | 46.50 ± 1.73a | 0.8179 ± 0.01c |
| 3% | 306.60 ± 12.97d | 47.84 ± 0.35a | 0.8517 ± 0.17b |
| 4% | 352.32 ± 12.14c | 48.82 ± 1.82a | 0.8857 ± 0.11a |
ZP = Ziziphus powder. Means carrying same letters in the column are statistically nonsignificant from each other (DMR p < 0.05). The positive effect of ZP on the cupcake firmness and springiness (fluffiness) is because of the higher amount of water remaining after baking.
The properties of the batter can be correlated to the cupcake quality. For instance, a lower setback of the viscoelastic RVA test due to ZP indicates less amylose retrogradation, which is related to the texture of the cupcake. Amylose retrogradation is the main cause of the staling (dryness) of baked products during storage, and that was apparent in the cake firmness shown in Table 6. The power law’s n value shows that the batter is more elastic and cohesive in the presence of ZP, which is indicative of a smoother cake texture. A batter that has a larger G" than G' is more viscous and less elastic, which means that it will expand more horizontally and less vertically during baking, which was obvious in the cake volume measurement.
Because it influences how consumers perceive the product’s acceptability, color is a crucial characteristic of baked goods. The color of baked goods is mostly determined by the type of flour used, the quantity and quality of the components, and how they interact as well as the baking temperature and time. Table 7 displays the color data. The consumer pays attention to lightness and darkness (brownness) of the cupcake, which is one of the distinguished overall characteristics of baked products. Therefore, to be more objective, instruments rather than panelist were used to measure these two major color characteristics. To determine the lightness and brownness, samples were scanned and the results were presented in a number of colors that were combined to make the lightness and the brownness of the cupcake (Table 7). Lightness (L*), redness (a*), and yellowness (b*) were the three-color parameters that were examined. L* values, which range from 0 to 100, show the degree of lightness from black to white, whereas positive a* is red and negative a* is green, and negative b* is blue and positive b* is yellow. The crust of baked products is often darker (lower brightness) than the crumb. Typically, ZP is brownish and rice flour is white. Contrary to claims in the literature, which state that rice cupcake has a darker crust than crumb (Bhaduri, 2013), the data presented here for the control (just rice flour) demonstrated a somewhat lighter crust than crumb. This might be explained by variations in the amount of reducing sugars or the protein content, which would intensify the Millard reaction. While the lightness (higher L*) of the crumb at 1% and 2% ZP stayed comparable to the control and the 3% and 4% ZP showed lighter color, the crust for the samples became darker (lower L*) as the ZP concentration increased. The a* (redness) of the crumb and the crust exhibited negative value, indicating greenish over reddish color. The a* of the crust ranged from –6.5 to 2.54, whereas the crumb ranged from –7.58 to –9.52 (Table 7). Overall, the crust was more reddish than the crumb, especially the samples with 4% ZP. The decrease in L* was reported for cupcake formulation with the replacement of corn starch whole grain (Lancetti et al., 2020). Darker baked products are perceived by consumers as healthier than light ones. In this regard, gluten-free bread used to appear light, especially if it was made with flour, and consumers assumed it was a pure flour base with little fiber and minerals (Ziobro et al., 2016). Consequently, from a marketing perspective, adding ingredients to lessen lightness can be beneficial. The data presented here showed that the crust became darker and the crumb whiter with the addition of ZP. Images of the cupcake are shown in Figure 4, revealing the increased air bubbles as a function of ZP content as well as the higher specific volume. This image agrees with the softness of the cake presented in Table 6. This is reflected in the domination of the viscous of the batter over the elastic properties, which reinforced entrapment of the carbon dioxide released form the chemical leavening. In addition, higher ZP content resulted in darker crumb and the roughness on the crust disappeared at higher ZP.
Table 7. Cupcake color: L*, a*, and b*.
| ZP | Crust | Crumb | ||||
|---|---|---|---|---|---|---|
| (L*) | (a*) | (b*) | (L*) | (a*) | (b*) | |
| 0% | 71.34 ± 1.28a | –2.59 ± 0.36b | 27.57 ± 1.01b | 68.56 ± 1.41c | –9.03 ± 1.38a | 16.86 ± 2.03a |
| 1% | 64.19 ± 1.57d | –6.19 ± 0.37d | 18.00 ± 0.23c | 69.51 ± 0.84c | –9.25 ± 0.71c | 15.80 ± 2.12a |
| 2% | 61.75 ± 0.35e | –6.53 ± 0.39d | 16.30 ± 0.38d | 69.51 ± 0.84c | –7.91 ± 0.62bc | 11.66 ± 1.35b |
| 3% | 69.24 ± 0.72c | –5.06 ± 0.09c | 18.41 ± 0.79c | 77.20 ± 0.91b | –7.58 ± 0.18b | 15.74 ± 1.05a |
| 4% | 69.44 ± 0.68b | 2.54 ± 0.32a | 34.34 ± 1.06a | 79.60 ± 1.01a | –7.58 ± 0.30b | 16.43 ± 0.52a |
ZP = Ziziphus powder. Means carrying same letters in the column are statistically nonsignificant from each other (DMR p < 0.05). Lightness: L*; Redness: a*; Yellowness: b*. L* values, which range from 0 to 100, show the degree of lightness from black to white. Positive a* is red and negative a* is green and negative b* is blue and positive b* is yellow. The lighter color is due to the low Maillard reaction between reducing sugars and proteins. By adding whey protein, for example, the color can turn brownish.
The sensory analysis data is presented in Table 8. With respect to the crust color, panelists liked the samples with higher ZP, while the crumbs were given a lower score at higher ZP, agreeing with the color data shown in Table 7 where crumb samples exhibited whiter color as a function of ZP increase. No significant difference was reported for the aroma and the taste, but the texture was positively affected by higher ZP. Therefore, panelists preferred the texture of the sample with the highest ZP. The overall acceptance of the cake was ranked based on ZP content: 2% > 3% >1% 0% > 4%. Unlike the overall acceptability, the 2% ZP sample was ranked in the middle for volume, springiness, and firmness. The ranking of the overall acceptability did not match any rank of other parameters such as firmness, springiness, and specific volume, whereas the springiness and specific volume exhibited similar ranking as expected. This could be due to the whitish color of the cupcake which is not the norm in the eyes of the consumer, because the consumer expects baked products with darker color. One thing for sure is the acceptability of the samples with ZP were superior to the control. The hardness, springiness, and volume were all the same. Additional tests—texture, taste, scent, and volume—were conducted in which the samples with overall acceptance (2% and 3% ZP) performed well. The acceptability of the finished cupcake is therefore directly related to the testing; the pictures shown in Figure 4 demonstrate that. The color problem can be easily fixed by increasing the Maillard reaction using a modest amount of protein source such as whey protein.
Table 8. Sensory characteristics of the cupcake: crust color, volume, aroma, taste, texture, and overall acceptability.
| ZP | Crust Color | Volume | Crumb Color | Aroma | Taste | Texture | Overall acceptability |
|---|---|---|---|---|---|---|---|
| 0% | 7.33 ± 0.57bc | 7.00 ± 1.00c | 9.00 ± 0.00a | 7.67 ± 0.57a | 7.67 ± 0.57a | 7.33 ± 0.57b | 7.67 ± 0.57bc |
| 1% | 6.66 ± 0.57c | 7.33 ± 0.57c | 7.67 ± 0.57b | 8.33 ± 0.57a | 8.00 ± 0.00a | 7.67 ± 0.57b | 8.00 ± 0.00bc |
| 2% | 8.00 ± 0.00ab | 7.67 ± 0.57bc | 7.67 ± 0.57b | 8.67 ± 0.57a | 8.33 ± 1.15a | 8.33 ± 0.57ab | 9.00 ± 0.00a |
| 3% | 8.66 ± 0.57a | 8.67 ± 0.57ab | 6.33 ± 0.57c | 8.33 ± 0.57ab | 8.33 ± 0.57a | 8.33 ± 0.57ab | 8.33 ± 0.57ab |
| 4% | 7.67 ± 0.57b | 9.00 ± 0.00a | 5.33 ± 0.57d | 6.67 ± 0.57b | 8.00 ± 0.00a | 9.00 ± 0.00a | 7.33 ± 0.57c |
ZP = Ziziphus powder. Means carrying same letters in the column are statistically nonsignificant from each other (DMR p < 0.05). The samples with 2% or 3% ZP were preferred by the panelists, also giving higher scores for a majority of other attributes. It is evident that one of the main flaws in the evaluated samples is their color, which can be fixed by adding a protein source to the formulation. Thus, samples with 2% or 3% ZP had good overall acceptability, texture, and taste.
The batter characteristics data showed a more viscous (G") than elastic batter (G') and the RVA data showed lower setback at higher ZP level, whereas cupcake tests exhibited lower cupcake firmness and high texture score by panelists at higher ZP level. In addition, the 2% and 3% ZP levels showed a different effect on the batter and the final product than the 1% and 4%. Therefore, a correlation between the rheological and physical and textural properties is obvious from the data presented here. Amylose retrogradation was revealed as the main cause of baked products staling. The data presented here showed lower setback, which reflects lower amylose retrogradation reflected in the reduced cupcake firmness. This was also observed by the good texture score given by the panelist.
This study demonstrated the likelihood of utilizing ZP to enhance the quality of gluten-free cupcake made from rice flour. Based on the results of this study, replacing rice flour with 2–3% ZP improved the overall acceptability of the cupcake. ZP increased the volume of the cupcake by 18%, and especially at 4% ZP, it reduced the firmness, increased the springiness, and maintained the water activity within manageable level (less than 0.8857). The color of the crust was darker at higher ZP, whereas the crumb exhibited lighter color at higher ZP. The final viscosity of the rice flour, as shown by the RVA data, was reflected on the cake batter. The greater value of G' over G" in rheological investigations suggested a viscous batter over elastic characteristic. This product can be improved by adding whey protein to enhance the color and by using brown rice to boost the cupcake’s nutritious content. Additionally, a robust procedure for producing ZP might be attempted. Because ZP can prolong the product’s shelf life, a long-term storage study can be conducted to pinpoint the precise moment at which a cupcake is deemed unfit for consumption.
The publication includes the original contributions made in the study. For any additional inquiries, please contact the corresponding author.
The authors appreciate the support from the Ongoing Research Funding Program (ORF-2025-1073), King Saud University, Riyadh, Saudi Arabia.
Alahmad and Hussain: idea development. Mohamed: method development. Ali Shahzad and Alquh: lab work and data collection. Ibraheem: data analysis and tables/graphs preparation.
The authors declare no conflicts of interest.
Agyare, K., Xiong, Y., Addo, K., et al., 2004. Dynamic rheological and thermal properties of soft wheat flour dough containing structured lipid. Journal of Food Science 69: 297–302. 10.1111/j.1365-2621.2004.tb13633.x
Alamri, M.S., Mohamed, A.A., Hussain, S., 2014. High-fiber date pits pudding: Formulation, processing, and textural properties. European Food Research and Technology 239: 755–763. 10.1007/s00217-014-2216-x
Alamri, M.S., Mohamed, A.A., Hussain, S., et al., 2022. Functionality of cordia and ziziphus gums with respect to the dough properties and baking performance of stored pan bread and sponge cakes. Foods 11: 460. 10.3390/foods11030460
Ávila, B. P., Braganca, G. C. M., Rockenbach, R., et al., 2017. Physical and sensory characteristics of cake prepared with six whole-grain flours. Journal of Food Measurement and Characterization 11: 1486–1492. 10.1007/s11694-017-9527-0
Bhaduri, S., 2013. A comprehensive study on physical properties of two gluten-free flour fortified muffins. Journal of Food Processing & Technology 4: 1–4. 10.4172/2157-7110.1000251
Burešová, I., Kráčmar, S., Dvořáková, P., et al., 2014. The relationship between rheological characteristics of gluten-free dough and the quality of biologically leavened bread. Journal of Cereal Science 60: 271–275. 10.1016/j.jcs.2014.07.001
Capriles, V.D., Dos Santos, F.G., Arêas, J.A.G., 2016. Gluten-free breadmaking: Improving nutritional and bioactive compounds. Journal of Cereal Science 67: 83–91. 10.1016/j.jcs.2015.08.005
Funami, T., Nakauma, M., Noda, S., et al., 2008. Effects of some anionic polysaccharides on the gelatinization and retrogradation behaviors of wheat starch: Soybean-soluble polysaccharide and gum arabic. Food Hydrocolloids 22: 1528–1540. 10.1016/j.foodhyd.2007.10.008
Gallagher, E., Gormley, T.R., Arendt, E.K., 2004. Recent advances in the formulation of gluten-free cereal-based products. Trends in Food Science & Technology 15: 143–152. 10.1016/j.tifs.2003.09.012
Gómez, C., Colina, J., 2019. Formulation of gluten-free cupcake with hydrocolloids for people with Celiac disease. Bioactive Compounds in Health and Disease-Online ISSN: 2574-0334; Print ISSN: 2769-2426 2: 134–148. 10.31989/bchd.v2i6.630
Hammed, A.M., Ozsisli, B., Simsek, S., 2016. Utilization of microvisco-amylograph to study flour, dough, and bread qualities of hydrocolloid/flour blends. International Journal of Food Properties 19: 591–604. 10.1080/10942912.2015.1038721
Hassan, E.M., Fahmy, H.A., Magdy, S., et al., 2020. Physicochemical and sensorial characterization of gluten-free cupcakes. Egyptian Journal of Nutrition 35: 33–64. 10.21608/enj.2020.144755
Herranz, B., Canet, W., Jiménez, M. J., et al., 2016. Characterisation of chickpea flour-based gluten-free batters and muffins with added biopolymers: Rheological, physical and sensory properties. International Journal of Food Science & Technology 51: 1087–1098. 10.1111/ijfs.13092
Jabeen, S., Khan, A. U., Ahmad, W., et al., 2022. Development of gluten-free cupcakes enriched with almond, flaxseed, and chickpea flours. Journal of Food Quality 2022: 4049905. 10.1155/2022/4049905
Khalifa, I., Barakat, H., El-Mansy, et al., 2015. Physico-chemical, organolyptical and microbiological characteristics of substituted cupcake by potato processing residues. Food and Nutrition Sciences 6: 83.
Kim, C., Yoo, B., 2006. Rheological properties of rice starch–xanthan gum mixtures. Journal of Food Engineering 75: 120–128. 10.1016/j.jfoodeng.2005.04.002
Kırbaş, Z., Kumcuoglu, S., Tavman, S., 2019. Effects of apple, orange and carrot pomace powders on gluten-free batter rheology and cake properties. Journal of Food Science and Technology 56: 914–926. 10.1007/s13197-018-03554-z
Lancetti, R., Palavecino, P.M., Bustos, M., et al., 2020. Yacon (Smallanthus sonchifolius) flour obtention: Effect of process conditions on quality attributes and its incorporation in gluten-free muffins. LWT 125: 109217. 10.1016/j.lwt.2020.109217
Li, H., Cui, B., Janaswamy, S., et al., 2019. Structural and functional modifications of kudzu starch modified by branching enzyme. International Journal of Food Properties 22: 952–966. 10.1080/10942912.2019.1619576
Lin, S., Liu, X., Cao, Y., et al., 2021. Effects of xanthan and konjac gums on pasting, rheology, microstructure, crystallinity and in vitro digestibility of mung bean resistant starch. Food Chemistry 339: 128001. 10.1016/j.foodchem.2020.128001
Lorenzo, G., Zaritzky, N., Califano, A., 2008. Optimization of non-fermented gluten-free dough composition based on rheological behavior for industrial production of “empanadas” and pie-crusts. Journal of Cereal Science 48: 224–231. 10.1016/j.jcs.2007.09.003
Mandala, I., Bayas, E., 2004. Xanthan effect on swelling, solubility and viscosity of wheat starch dispersions. Food Hydrocolloids 18: 191–201. 10.1016/S0268-005X(03)00064-X
Marcotte, M., Hoshahili, A.R.T., Ramaswamy, H., 2001. Rheological properties of selected hydrocolloids as a function of concentration and temperature. Food Research International 34: 695–703. 10.1016/S0963-9969(01)00091-6
Mohamed, A., Hussain, S., Alamri, M.S., et al., 2022. Physicochemical properties of starch binary mixtures with cordia and ziziphus gums. Processes 10: 180. 10.3390/pr10020180
Na, Y.-J., Olawuyi, I.F., Cho, H.-S., et al., 2023. Development of rice-based gluten-free muffins enriched with tigernut dietary fiber. Food Science and Preservation 30: 918–928. 10.11002/kjfp.2023.30.6.918
Nawab, A., Alam, F., Haq, M.A., et al., 2016. Effect of guar and xanthan gums on functional properties of mango (Mangifera indica) kernel starch. International Journal of Biological Macromolecules, 93, 630-635. 10.1016/j.ijbiomac.2016.09.011
Obeed, R., Harhash, M., Abdel-Mawgood, A., 2008. Fruit properties and genetic diversity of five ber (Ziziphus mauritiana Lamk.) cultivars. Pakistan Journal of Biological Sciences 11: 888–893. 10.3923/pjbs.2008.888.893
Palacio, M.I., Etcheverría, A.I., Manrique, G.D., 2018. Development of gluten-free muffins utilizing squash seed dietary fiber. Journal of Food Science and Technology 55: 2955–2962. 10.1007/s13197-018-3213-z
Ribotta, P., Perez, G., Leon, A., et al., 2004. Effect of emulsifier and guar gum on micro structural, rheological and baking performance of frozen bread dough. Food Hydrocolloids 18: 305–313. 10.1016/S0268-005X(03)00086-9
Salazar, D., Arancibia, M., Silva, D.R., et al., 2021. Exploring the potential of andean crops for the production of gluten-free muffins. Agronomy 11: 1642. 10.3390/agronomy11081642
Salem, M.E., El-Zayet, F.M., Rayan, A.M., et al., 2024 Development of gluten-free cupcakes using cactus mucilage as a new natural hydrocolloid. 5(1).
Santos Aleman, R.J., 2021. Physicochemical properties of high protein rice flours and application in a cupcake. Wiley Online Library. 99(2): 303–315. 10.1002/cche.10484
Sanz, T., Salvador, A., Baixauli, R., et al., 2009. Evaluation of four types of resistant starch in muffins. II. Effects in texture, colour and consumer response. European Food Research and Technology 229: 197–204. 10.1007/s00217-009-1040-1
Selomulyo, V.O., Zhou, W., 2007. Frozen bread dough: Effects of freezing storage and dough improvers. Journal of Cereal Science 45: 1–17. 10.1016/j.jcs.2006.10.003
Shevkani, K., Kaur, A., Kumar, S., et al., 2015. Cowpea protein isolates: Functional properties and application in gluten-free rice muffins. LWT Food Science and Technology 63: 927–933. 10.1016/j.lwt.2015.04.058
Singh, J.P., Kaur, A., Singh, N., 2016. Development of eggless gluten-free rice muffins utilizing black carrot dietary fibre concentrate and xanthan gum. Journal of Food Science and Technology 53: 1269–1278. 10.1007/s13197-015-2103-x
Singh, P., Arora, A., Strand, T.A., et al., 2018. Global prevalence of celiac disease: Systematic review and meta-analysis. Clinical Gastroenterology and Hepatology 16: 823–836.e2. 10.1016/j.cgh.2017.06.037
Tang, M., Hong, Y., Gu, Z., et al., 2013. The effect of xanthan on short and long-term retrogradation of rice starch. Starch-Stärke 65: 702–708. 10.1002/star.201200170
Zhang, X., Zhang, K., Yang, N., et al., 2023. Effect of natural gums on pasting, rheological, structural and hydrolysis properties of kudzu starch. Current Research in Food Science 7: 100607. 10.1016/j.crfs.2023.100607
Ziobro, R., Juszczak, L., Witczak, M., et al., 2016. Non-gluten proteins as structure forming agents in gluten free bread. Journal of Food Science and Technology 53: 571–580. 10.1007/s13197-015-2043-5