1Department of Gastronomy and Culinary Arts, Faculty of Tourism, Gaziantep University, Gaziantep, Türkiye;
2Food Processing Department, Vocational School of Naci Topçuoğlu, Gaziantep University Gaziantep, Türkiye;
3Department of Food Engineering, Faculty of Engineering, Gaziantep University Gaziantep, Türkiye
This study investigates the impact of particle size on the physical, rheological and textural properties of sesame paste prepared from sesame seeds by colloid milling. Four sesame paste samples (SP1–SP4) were processed with varying milling gap sizes. Particle size distribution revealed a significant reduction in particle size with smaller milling gaps, resulting in finer pastes with decreased oil separation. Finer particles enhance lightness, thereby contributing to the visual appeal of the product while also decreasing yellowness index. The finest sample exhibited the smallest D50 value. Rheological behavior was modeled using the Herschel–Bulkley model, showing that both yield stress and consistency coefficient decreased as particle size diminished. The creep test results, fitted using the four-element Burger’s model, revealed that smaller particles led to higher initial compliance (Jo), retarded compliance (J1), and retardation period (λ), indicating increased material flexibility and longer stress-relaxation period. Viscosity (η) increased significantly with reduced particle size, suggesting greater internal resistance to flow, probably because of enhanced particle interactions. The textural analysis confirmed that finer particles resulted in lower hardness and work of shear, leading to a softer and a more easily spreadable paste. In industry, optimizing particle size distribution ensures desirable product qualities, consistency, and consumer satisfaction.
Key words: colloid milling, particle size, rheology, sesame paste, texture
*Corresponding Authors: Oya Özkanlı, Department of Gastronomy and Culinary Arts, Faculty of Tourism, Gaziantep University, Gaziantep 27310, Türkiye. Email: ozbayram@gantep.edu.tr; Gülten Şekeroğlu, Food Processing Department, Vocational School of Naci Topçuoğlu, Gaziantep University, Gaziantep 27310, Türkiye. Email: sekeroglu@gantep.edu.tr
Academic Editor: Teresa D’Amore, PhD, Laboratory of Preclinical and Translational Research, IRCCS CROB, Centro di Riferimento Oncologico della Basilicata, 85028 Rionero in Vulture, Italy
Received: 25 January 2025; Accepted: 15 April 2025; Published: 1 July 2025
© 2025 Codon Publications
This is an Open Access article distributed under the terms of the Creative Commons Attribution-NonCommercial-ShareAlike 4.0 International (CC BY-NC-SA 4.0). License (http://creativecommons.org/licenses/by-nc-sa/4.0/)
Sesame (Sesamum indicum L.), also known as gingelly, beniseed, sim-sim, and til, is one of the oldest oilseed crops known to humanity. It has been cultivated for centuries, especially in Asia and Africa, primarily for its seeds, which contain 38–54% high-quality oil and 18–25% protein (Abu-Jdayil et al., 2002; Elleuch et al., 2007). The seeds are widely used in baked and confectionery products, making sesame a versatile and valuable crop. In 2021, the global production of sesame seeds was approximately 6.5 million metric tons, with Sudan, India, Myanmar, and Nigeria being the major producers (Food and Agriculture Organization of the United Nations [FAO], 2021). This highlights the economic significance of sesame in global agriculture and food industries.
One of the most popular products derived from sesame seeds is tahin (sesame paste). Sesame paste is prepared by grinding hulled, dry-roasted sesame seeds into a smooth, grayish-yellow paste (de Jonge et al., 2023). It is a staple food in Turkey and East Asia and
Middle Eastern countries, and has gained popularity in North America and Canada as well, particularly in restaurant cuisine. Sesame paste is often served as an appetizer, either with a few drops of vinegar or mixed with yogurt to create a salad. In traditional dishes, tahin is mixed with molasses and is particularly favored by children. It is also used in popular dishes such as foul (fava beans), a staple in Egypt (Ali and Batu, 2020; Ali et al., 2022; Hoteit et al., 2021; Nateghi et al., 2021).
Sesame paste has several notable qualities, including remarkable oil stability and resistance to oxidative deterioration (Alpaslan and Hayta, 2002). Its composition includes lipids (54–65%), proteins (17–27%), carbohydrates (6.4–21%), dietary fiber (9.3%), and essential nutrients such as niacin (4.5 mg/100 g), thiamin (1.08 mg/100 g), calcium (100 mg/100 g), iron (9 mg/100 g), and phosphorus (807–840 mg/100 g). These nutrients make tahin a nutritious and energy-dense food.
However, the shelf life of sesame paste is a significant concern for both producers and consumers. One of the primary issues is particle precipitation during storage, which causes oil separation and leaves a residual cake, negatively impacting consumer acceptability. Additionally, while sesame oil has antioxidant properties, lipid oxidation remains a common issue, leading to rancidity and off-flavors (Akbulut and Çoklar, 2008; Arslan et al., 2005; Hou et al., 2020; Yüzer and Genccelep, 2024).
The roasting process is crucial in tahin production, as it induces significant physical, chemical, structural, and sensory changes. Sesame oil from roasted seeds has a distinct flavor, and its stability is attributed to the presence of endogenous antioxidants, such as sesamin, sesamolin, and tocopherols. Sesame oil is known for its resistance to oxidation, making it a highly stable product. However, the quality of sesame oil is greatly influenced by roasting conditions, with higher temperatures producing stronger flavors but reducing oil quality (Yoshida and Takagi, 1997). Heat treatment may also result in some unwanted changes, such as the formation of potentially hazardous substances and nutritional losses. Roasting causes the Maillard reaction to proceed, which lowers the concentration of amino acids, particularly lysine. In addition, the production of harmful substances, known as thermal process contaminants, including 5-hydroxymethylfurfural (HMF), acrylamide, and furan, is another significant effect of the Maillard reaction (Berk et. al., 2019).
As a result, applying roasting process at low temperatures (120°C) during sesame paste production from sesame seeds may be an alternative approach to preserve nutritional quality and prevent formation of Maillard reaction products, including HMF, acrylamide, furosin, etc.
Structurally, anhydrous tahin is a suspension of hydrophilic solids in oil. The rheological behavior of this suspension largely depends on the properties and proportions of continuous phase (oil) and dispersed particles (solids) (Lokumcu and Ak, 2005). Achieving the correct particle size distribution and optimizing the physicochemical and rheological properties of sesame paste are essential for ensuring product quality, particularly in terms of emulsion stability, texture, and flavor. However, limited research is available on the relationship between particle size distribution and the rheological behavior of sesame paste.
This study’s objectives were to explore the influence of particle size on the color, oil separation, and textural and rheological properties of sesame paste produced from roasting of sesame seeds at low temperatures. This study also aims to investigate the rheology of sesame paste as a function of temperature and the shear rate at different particle sizes and modeling of rheological behavior. By investigating these factors, this work contributes to a better understanding of how particle size impacts the overall quality of sesame paste.
The hulled and unroasted sesame seeds were supplied by a local producer in Adana, Turkey. The sesame seeds were dried and heated in an oven at 120°C until the moisture content was below 1% (w/w). After cooling to room temperature, the samples were finely ground and kept frozen at –18°C prior to analysis. All chemicals and solvents used were of analytical grade.
The oil content of sesame paste was determined using the Soxhlet extraction method with hexane as a solvent. The analysis was conducted following the Association of Official Analytical Chemists (AOAC, 2019) official method 963.15, ensuring accurate and standardized measurement of total lipid content in sesame samples. Analyses of moisture, protein, and ash contents were carried out according to the standard method (AOAC, 2010).
A colloid mill was used to make sesame paste. Colloid mills typically use shearing force and high-frequency vibrations to reduce the size of food material before forcing the particles to pass through the space between stationary and rotating wheels (Wang et al., 2024). The particle size of the material being processed is controlled by varying the distance between rotor and stator. After 1, 2, 3, and 4 cycles, the samples produced by the colloid mill are named SP1, SP2, SP3, and SP4, respectively.
The particle size of sesame paste samples was determined using a particle size analyzer (Malvern Mastersizer 2000E; Malvern Instruments Ltd., UK). The measurements were performed using paste samples diluted in water (1:10, w/v). After 1 min of shaking, the mixture was thoroughly mixed in a vortex-mixing oscillator (Heldolph D-91126; Schwabach, Germany) to break clumps, assuming that free oil droplets were removed effectively. The data were analyzed using the Malvern software version 5.61. Triplicate analyses were performed for each sample, and the mean was reported. The refractive index settings were 1.333 for water and 1.475 for sesame paste.
Particle size corresponding to 90% particle size distribution was denoted by D90 (μm); the average paste particle size was denoted by D50 (μm); and the particle size corresponding to 10% particle size distribution was denoted by D10 (μm) (Jin et al., 2022b; Zheng et al., 2018).
Oil separation of samples was determined according to Alpaslan and Hayta (2002) and Zhang et. al. (2019). Separate centrifuge tubes were filled with roughly 40 g of each sesame paste sample (SP1–SP4) and were heated to 80°C in a water bath for 30 min. Then the tubes were allowed to cool under running water for 15 min. Then, the tubes were centrifuged using a centrifuge (Merlin Supra, Spectra Scientific, UK) for 10 min at 3000 rpm. A Pasteur pipette was used to remove the separated oil. Oil separation rate (OSR) is defined as the percentage of oil separated from sesame paste relative to the initial sample mass. It quantifies the extent of phase separation in sesame paste, which is crucial for evaluating its emulsion stability. The following formula was used to determine the centrifugal oil–solids OSR:
where m1 is the mass of the separated oil in grams, and 40 g is the mass of the initial sample.
ColorFlex colorimeter (Model A60-1010-615; Hunter Association Lab. Inc. Reston, VA, USA) was used to measure the color values of each sesame paste sample. Measurements were performed for L*, a*, and b* values as established by the International Commission on Illumination (CIE). According to CIE, colors were represented in three dimensions: a*: red and green (–60: green and +60: red), b*: yellow and blue (–60: blue and +60: yellow), and L*: color brightness index (0: black, 100: white) (Mohamed Ahmed et. al, 2020). Prior to use, the colorimeter was calibrated using black and white plates. After inserting the film into chamber, a reading was obtained using the white filter. Each sample was measured at a minimum of 10 distinct locations, and the average values were computed. Every test was accomplished in triplicate. In addition, yellowness index (YI) value was calculated.
Brookfield rotational viscometer (Brookfield RVDV-III Model Digital Viscometer; Brookfield Engineering Laboratories, Middleboro, MA, US) was used to measure shear stress and viscosity of sesame paste samples by using the spindle 27 and sample cup at different temperatures (20, 25, 30, 35 and 40°C). For obtaining the rheograms for each sample, the shear stress and viscosity were directly read from the viscometer for each shear rate in ranges of 1–50 s-1 in 250 s. The Herschel–Bulkley mathematical model was chosen for modeling the flow curve of sesame paste samples.
The Herschel–Bulkley model is as follows:
The Herschel-Bulkley model is given by the following equation (Stokes and Telford, 2004)
τ = τ0 + Kγn (2)
where
τ = shear stress (Pa),
τ0 = value of the stress in the yield stress (Pa), the stress required to initiate flow,
K = consistency index (Pa.s), indicating the fluid’s viscosity,
n = flow behavior index (dimensionless),
γ = shear rate (s-1).
The temperature dependency of the apparent viscosity of samples at different shear rates was evaluated by fitting the experimental data with an Arrhenius-type model (Akbulut et al., 2012; Akbulut and Çoklar, 2008),
η = ηo exp (Ea/RT), (3)
where:
η = viscosity (Pa.s),
ηo = Arrhenius constant (Pa.s),
Ea = Activation energy (J/mol), which is used to represent stability of the system,
R = Universal gas constant (8.314 J/mol),
T = Absolute temperature (K).
Equation (3) can be rewritten in the following form:
Furthermore, the relationship between temperature and consistency coefficient (K) is well interpreted by Eq. (5), an Arrhenius-type equation (Akbulut and Çoklar, 2008; Kamışlı and Mohammed, 2019). The model parameters were determined by carefully following the consistency coefficient, K, as a function of temperature using Eq. (6) in accordance with experimental findings:
where:
K = consistency coefficient (Pa.sn),
ko = Arrhenius constant (Pa.sn),
Ea = Activation energy (J/mol), which is used to represent stability of the system,
R = Universal gas constant (8.314 J/mol),
T = Absolute temperature (K)
The spreadability and hardness values of samples were measured with a 45-mm-diameter spreadability cone probe (P/45C), was fitted into a crosshead of TA-XTPlus Texture Analyzer (Stable Micro Systems, Surrey, UK). The rig consists of a male probe and female cone. Female cone was stored at 5°C for 24 h and the spreadability was analyzed immediately after this storage. The samples were placed within the female cone, and the male probe penetrated it at a rate of 5 mm/s while hovering 25.0 mm above it. This was done only once per sample. The hardness defined as the peak force during the first compression cycle, and the spreadability value, indicated by the work of shear (calculated as the area under the force-time curve) were determined (Brighenti et al., 2008; Shakerardekani et al., 2013; Zhang et al., 2019). Three replications were performed for each sample and the mean values were determined.
During creep measurement, 0.1-Newton (N) force was applied instantaneously for 60 s using a texture analyzer (TA-XTPlus Texture Analyzer; Stable Micro Systems) equipped with a load cell of 30 kg with a P/25 cylindrical probe to cause deformation of samples. Each measurement was replicated thrice on sesame puree samples. Creep behavior of the samples deformed by different stresses was characterized using four parameters Burger model consisting of Maxwell and Kelvin–Voigt models in series. Nonlinear regression analysis was also conducted to find parameters of the Burger model.
It has two constitutive equations for creep and recovery parts. Equation (7) shows the model during creep (Karaman et al., 2016):
where:
Jc (t) = creep compliance as a function of time (t),
Jo = instantaneous/initial shear compliance corresponding to a spring or elastic modulus (Pa-1),
J1 = delayed or retarted viscoelasticity (Pa-1),
λ = retardation time (s), time of delayed elastic deformation,
ηo = zero shear rate viscosity of sesame paste (Pa.s).
All experiments were performed in triplicate and the mean values were reported. Analysis of variance was performed using Statgraphics version plus 5.1 (Statistical Graphics Corp.. Herndon, VA, USA). Duncan’s multiple range test was used to compare sample means. Duncan’s multiple range test was applied to detect differences among sesame paste samples (P < 0.05).
Table 1 shows the composition of sesame paste samples. Sesame paste sample has total oil, 51.12±1.96%; protein, 26.80±1.02%; moisture, 0.83±0.09%, and ash, 1.10±0.03%. This study’s results are potentially applicable to industrial applications because of their high chemical composition similarity. The sesame samples were processed to achieve a moisture content of less than 1% (w/w), which is essential to prevent blockages during milling and inhibit microbial growth.
Table 1. Composition of sesame paste.
| Compound | Amount (%, w/w) |
|---|---|
| Moisture | 0.83±0.09 |
| Protein | 26.80±1.02 |
| Oil | 51.12±1.96 |
| Ash | 1.10±0.03 |
Researchers from various fields conducted studies on the chemical composition of sesame paste (Table 2). Their studies revealed that the composition of sesame paste was different depending on the type of sesame. They discovered that the oil content of seeds varied inversely with the percentage of hull and it ranged from 43.4% to 58.8% (Abu-Jdayil et al., 2002). Jin et. al. (2022b) showed that there was no significant difference in moisture, protein, and fat composition of sesame paste having different particle sizes produced by ball milling. According to Wang et al. (2024), the types of grinding processes never affected the contents of proteins and oil of sesame paste.
Table 2. Composition of sesame paste (SP) in literature.
| Compound | Amount (%, w/w) | |||||
|---|---|---|---|---|---|---|
| White SPa | White SPa | Black SPa | White SPb | Black SPb | SPc | |
| Moisture | 0.12±0.02 | 0.47±0.03 | 0.50±0.01 | - | - | 0.14±0.03 |
| Protein | 17.00±0.13 | 16.08±0.05 | 20.10±0.09 | 29.7±1.0 | 27.5±0.5 | 21.18±0.04 |
| Oil | 59.71±0.16 | 61.56±0.50 | 56.84±0.70 | 46.2±0.7 | 46.3±1.5 | 41.98±0.58 |
| Ash | 5.01±0.01 | 4.48±0.01 | 5.70±0.02 | <5.0 | <5.0 | - |
Similarly, no significant differences were observed between SP1, SP2, SP3, and SP4; so, the mean values of composition of pastes are given in this study.
The particle size distribution indicates a clear trend toward finer particles as the milling gap size decreases, with D10 values ranging from 4.56 µm (SP1) to 3.92 µm (SP4) (Table 3). The D50 (50% particle size distribution) values also reflected this trend, decreasing from 51.81 µm to 41.82 µm, while D90 (90% particle size distribution) values ranged from 450.88 µm to 350.78 µm. These findings suggested that SP4 exhibited the smallest average particle size and a narrower particle size distribution, indicating a more refined product. A significant (P < 0.05) difference in particle size was observed between the samples because of varying milling gap sizes, confirming that a narrower gap size effectively reduced particle size. The texture analysis results also showed that SP4 sample with the lowest particle size distribution had lower hardness and spreadability.
Table 3. Particle size distribution of sesame paste (SP) samples.
| Sample | D10(µm) | D50(µm) | D90(µm) |
|---|---|---|---|
| SP1 | 4.56±0.04a | 51.81±0.14a | 450.88±2.05a |
| SP2 | 4.32±0.03b | 50.79±0.12b | 436.39±1.94b |
| SP3 | 4.11±0.03c | 48.21±0.11c | 390.96±1.35c |
| SP4 | 3.92±0.02d | 41.82±0.08d | 350.78±1.22d |
*Different superscript letters within the same column indicates statistical differences (P < 0.05).
Table 4 shows L*, a*, and b* values obtained for the samples at different particle sizes. As the represented L* (lightness) values of sesame paste samples tended to increase with increase of particle size, indicating a darker color. There was a significant difference between SP1 and other samples (P < 0.05) in lightness. However, there was no significant difference between SP2, SP3, and SP4. There was a statistical difference between the a* values of SP2 and other samples (P < 0.05), although a significant increase was observed in the a* and b* values of SP2. Furthermore, no significant difference was observed between SP1 and SP4 regarding b* value. Yellowness decreased with decrease of particle size, indicating the loss of yellowness.
Table 4. Color values and oil separation rate (%) of sesame paste samples.
| Sample | L* | a* | b* | YI | OS (%,w/w) |
|---|---|---|---|---|---|
| SP1 | 66.76±0.15a | 1.07±0.01a | 21.89±0.05a | 48.05±0.06c | 4.75±0.07d |
| SP2 | 67.53±0.05b | 1.23±0.01b | 22.21±0.03c | 48.46±0.05d | 3.51±0.04c |
| SP3 | 67.54±0.10b | 1.11±0.03a | 21.98±0.03b | 47.92±0.07b | 2.27±0.02b |
| SP4 | 67.46±0.06b | 1.09±0.01a | 21.81±0.01a | 47.65±0.01a | 2.16±0.02a |
Different superscript letters within the same column indicates statistical differences (P < 0.05). YI: yellowness index.
The lightness values (L*) for sesame paste samples ranged from 66.76 in SP1 to 67.54 in SP3. The higher lightness observed in SP2 and SP3 related to their finer particle sizes, probably enhancing visual appeal. Increased light scattering because of smaller particles may explain the observed correlation between particle size and lightness. The redness values (a*) displayed an increasing trend, with SP1 at 1.07 and SP2 at 1.23. This progression suggested that finer particles in SP2 contributed to a more pronounced reddish hue, emphasizing the importance of particle characteristics in shaping the color profile of consumer products. The yellowness index revealed that SP4 had the lowest yellowness value at 47.65, and SP2 had the highest yellowness at 48.46.
Although this study did not find significant differences in lightness values between SP2, SP3, and SP4 (P < 0.05), previous research done by Çiftçi et al. (2008) noted a decrease in L* values with decreased particle size. Furthermore, Akbulut and Çoklar (2008) observed that lightness (L*) and yellowness (b*) decreased slightly with increasing tahin-roasted hulled sesame seeds, while redness (a*) values exhibited the opposite trend. These findings indicated that the impact of particle size on color attributes might vary across studies. The findings indicated that the color characteristics of sesame paste are significantly influenced by particle size and composition. Finer particles enhance lightness, thereby contributing to the visual appeal of the product while also affecting yellowness (Figure 1). Understanding these relationships is essential for optimizing the quality and consumer acceptance of sesame paste.
Figure 1. Sesame pastes.
In emulsions, color is determined by the interaction of droplets with light, involving processes such as reflection, transmission, absorption, and scattering (McClements, 1999; McClements, 2002). The color of sesame paste is notably influenced by its primary constituents and coloring agents, such as carotenoids and chlorophyll, which are intensified during roasting (Elleuch et al., 2007). Additionally, the dispersion degreed in colloidal systems, shaped by particle concentration, size, and refractive index, played a critical role in the overall color appearance (Chanamai and McClements, 2001; McClements, 2002).
Variation in color properties between sesame paste samples could have implications for their application in food products, where both visual appeal and functional stability are crucial. Additionally, shear force during grinding did not cause intense heating that typically lead to browning reactions, allowing for a more consistent color profile across samples. Further research can explore the optimization of particle size to achieve desired color attributes while maintaining product stability.
Table 4 shows oil separation proportions of samples. Oil separation is a crucial quality attributed in tahin production, impacting its texture and shelf life. The present study discovered that oil separation of tahin samples increased significantly with finer particle sizes, ranging from 4.75% to 2.16% (P < 0.05). The results indicated that increasing particle size enhanced oil separation, as evidenced by previous studies (Çiftçi et al., 2008). Finer particles improved the interaction between solid and oil phases, increasing cohesivity and stability. This phenomenon aligned with the findings of other studies, which reported similar multimodal particle size distributions in tahin and other nut butters (Muresan et al., 2014; Norazatul Hanim et al., 2015). This study demonstrated that reducing the milling gap size lead to finer particle sizes and improved colloidal stability of sesame paste while maintaining a stable nutritional profile. The results highlighted the importance of milling techniques in enhancing the quality of sesame paste products, suggesting that further refinement may yield even better stability and texture.
In this study, reducing tahin particle size through milling prevented the integration of smaller oil droplets into larger ones. The energy associated with smaller oil particles allowed them to rise to the surface and separated from the mixture, maintaining a stable emulsion. This finding underscored the importance of particle size control in the milling process for achieving optimal emulsion stability in sesame paste. The results of this study demonstrated that finer particle sizes in sesame paste significantly reduced oil separation and enhanced emulsion stability, with SP4 having the lowest oil separation rate. The role of protein matrix, changes in molecular structure during processing, and the dynamics of oil droplet interactions are critical factors influencing emulsion characteristics. Understanding these relationships is essential for optimizing tahin quality and enhancing its functional properties in food applications.
The flow behavior of food products is critical for processing and consumer acceptance. In this study, the rheological properties of sesame paste were analyzed to understand how milling parameters affected the flow behavior.
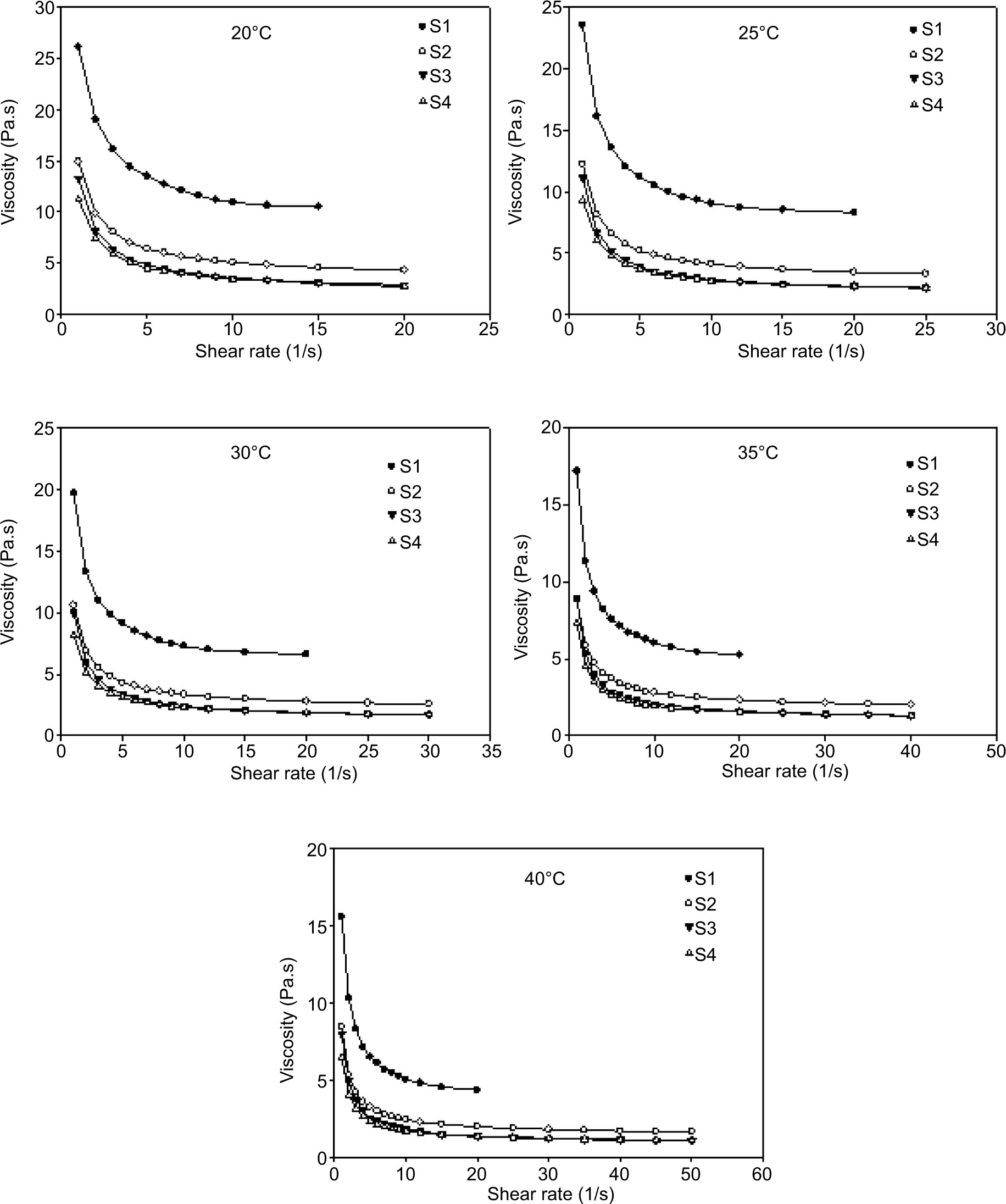
Rheological measurements of sesame paste were done between 20°C and 40°C in the shear rate range of 1–50 s–1. Change in viscosity at different temperatures was plotted against shear rate (Figure 2). It was observed that the viscosity of paste samples decreased with increasing shear rate, and particle size appeared to influence the viscosity of samples.
Figure 2. Change in viscosity with shear rate at different temperatures.
The rheological behavior of each sample was modeled using Herschel–Bulkley model (Eq. 2). The Herschel–Bulkley model is a widely recognized rheological model used to describe the flow behavior of non-Newtonian fluids, including sesame paste. This model is particularly relevant for materials that exhibit yield stress, meaning that they do not flow until a certain stress threshold is exceeded (Peressini et al., 1998).
Table 5 shows the parameters of Herschel–Bulkley model evaluated at different temperatures. The yield stress value (τ0) and consistency coefficient (K) decreased with increase of temperature for all samples. There is a statistically significant difference between K values of each sample with increasing temperature (P < 0.05). While SP1 has the highest K value, SP4 has the lowest K value at 20°C.
Table 5. The regressed values of the Herschel–Bulkley model (Eq. 3) used to describe the flow curves of sesame paste.
| Sample | Temperature (°C) | τo(Pa) | K | n | R2 |
|---|---|---|---|---|---|
| SP1 | 20 | 12.01±0.46a | 14.71±0.25a | 0.82±0.006a | 0.9997 |
| 25 | 11.70±0.76a,b | 11.05±0.38b | 0.85±0.02b | 0.9998 | |
| 30 | 10.72±0.75b,c | 8.61±0.26c | 0.86±0.01b,c | 0.9996 | |
| 35 | 10.50±0.52c | 6.72±0.24d | 0.87±0.01c | 0.9997 | |
| 40 | 10.07±0.50c | 5.44±0.12e | 0.87±0.006c | 0.9996 | |
| SP2 | 20 | 9.89±0.46a | 5.24±0.03a | 0.89±0.006a | 0.9998 |
| 25 | 8.81±0.01b | 4.12±0.09b | 0.89±0.003a | 0.9997 | |
| 30 | 8.41±0.17b | 3.16±0.03c | 0.91±0.006b | 0.9999 | |
| 35 | 7.90±0.17c | 2.53±0.07d | 0.91±0.002b | 0.9996 | |
| 40 | 7.65±0.15c | 1.95±0.02e | 0.91±0.004b | 0.9997 | |
| SP3 | 20 | 9.54±0.31a | 3.44±0.12a | 0.89±0.002a | 0.9998 |
| 25 | 8.30±0.31b | 2.65±0.02b | 0.90±0.006a | 0.9999 | |
| 30 | 7.77±0.07b | 1.97±0.06c | 0.91±0.004c | 0.9996 | |
| 35 | 6.85±0.27d | 1.63±0.04d | 0.90±0.005a,b | 0.9999 | |
| 40 | 6.67±0.04d | 1.36±0.02e | 0.91±0.001b,c | 0.9998 | |
| SP4 | 20 | 8.06±0.08a | 3.26±0.03a | 0.89±0.005a | 0.9998 |
| 25 | 7.00±0.09b | 2.50±0.05b | 0.90±0.001a | 0.9995 | |
| 30 | 6.68±0.16c | 1.93±0.04c | 0.91±0.006b | 0.9997 | |
| 35 | 6.00±0.14d | 1.58±0.02d | 0.91±0.005b | 0.9998 | |
| 40 | 5.65±0.13e | 1.32±0.03e | 0.91±0.003b | 0.9998 |
Different superscript letters within the same column indicate statistical differences depending on temperature for each sample (P < 0.05). R2: coefficient of determination.
The yield stress (τo) decreased with increasing temperature, with SP1 showing τo values from 12.01 Pa at 20°C to 10.07 Pa at 40°C. Similarly, K decreased from 14.71 Pa•s at 20°C to 5.44 Pa•s at 40°C, indicating that higher temperatures reduced viscosity, enhancing processability.
With decrease in particle size, the effect of shear and temperature was more pronounced, and the samples’ viscosity converged at high shear rates (Figure 1). As shown in Figure 1, viscosity of all four samples decreased continuously with increase of shear rate. In other words, the viscosity of sample was maximum at the lowest shear rate. In addition, the viscosity of sesame paste increased with increase of particle size but it decreased rapidly with increase of temperature.
Increased temperatures may comprise the integrity of proteins and polysaccharides, leading to their degradation into smaller molecular components, which results in a reduction of the viscosity of sesame paste (Jin et. al., 2022a). The initial viscosity of SP1 was maximum but decreased rapidly as shear rate increased at all temperatures.
The viscosity of sesame paste samples decreased with increasing shear rate, consistent with shear-thinning behavior. The Herschel–Bulkley model parameters for sesame paste samples demonstrated a high coefficient of determination (R2), indicating a robust fit for the observed data. In other words, the values of R2 were 0.9995–0.9999, confirming the Herschel–Bulkley model to be ideal for describing the flow behavior of sesame paste.
As particle size decreased, both consistency coefficient (K) and yield stress (τo) decreased as well, while an increase in temperature contributed to lower viscosity. Sesame paste samples were discovered to have greater fluidity with lower K and flow behavior index (n) values.
The observed shear-thinning behavior aligned with findings of previous studies on sesame paste rheology. For example, Abu-Jdayil et al. (2002) documented similar shear-thinning properties during sesame milling at various temperatures (35–65°C). Jin et al. (2022a) also noted that apparent viscosity decreased with increased shear rate, confirming the findings of this study. The apparent viscosity values for sesame paste samples ranged from 1.11 to 6.26 Pa•s, indicating a significant decrease in viscosity with increased milling time. Several studies (Akbulut and Çoklar, 2008; Çiftçi et al., 2008) have reported the pseudoplastic behavior of sesame pastes, confirming that the consistency coefficient decreased with temperature. The flow behavior index (n) of sesame paste samples ranged from 0.82 to 0.91, indicating that all samples behaved as pseudoplastic fluids. Notably, SP1 and SP2 maintained n values close to 0.89, while SP3 and SP4 exhibited slightly higher values, suggesting a more consistent flow behavior with increased temperature.
Consistency coefficient as a function of temperature was determined by using Eq. (6) in accordance with experimental findings, and the results are shown in Table 6.
Table 6. Arrhenius parameters of sesame paste samples.
| Sample | Arrhenius parameters | Shear rate (1/s) | Consistency coefficient | ||||
|---|---|---|---|---|---|---|---|
| 5 | 10 | 15 | 20 | Ea | ko | ||
| SP1 | Ea | 28.3 | 29.9 | 32.4 | ND | 38.0 | 2.5×10–6 |
| ηo | 1.2×10–4 | 5.1×10–5 | 1.8×10–5 | ND | |||
| SP2 | Ea | 25.8 | 28.4 | 29.4 | 30.2 | 37.6 | 1.0×10–6 |
| ηo | 1.5×10–4 | 4.5×10–5 | 2.5×10–5 | 1.8×10–5 | |||
| SP3 | Ea | 25.7 | 25.3 | 28.3 | 28.5 | 35.8 | 1.4×10–6 |
| ηo | 1.2×10–4 | 1.1×10–4 | 2.8×10–5 | 2.3×10–5 | |||
| SP4 | Ea | 25.5 | 25.2 | 28.0 | 27.9 | 34.6 | 2.2×10–6 |
| ηo | 1.2×10–4 | 1.1×10–4 | 3.0×10–5 | 3.0×10–5 | |||
ND: not determined.
Activation energy (Ea) for sesame paste samples was determined, with SP1 exhibiting the highest Ea at 38.0 kJ/mol and a consistency coefficient of 2.5 × 10–6 Pa•s. In contrast, SP4 had a lower Ea of 34.6 kJ/mol and a consistency coefficient of 2.2 × 10–6 Pa•s, suggesting a lesser sensitivity to changes in temperature (Table 6). This variation in activation energy emphasized the impact of particle size on the viscosity of sesame paste.
The data suggested a relationship between physical properties and rheological behavior. Both yield stress and consistency coefficient decreased with decrease of particle size from SP1 to SP4, indicating that finer particles contributed to lower viscosity and improved flow characteristics. This relationship could be advantageous in food processing applications, where reduced viscosity at elevated temperatures facilitates mixing and handling. This comprehensive analysis of the rheological properties of sesame paste revealed significant interrelationships between particle size, temperature, and flow behavior. The finer particle sizes in SP4 related with lower activation energy and consistency coefficients, suggesting enhanced processing behavior. Optimization of particle size is essential for improving the stability and flow properties of sesame paste, making it more suitable for various applications in the food industry. Understanding these properties is crucial for optimizing production processes and ensuring product quality.
Spreadability is a critical characteristic of spreadable products, indicating how easily a product can be evenly distributed over a surface. The work of shear (the area under the force versus time curve) is used to assess spreadability in various food products, such as jams (Basu and Shivhare, 2010), cream cheese (Zheng et al., 2007), pistachio paste (Shakerardekani et al., 2013) and Misti dahi (Narender Raju and Pal, 2009). A smaller work of shear value indicated a softer spread, enhancing spreadability (Dubost et al., 2003). This study aimed to evaluate the spreadability of tahin samples with different particle sizes and their corresponding mechanical properties.
The spreadability of tahin samples was assessed by measuring hardness and work of shear, as detailed in Table 7. The findings indicate that different particle sizes significantly affect both hardness and work of shear (P < 0.05). SP1 exhibited maximum hardness at 3.80 ± 0.21 N, while SP4 demonstrated minimum hardness at 1.08 ± 0.17 N. The trend in hardness values correlated with reduction in particle size. Smaller particles may result in decreased resistance to deformation, contributing to the lower hardness as observed in SP4. From a perspective of consumer preference, spreadability and mouthfeel are crucial factors that influence acceptance. A softer paste, as observed in SP4, with lower hardness is probably preferred for applications where easy spreadability is desired, such as in dips, sauces, or as a bread-spread. In contrast, SP1 with maximum hardness could be more suitable for products requiring a thicker consistency or firmer texture, such as fillings or confectionery applications.
Table 7. Hardness and spreadability values of sesame paste samples.
| Sample | Hardness (N) | Work of shear (N.s) |
|---|---|---|
| SP1 | 3.80±0.21a | 2.23±0.22a |
| SP2 | 2.08±0.17b | 1.24±0.07b |
| SP3 | 1.26±0.16c | 0.80±0.07c |
| SP4 | 1.08±0.17c | 0.68±0.03c |
Different superscript letters within the same column indicates statistical differences (P < 0.05).
The work of shear values followed a similar trend, with SP1 requiring maximum energy for shear at 2.23 ± 0.22 N.s and SP4 requiring minimum energy at 0.68 ± 0.03 N.s. This reduced shear with smaller particle sizes indicates that finer particle distribution in SP4 requires less energy for deformation, probably because of its more homogeneous texture. SP4 had minimum shear and hardness, indicating superior spreadability. Conversely, SP1 showed maximum shear and hardness, demonstrating the lowest spreadability properties. These findings were consistent with the results of Norazatul Hanim et al. (2015), who observed that particle size affected the yield strength and spreadability of peanut paste.
The relationship between particle size and the mechanical properties of sesame paste is evident in the observed data. As particle size decreased from SP1 to SP4, there was a corresponding reduction in hardness and shear. Furthermore, it was observed that there was no significant difference between SP3 and SP4 samples (P < 0.05). This indicated that the textural properties of sesame paste stabilized at third cycle, such that further colloid milling had little effect on textural properties.
There are two potential reasons explaining why a particular size changes the texture of sesame paste. First, the cellular structure of SP1 sample was not destroyed completely, and the intermolecular force was strong. This resulted in hardness and work of shear of SP1 being higher than SP2, SP3, and SP4. The other reason is that the OSR (4.75%) of SP1 was more than that of other samples, causing decreased viscosity and consistency of the paste with a lubricating effect (Jin et. al., 2022a).
These findings suggested that finer particle distributions lead to softer and less resistant materials that require less energy for deformation. This study highlights the importance of particle size optimization in tahin production, which could significantly influence its spreadability and the overall consumer acceptance. Understanding these mechanical properties is essential for tailoring products to meet specific application requirements of the food industry.
Creep testing is widely used to examine how materials respond to a constant stress over time. In spreadable food products such as sesame paste, the creep test offers valuable insights into deformation and flow behavior under applied stress. As sesame paste deforms, three distinct phases are identified: instantaneous elastic deformation, retarded elastic deformation, and viscous flow. While elastic and viscoelastic deformations are recoverable, viscous flow results in permanent deformation.
The Burger’s model, consisting of Maxwell and Kelvin–Voigt elements, is commonly applied to analyze the creep behavior of soft materials. In this study, the relationship between particle size and creep parameters in sesame paste is evaluated using this model (Table 8). The findings are critical for improving product formulations, particularly in applications where viscosity, texture, and resistance to oil separation are important.
Table 8. Creep-compliant four parameters of sesame paste samples.
| Sample | Jo(1/Pa) | J1(1/Pa) | t(s) | η(Pa.s) | R2 |
|---|---|---|---|---|---|
| SP1 | 0.0031 | 0.0020 | 5.39 | 18.769 | 0.999 |
| SP2 | 0.0041 | 0.0033 | 5.49 | 28.914 | 0.999 |
| SP3 | 0.0069 | 0.0035 | 5.93 | 61.743 | 0.999 |
| SP4 | 0.0070 | 0.0040 | 6.64 | 75.606 | 0.998 |
The initial compliance (Jo) reflects material’s elasticity. Jo values increased from 0.0031 Pa-1 for SP1 to 0.0070 Pa-1 for SP4, indicating that smaller particle sizes lead to more compliant and less stiff materials. As particle size decreases, the protein network becomes more flexible, allowing for greater rearrangement between crosslinks (Olivares et al., 2009). Similarly, retarded compliance (J1), which accounts for time-dependent elastic behavior, increased from 0.0020 Pa-1 for SP1 to 0.0040 Pa-1 for SP4. This trend suggests that smaller particles exhibit a more elastic response to applied stress, with higher deformation. Higher instantaneous compliance (Jo) for SP4 (0.0070 Pa-1) indicates greater degree of deformation and lower recovering ability whereas SP1 showed the lower degree of deformation with the lowest value of Jo (0.0031 Pa-1).
Retardation time (λ), which reflects material’s ability to relax stress, also increased from 5.39 s for SP1 to 6.64 s for SP4. A higher λ suggests that samples with smaller particle sizes require more time to relax stress, indicating a slower stress-relaxation process. Viscosity (η) increased significantly from 18.769 Pa•s for SP1 to 75.606 Pa•s for SP4, indicating that smaller particle sizes lead to greater internal resistance to flow. The increased viscosity is probably due to enhanced particle interactions and a greater surface area in finer particle samples, as supported by previous studies (Saatchi et al., 2022). The coefficient of determination (R2) remained consistently high across all samples (0.999 for SP1–SP3 and 0.998 for SP4), indicating that the Burger’s model accurately represented the experimental data.
The relationship between particle size and rheological properties is evident in this study. As particle size decreases from SP1 to SP4, there is a notable increase in compliance (Jo and J1), indicating that finer particles result in more flexible and deformable materials. Additionally, increase in retardation time (λ) suggests that smaller particle size extends the time required for material to relax stress after deformation. The most significant finding is the sharp increase in viscosity (η) with smaller particle size, probably because of more compact packing and increased interaction of particles in smaller-sized samples. This increase in viscosity could be beneficial for products requiring higher resistance to flow and have better stability against oil separation.
Table 9 summarizes the results of rheological and textural analysis of products, such as sesame paste, produced by various researchers using different grinding techniques. Most of the researchers reported that the sesame paste behaved like a pseudoplastic fluid and yield stress decreased with smaller particles (Abu-Jdayil et al., 2002; Akbulut and Çoklar, 2008; Çiftçi et al., 2008). As shown in Table 9, Jin et al. (2022b) found that ball milling alters the structural properties of sesame paste, with the pastes containing smaller particles exhibiting greater fluidity.
Table 9. Literature data on rheological and textural properties of sesame or other types of pastes.
| Study | Sample | Particle size (D50, µm) | Rheological model | Key findings |
|---|---|---|---|---|
| Abu-Jdayil et al., 2002 | Sesame paste (SP) | Not specified, commercial product | Non-Newtonian/pseudoplastic | Exhibit a thixotropic behavior that increases with increasing shear rate and mitigated by increaisng temperature. |
| Akbulut and Çoklar, 2008 | Roasted sesame paste | Not specified, milled by a grinder | Non-Newtonian/pseudoplastic | The Arrhenius-type model would be useful in showing the temperature’s relationship with consistency. |
| Çiftçi et al., 2008 | Sesame paste, commercial miller | Mean values between 129.11 and 14.23 | Pseudoplastic/thixotropic | Decreasing particle size resulted in increase of tendency from elastic to viscous character of sesame paste. |
| Muresan et al., 2014 | Sunflower tahini | The kernels passed a three-roll refiner, then processed on a continuous beating machine, samples had trimodal distribution with the following particle size populations: small (0.2 →2 µm), middle (2 →∼60 µm), and large (>60 µm) | Shear-thinning | Time-dependent rheological analysis revealed higher thixotropic degree of coarser sunflower tahini samples. |
| Norazatul Hanim et al., 2015 | Peanut butter | Lower grinding time of 2.0–2.5 min produced tetramodal distributions, while longer grinding time of 3.0–4.0 min produced trimodal distributions | Casson | Yield stress is directly related to the spreadability of the product. |
| Jin et al., 2022b | Ball-milled sesame paste | 10.52–8.20 | Paste which has smaller particles tends to be more fluid. | Ball milling changed the rheological properties, particle size, and texture. |
| Pekmez et al.(2025; current study) | Colloid-milled sesame paste | 51.81–41.82 | Herschel–Bulkley | As particle size decreases, the material becomes more compliant and exhibits longer stress-relaxation periods, while viscosity increases. |
This study demonstrates that particle size plays a critical role in the rheological behavior of sesame paste. As particle size decreases, the material becomes more compliant and exhibits longer stress-relaxation periods, with significant increase in viscosity. These insights are valuable for optimizing texture and stability of sesame paste in food formulations, especially in products where flow behavior and resistance to deformation are key quality factors. Understanding these relationships allows for better control over product performance in various applications.
Despite promising findings, several challenges persist in optimizing sesame paste production. Research into the ideal combination of roasting parameters and milling processes could enhance flavor, color, and nutrient retention. Achieving consistent particle size reduction while maintaining nutritional and sensory properties is complex, as variability in milling techniques and equipment calibration affects reproducibility. Future studies could focus on the rheological properties of sesame paste and how its textural and sensory characteristics evolve during storage under different conditions.
The results of this study highlight colloid milling as a valuable technology for production of industrial sesame paste, enabling particle size adjustments to create pastes with tailored rheological and textural properties for diverse applications. However, finer particles, while improving emulsion stability, may accelerate oxidation due to increased surface area exposure to oxygen. Long-term stability, particularly in terms of oil separation and texture, remains challenging, especially under fluctuating environmental conditions.
Scaling up research findings to industrial production is constrained by factors such as energy efficiency, equipment limitations, and costs. Sensory evaluation and consumer preference studies are crucial, as particle size influences sensory attributes, such as taste, mouthfeel, and aroma. Further research is needed to examine the effect of particle size on nutrient and antioxidant bioavailability. Advanced milling technologies, such as ultrafine grinding, may provide better control over particle size distribution.
Shelf-life evaluations are also essential to determine how particle size, storage conditions, and packaging impact stability and quality. Factors such as temperature, humidity, and packaging materials need investigation to enhance shelf life. Incorporating functional ingredients or fortifying sesame paste with vitamins and minerals could appeal health-conscious consumers. Additionally, assessing the environmental impact of milling processes and exploring energy-efficient alternatives align with sustainability goals.
Addressing these challenges and exploring future research directions will improve sesame paste production, boosting its commercial viability and nutritional value. Rich in nutrients and bioactive compounds, sesame paste offers potential for value-added products, such as salad dressings, sauces, cakes, breads, and gluten-free products. The collected data can guide industrial process designing, inform further research, and foster innovation. Moreover, blending white and black sesame pastes could diversify product offerings.
This study provides a comprehensive analysis of how particle size influences the color, rheological, and textural properties of sesame paste. The findings offer valuable insights into the optimization of sesame paste production for improved quality and consumer appeal. The particle size of sesame paste was shown to have a profound impact on its overall quality. Smaller particle sizes, as observed in sample SP4, resulted in reduced oil separation, enhanced emulsion stability, and improved texture, making the paste softer and more easily spreadable. This indicates that controlling particle size is crucial for achieving desired product characteristics. Decrease in particle size was also associated with increased viscosity, reflecting greater internal resistance to flow because of enhanced particle interactions.
The rheological analysis revealed that sesame paste exhibited non-Newtonian, shear-thinning behavior, which was accurately modeled using the Herschel–Bulkley equation. The study demonstrated that both yield stress and consistency coefficient decreased with smaller particle sizes and higher temperatures, enhancing the fluidity and processability of paste. Notably, the activation energy values suggested that smaller particles exhibited less sensitivity to temperature changes, making them more stable during processing and storage. The textural analysis further confirmed that finer particles reduced hardness and work of shear, indicating superior spreadability. These mechanical properties are essential for tailoring sesame paste to meet specific consumer preferences and application requirements. Additionally, the creep test results highlighted that smaller particle sizes led to materials with higher compliance and longer retardation periods, enhancing flexibility and stress-relaxation properties. Color analysis demonstrated that particle size influenced the visual appeal of sesame paste. Smaller particle sizes contributed to enhanced lightness, reduced yellowness, and a more homogeneous appearance, which are desirable traits of consumer products. These results aligned with the broader understanding of how particle interactions and dispersion affect the optical properties of emulsions.
The findings of this study provided a solid foundation for future research aimed at optimizing sesame paste production. The observed impact of particle size on rheological, textural, and color properties highlighted the need for further investigations into sensory evaluation, storage stability, and economic feasibility. Sensory analysis would help to determine consumer preferences regarding texture and spreadability, ensuring that product modifications must align with market demands. Additionally, storage studies are crucial for understanding long-term stability, particularly regarding oil separation, oxidation, and textural changes over time. Furthermore, a comprehensive cost analysis would aid in evaluating the economic viability of producing finer sesame pastes, considering factors such as energy consumption and processing efficiency. By addressing these aspects in future studies, the industry can develop improved formulations that enhance both quality and commercial feasibility.
In conclusion, the optimization of particle size in sesame paste production had far-reaching implications for improving its quality, functionality, and consumer acceptance. By reducing particle size, manufacturers can achieve a more stable emulsion, better rheological behavior, improved textural and visual properties, and making it highly suitable for industrial applications requiring stable and easily spreadable formulations. This optimization can benefit the production of sesame-based spreads, sauces, and dressings, where improved stability and texture are essential for consumer acceptance and extended shelf life.
The authors had no relevant financial or nonfinancial interests to disclose.
All authors contributed equally to this article.
The authors declare no conflict of interest.
This research received no external funding.
Abu-Jdayil, B., Al-Malah, K., and Asoud, H., 2002. Rheological characterization of milled sesame (tehineh). Food Hydrocolloids 16(1): 55–61. (Elsevier BV). 10.1016/s0268-005x(01)00040-6
Akbulut, M., and Çoklar, H., 2008. Physicochemical and rheological properties of sesame pastes (tahin) processed from hulled and unhulled roasted sesame seeds and their blends at various levels. Journal of Food Process Engineering 31(4): 488–502. 10.1111/j.1745-4530.2007.00162.x
Akbulut, M., Saricoban, C., and Ozcan, M.M., 2012. Determination of rheological behavior, emulsion stability, color, and sensory of sesame pastes (tahin) blended with pine honey. Food and Bioprocess Technology 5: 1832–1839. 10.1007/s11947-011-0668-6
Ali, H.S., Badr, A.N., Alsulami, T., Shehata, M.G., and Youssef, M.M., 2022. Quality attributes of sesame butter (tahin) fortified with lyophilized powder of edible mushroom (Agaricus blazei). Foods 11(22): 3691, 1–16. 10.3390/foods11223691
Ali, B., and Batu, H.S., 2020. The place of sesame and tahin in Turkish gastronomy. Aydın Gastronomy 4: 83–100.
Alpaslan, M., and Hayta, M., 2002. Rheological and sensory properties of pekmez (grape molasses)/tahin (sesame paste) blends. Journal of Food Engineering 54: 89–93. 10.1016/S0260-8774(01)00197-2
Arslan, ., Yener, M.E., and Esin, A., 2005. Rheological characterization of tahin/pekmez (sesame paste/concentrated grape juice) blends. Journal of Food Engineering 69: 167–172. 10.1016/j.foodeng.2004.08.010
Association of Official Analytical Chemists (AOAC), 2010. Official Methods of Analysis, 15th edition. AOAC, Washington, DC.
Association of Official Analytical Chemists (AOAC), 2019. Official Methods of Analysis, 21st edition. AOAC International, Rockville, MD.
Basu, S., and Shivhare, U.S., 2010. Rheological, textural, micro-structural and sensory properties of mango jam. Journal of Food Engineering 100(2):357–365. 10.1016/j.jfoodeng.2010.04.022
Berk, E., Hamzalıoğlu, A., and Gökmen, V., 2019. Investigations on the Maillard reaction in sesame (Sesamum indicum L.) seeds induced by roasting. Journal of Agricultural and Food Chemistry 67(17): 4923–4930. 10.1021/acs.jafc.9b01413
Brighenti, M., Govindasamy-Lucey, S., Lim, K., Nelson, K., and Lucey, J.A., 2008. Characterization of the rheological, textural, and sensory properties of samples of commercial US cream cheese with different fat contents. Journal of Dairy Science 91(12): 4501–4517. 10.3168/jds.2008-1322
Chanamai, R., and McClements, D.J., 2001. Prediction of emulsion color from droplet characteristics: dilute monodisperse oil-in-water emulsions. Food Hydrocolloids 15: 83–91. 10.1016/S0268-005X(00)00055-2
Çiftçi, D., Kahyaoglu, T., Kapucu, S., and Kaya, S., 2008. Colloidal stability and rheological properties of sesame paste. Journal of Food Engineering 87: 428–435. 10.1016/j.jfoodeng.2007.12.026
De Jonge, N., Kaszab, T., and Badak-Kerti, K., 2023. Physical properties of different nut butters. Progress in Agricultural Engineering Sciences. 19 (S1) 77-86. 10.1556/446.2023.00085
Dubost, N.J., Shewfelt, R.L., and Eitenmiller, R.R., 2003. Consumer acceptability, sensory and instrumental analysis of peanut soy spreads. Journal of Food Quality 26(1): 27–42. 10.1111/j.1745-4557.2003.tb00224.x
Elleuch, M., Besbes, S., Roiseux, O., Blecker, C., and Attia, H., 2007. Quality characteristics of sesame seeds and by-products. Food Chemistry 103: 641–650. 10.1016/j.foodchem.2006.09.008
Food and Agriculture Organization of the United Nations (FAO), 2021. Statistical Database (FAOSTAT). https://www.fao.org/faostat/en/ (accessed 10 January 2025).
Hoteit, M., Zoghbi, E., Rady, A., Shankiti, I., and Al-Jawaldeh, A., 2021. Development of a Lebanese food exchange system based on frequently consumed Eastern Mediterranean traditional dishes and Arabic sweets. F1000 Research 10: 12.
Hou, L.-X., Li, C.-C., and Wang, X.-D., 2018. Physicochemical, rheological and sensory properties of different brands of sesame pastes. Journal of Oleo Science 67(10): 1291–1298. (Japan Oil Chemists’ Society) 10.5650/jos.ess18109
Hou, L.-X., Li, C.-C., and Wang, X.-D., 2020. The colloidal and oxidative stability of the sesame pastes during storage. Journal of Oleo Science 69(3): 191–197. 10.5650/jos.ess19214
Jin, L., Guo, Q., Zhang, M., Xu, Y.-T., Liu, H.-M., Ma, Y.-X., Wang, X.-D. and Hou, L.-X., 2022a. Effects of non-lipid components in roasted sesame seed on physicochemical properties of sesame paste. Food Science and Technology (LWT) 165: 113745. (Elsevier BV) 10.1016/j.lwt.2022.113745
Jin, L., Zhao X-J., Zhao, Y., Gao, S-A., Liu, H-M., Ma, Y-X., Wang, X-D., and Hou, L-X., 2022b. Physicochemical properties of the sesame paste produced by a novel process technology-ball milling. International Journal of Food Science and Technology 57: 7254–7266. 10.1111/ijfs.16074
Kamışlı, F., and Mohammed, D.A., 2019. Determination of rheological behavior of some molasses-sesame blends. Turkish Journal of Science and Technology 14(1): 23–32.
Karaman, S., Yılmaz, M.T., Toker, O.S., and Dogan, M., 2016. Stress relaxation/creep compliance behaviour of kashar cheese: scanning electron microscopy observations. International Journal of Dairy Technology 69(2): 254–261. 10.1111/1471-0307.12264
Kim, J.H., Seo, W.D., Lee, S.K., Lee, Y.B., Park, C.H., Ryu, H.W., and Lee, J.H., 2014. Comparative assessment of compositional components, antioxidant effects, and lignan extractions from Korean white and black sesame (Sesamum indicum L.) seeds for different crop years. Journal of Functional Foods 7: 495–505. 10.1016/j.jff.2014.01.006
Lokumcu, A.F., and Ak, M.M., 2005. Effects of temperature, shear rate and constituents on rheological properties of tahin (sesame paste). Journal of the Science of Food and Agriculture 85: 105–111. 10.1002/jsfa.1945
McClements, D.J., 1999. Food Emulsions: Principles, Practice and Techniques. CRC Press, Boca Raton, FL.
McClements, D.J., 2002. Theoretical prediction of emulsion color. Advances in Colloid and Interface Science 97: 63–89. 10.1016/s0001-8686(01)00047-1
Mohamed Ahmed, I.A., Musa Özcan, M., Uslu, N., Juhaimi, F.A.L., Osman, M.A., Alqah, H.A.S., Ghafoor, K., and Babiker, E.E., 2020. Effect of microwave roasting on color, total phenol, antioxidant activity, fatty acid composition, tocopherol, and chemical composition of sesame seed and oils obtained from different countries. Journal of Food Processing and Preservation 44: 10. (Hindawi Limited) 10.1111/jfpp.14807
Muresan, V., Danthine, S., Racolta, E., Muste, S., and Blecker, C., 2014. The influence of particle size distribution on sunflower tahin rheology and structure. Journal of Food Process Engineering 37: 411–426. 10.1111/jfpe.12097
Narender Raju, P., and Pal, D., 2009. The physicochemical, sensory, and textural properties of Misti dahi prepared from reduced fat buffalo milk. Food and Bioprocess Technology 2(1):101–08. 10.1007/S11947-008-0137-Z
Nateghi, L., Eshaghi, M.R., and Ardalan, A.Y., 2021. The effect of using sesame oil and sesame paste (tahin) instead of part of hydrogenated oil in rice cookies formulation and evaluation of its physicochemical, textural and sensory properties. Journal of Food Research 31: 115–128. 10.22034/fr.2021.36461.1703
Norazatul Hanim, M.R., Chin, N.L., and Yusof, Y.A., 2015. Effects of grinding time on rheological, textural and physical properties of natural peanut butter stored at different temperatures. Journal of Texture Studies 47(2): 131–141. (Wiley) 10.1111/jtxs.12167
Olivares, M.L., Zorrilla, S.E., and Rubiolo, A.C., 2009. Rheological properties of mozzarella cheese determined by creep/recovery tests: effect of sampling direction, test temperature and ripening time. Journal of Texture Studies 40: 300–318. 10.1111/j.1745-4603.2009.00183.x
Peressini, D., Sensidoni, A., and Cindio, B., 1998. Rheological characterization of traditional and light mayonnaises. Journal of Food Engineering 35: 409–417. 10.1016/S0260-8774(98)00032-6
Saatchi, A., Kiani, H., and Labbafi, M., 2022. Stabilization activity of a new protein–carbohydrate complex in sesame paste: rheology, microstructure, and particle size analysis. Journal of Science and Food Agriculture 102: 5523–5530.
Shakerardekani, A., Karim, R., Ghazali, H.M., and Chin, N.L., 2013. Development of pistachio (Pistacia vera L.) apread. Journal of Food Science 78(3): 484–489. 10.1111/1750-3841.12045
Stokes, J.R., and Telford, J.H., 2004. Measuring the yield behavior of structured fluids. Journal of Non-Newtonian Fluid Mechanics 124: 137–146. 10.1016/j.jnnfm.2004.09.001
Wang, B., Hou, L., Yang, M., Jin, L., Liu, H., and Wang, X., 2024. An Evaluation of the physicochemical properties of sesame paste produced by ball milling compared against conventional colloid milling. Journal of Oleo Science 73(5): 645–655. (Japan Oil Chemists’ Society). 10.5650/jos.ess23178
Yoshida, H., and Takagi, S., 1997. Effects of seed roasting temperature and time on the quality characteristics of sesame (Sesamum indicum) oil. Journal of Science of Food and Agriculture 75: 19–26. 10.1002/(sici)1097-0010(199709)75:1<19::aid-jsfa830>3.0.co;2-c
Yüzer, M.O., and Genccelep, H., 2024. Effect of sesame protein/PVA nanofibers on oil separation and rheological properties in sesame paste. Journal of Food Processing and Engineering 47: e14534. 10.1111/jfpe.14534
Zhang, W., Xu, T., and Yang, R., 2019. Effect of Roasting and grinding on the processing characteristics and organoleptic properties of sesame butter. European Journal of Lipid Science and Technology 121(7): Article 1800401. (Wiley) 10.1002/ejlt.201800401
Zheng, Y., Fu, Z., Li, D., and Wu, M., 2018. Effects of ball milling processes on the microstructure and rheological properties of microcrystalline cellulose as a sustainable polymer additive. Materials 11: 1057. 10.3390/ma11071057
Zheng, D., Sun, X., and Kong, B., 2007. Effect of soy protein isolate on texture of spread processed cheese. China Dairy Industry 35(12): 22–26. 10.3390/foods10051085