Download

Review

Biopolymer-epigallocatechin materials: a sustainable approach material for food packaging

Behnam Bahramian1,2, Narges Kiani-Salmi1,2, Reza Abedi-Firoozjah3, Raana Babadi Fathipour2, Milad Tavassoli4*, Sajjad Ghasemi5, Seyed Mohammad Mazloomi6, Ali Ehsani2*, Nazila Oladzadabbasabadi7*

1Student Research Committee, Tabriz University of Medical Sciences, Tabriz, Iran;

2Department of Food Science and Technology, Faculty of Nutrition and Food Sciences, Tabriz University of Medical Sciences, Tabriz, Iran;

3Student Research Committee, Kermanshah University of Medical Sciences, Kermanshah, Iran;

4Student Research Committee, Department of Nutrition, Faculty of Health and Nutrition Sciences, Yasuj University of Medical Sciences, Yasuj, Iran;

5Department of Food Science and Technology, Faculty of Agriculture, Ferdowsi University of Mashhad, Mashhad, Iran;

6Department of Food Hygiene and Quality Control, School of Nutrition and Food Sciences, Shiraz University of Medical Sciences, Shiraz, Iran;

7Food Technology Division, School of Industrial Technology, Universiti Sains Malaysia, Penang, Malaysia

First equal authors.

Abstract

Epigallocatechin gallate (EGCG), a bioactive component found in green tea, has generated significant interest as a potential alternative to artificial food additives. Its unique properties make it a promising candidate for developing eco-friendly polymers for food packaging. This review explores the potential of EGCG in enhancing the safety and quality of packaged food items. Known for its strong antioxidant and antimicrobial properties, EGCG’s primary function is attributed to its ability to eliminate free radicals and reduce peroxidase activity. This makes it a viable option for incorporation into active and intelligent polymer packaging systems to extend shelf life and preserve food freshness. However, water solubility and lack of thermal stability pose challenges that require careful optimization of performance in packaging materials. The review provides a comprehensive overview of recent advancements in integrating EGCG into packaging materials, formulation techniques, processing methods, and its use to enhance the effectiveness of food packaging. Further, it discusses the potential future research approaches aimed at maximizing the benefits of EGCG to enhance the sustainability and efficiency of food packaging.

Key words: epigallocatechin gallate, biopolymer, antimicrobial, intelligent and active packaging

*Corresponding Authors: Milad Tavassoli, Student Research Committee, Department of Nutrition, Faculty of Health and Nutrition Sciences, Yasuj University of Medical Sciences, Yasuj, Iran. Email: milad.tavasoli@yums.ac.ir; Ali Ehsani, Department of Food Science and Technology, Faculty of Nutrition and Food Sciences, Tabriz University of Medical Sciences, Tabriz, Iran. Email: ehsani@tbzmed.ac.ir; Nazila Oladzadabbasabadi, Food Technology Division, School of Industrial Technology, Universiti Sains Malaysia, Penang 11800, Malaysia. Email: nazila.oladzadabbasabadi@rmit.edu.au

Academic Editor: Kittisak Jantanasakulwong, PhD, Faculty of Agro-Industry, Chiang Mai University, Chiang Mai, Thailand

Received: 29 August 2024; Accepted: 11 March 2025; Published: 1 July 2025

DOI: 10.15586/qas.v17i3.1547

© 2025 Codon Publications
This is an Open Access article distributed under the terms of the Creative Commons Attribution-NonCommercial-ShareAlike 4.0 International (CC BY-NC-SA 4.0). License (http://creativecommons.org/licenses/by-nc-sa/4.0/)

Introduction

Food packaging has undergone extensive changes because of the increasing attention and importance of maintaining food safety and quality and reducing their environmental effects. Although petroleum-based packaging is widely used, this type of packaging brings wide environmental risks (Tavassoli et al., 2023b; Yin and Woo, 2024). Based on the sustainable environment and circular green model, there is a need to use biodegradable, sustainable, and environment-friendly alternative packaging. In addition to biodegradability, techniques are used to improve packaging properties, such as the presence of natural factors in the packaging environment with antimicrobial and antioxidant activities that delay the oxidative and microbial deterioration of food (Arunachalasivamani et al., 2024).

In general, antioxidant packages are developed by incorporating natural and/or synthetic antioxidant agents into the packaging structure. However, natural antioxidant agents are more suitable and safer to use in packaging structure. Today, various types of natural antioxidant compounds, such as plant extracts, essential oils, and phenolic compounds, are used to make antioxidant packaging (Huimin et al., 2024). Plant polyphenols are micronutrients that are known as essential physiological compounds with specific biological functions in plants, and their antioxidant activity has received much attention (Mengmeng et al., 2024). Among the most abundant phenolic compounds in cereals, vegetables, fruits, spices, medicinal plants, and various beverages are flavonoids, whose structure consists of a C6-C3-C6 skeleton with different A, B, and C rings. Flavonoids include flavonols, flavones, flavanones, isoflavonoids, and anthocyanidins (Zhang et al., 2023b). Phenolic compounds have the potential to eliminate active nitrogen and oxygen species, and are considered for their desirable effects (Peng et al., 2023).

The main catechins present in fresh tea leaves or their products are rich in phenolic or hydroxyl galloyl structures and include (-)-epigallocatechin gallate, (-)-epicatechin gallate, (-)-gallocatechin gallate, (-)-epigallocatechin, (-)-epicatechin, and (+)-catechin. Epigallocatechin gallate (EGCG) is the predominant catechin present in green tea, comprising around 60%, and is utilized to measure green tea’s quality. The amount of green tea catechins is influenced by various factors, such as the concentration of catechins, oxygen availability, temperature, pH, presence of antioxidants, level of metal ions, etc. (Rizwan et al., 2023). Also, EGCG acts as a stimulant of plasma membrane proteins, a moderator of metabolic enzymes, and a second signal messenger, and plays a very important role in disease control (Sun et al., 2022). These structures provide these compounds different properties, such as oxidative self-polymerization, reduction, and binding (Liu et al., 2023; Wei et al., 2024). EGCG, a biologically active compound, is acknowledged as “generally recognized as safe” (GRAS) by the US Food and Drug Administration (US FDA) and serves as a viable substitute for food additives, such as antimicrobial and antioxidant compounds (Moreno-Vásquez et al., 2021). Coatings containing EGCG are a type of active packaging that eliminate the direct addition of EGCG to food; on the other hand, it allows slow and controlled release of EGCG from packaging film (Wangli et al., 2022).

Recent studies have focused on the practical advantages of incorporating EGCG into food packaging. This compound has demonstrated its ability to extend the shelf life of food products while maintaining their quality. To the best of our knowledge, no research has been conducted explicitly to study the role of EGCG as an active agent to enhance the properties of biopolymer-based food packaging systems. This comprehensive review presents the latest insights and advancements in using EGCG in packaging films. It also examines the influence of EGCG on the functional and physicochemical characteristics of various food packaging films. The article begins with an overview of the chemical structure of EGCG and its biological properties, such as its antioxidant and antimicrobial attributes. Additionally, it delves into incorporating EGCG with different types of polymers and various preparation methods. The review thoroughly examines the use of EGCG in active and intelligent packaging, highlighting the potential opportunities for leveraging EGCG in food packaging.

Overview of epigallocatechin gallate

Epigallocatechin gallate is the most prevalent biologically active catechin found in tea. In recent years, there has been increasing evidence indicating that EGCG has a wide array of beneficial effects, including its ability to combat diabetes, fight cancer, and inhibit blood vessel formation, antibacterial, cardiovascular benefits, and its action as an antioxidant. Consequently, it holds significant promise for use as a functional ingredient in the food industry. Furthermore, phenolics are recognized for their strong ability to bind with polysaccharides and proteins because of their high reactivity. This characteristic allows them to readily form complexes with these large molecules, ultimately enhancing the functional properties of polyphenols. Hence, the existence of EGCG in food packaging can be highly beneficial for preserving quality and ensuring safety of different food items. In the following sections, the chemical structure, safety and health benefits, and biological activities of EGCG are addressed. A brief overview of key physicochemical and pharmacological properties of EGCG related to its biochemical and pharmacological properties is presented in Table 1.

Table 1. A concise overview of key physicochemical and pharmacological properties of EGCG that are related to its biochemical and pharmacological properties.

Properties/parameters Description
Molecular Weight 458.37 g/mol
Solubility Sparingly soluble in water, more soluble in organic solvents, such as ethanol and dimethyl sulfoxide (DMSO)
Maximum plasma concentration (Cmax) 130–3,392 ng/mL
Time to reach Cmax(Tmax) 60–115 min
Melting point 220–230°C
Apparent terminal elimination half-life 2.2 h after intravenous (i.v.) and 5–6 h after oral administration
Color White or off-white powder
Taste Bitter and astringent
Stability Sensitive to light, heat, and pH, more stable in acidic conditions
Acidity/basicity Mildly acidic
Hydrophobicity Exhibits both hydrophilic and hydrophobic properties
Ultraviolet absorption Shows characteristic absorption peaks in UV spectrum
Reactivity Known for antioxidant properties because of reactivity with free radicals
Relative bioavailability 1.6% at low dose (75 mg/kg body weight) 13.9% at higher doses (250 mg/kg and 400 mg/kg body weight)
Safety and tolerability Safe and tolerable at dosages of up to 1,600 mg

Chemical structure of epigallocatechin gallate

The chemical structure and molecular formula of green tea catechins are illustrated in Figure 1. One of the most prominent catechins, that is EGCG, has the molecular formula of C22H18O11. EGCG is a gallate ester derived from the combination of epigallocatechin and gallic acid. This compound boasts a rich medicinal heritage, having been utilized by various cultures for centuries to address ailments linked to oxidative stress. Additionally, it has garnered attention as a promising source of antioxidants because of its ability to neutralize free radicals (Arokia Vijaya Anand et al., 2023). Structural characteristics of EGCG reveal its sensitivity to environmental factors; it is particularly vulnerable to degradation when subjected to heat and ultraviolet (UV) light, which results in oxidation. The synthesis of EGCG occurs through the esterification process involving gallic acid and epigallocatechin, resulting in a complex polyphenolic structure. This structure features three aromatic rings, which enhance its stability and reactivity, along with one dihydropyran heterocyclic ring (Fuyun et al., 2024). Furthermore, the compound is characterized by the presence of eight phenolic hydroxyl groups, which play a crucial role in its biological activity, contributing to its antioxidant properties and interaction with various biological pathways (Li et al., 2023). However, these same phenolic hydroxyl groups challenge for the practical application of EGCG. The polyhydroxy nature of EGCG confers significant water solubility (WS), yet this property also contributes to its poor solubility in lipids. Consequently, limitations in fat solubility hinder its incorporation into fat-based formulations. This decreased solubility in fatty environments can lead to complications during the absorption process, as it affects the compound’s passage through the lipid bilayer of cell membranes. As a result, the bioavailability of EGCG is reduced, which may limit its effective delivery to targeted sites within the body, where its therapeutic properties could be most beneficial. Overall, while EGCG is recognized for its potent health benefits, understanding and addressing its solubility challenges remain critical for optimizing its use in dietary supplements and pharmaceutical applications (Zhuang et al., 2024).

Figure 1. Chemical structure and molecular formula of green tea catechins.

Safety Implications and health effects of epigallocatechin gallate

Epigallocatechin gallate enters the body mostly through drinking brew. One cup of green tea contains almost 177 mg of EGCG (Kciuk et al., 2023). For an adult person weighing 70 kg, the acceptable daily intake (ADI) of EGCG is reported to be 322 mg. On the other hand, according to the reports of the Food Safety Authority of the European Union (EFSA), the daily consumption of 600 mg of EGCG can cause liver damage in humans, which was associated with increased transaminases. In addition, the injection of 100-mg EGCG/kg body weight for four consecutive days in mice led to nephrotoxicity, causing an increase in neutrophil gelatinase-dependent lipocalin, serum cystatin C, and inflammatory markers. Owing to its chemical structure, EGCG is susceptible to autoxidation degradation, which may cause toxic effects of this compound. In normal physiological conditions, this compound may be converted into o-quinone through a non-enzymatic dehydrogenation process (phenolic hydroxyl groups). Peroxide radicals often act as EGCG oxidants to produce hydrogen peroxide (H2O2) and o-quinone to produce reactive oxygen species (ROS) (James et al., 2023). Consumption of 400–800 mg of EGCG caused serum EGCG (free and total) in nonmolar high amounts. In addition, chronic dosing of 800 mg EGCG increased its bioavailability and minor gastrointestinal adverse effects. This is despite the fact that in packaging of green tea, the content of polyphenol is 80–100 mg, while this amount turns into 25–30 mg of EGCG (Włodarczyk et al., 2024). One of the most important flavonoids in green tea is EGCG. Preclinical evidence shows that EGCG has antioxidant (Yanyan et al., 2023), anti-allergic/anti-inflammatory (Shaojie et al., 2023; Zeng et al., 2023), antimicrobial (Buatong et al., 2023), anticancer (Woo Yong et al., 2024), anti-cardiovascular effects (Péter et al., 2024; Ntamo et al., 2024).

Biological properties

The effectiveness of green tea polyphenols relies on their bioavailability. EGCG engages with cell membranes, triggering internal signaling, and operates within cell compartments, such as cytosol, mitochondria, lysosomes, and nuclei. The outcomes differ based on cell type, stress, and EGCG level. Research indicates polyphenols’ broad health benefits, such as antimicrobial, anticancer, and antioxidant properties, which are assessed through diverse studies and trials. The following section elaborates EGCG’s biological functions in more detail. The mechanism of action and physiological effects of EGCG are illustrated in Figure 2.

Figure 2. The mechanism of action and physiological effects of EGCG.

Antioxidant activity

Natural antioxidants utilized in food packaging films consist of complex molecular structures mainly sourced from plant extracts and essential oils, each presenting distinct benefits and challenges. It is essential to understand that every natural antioxidant employed in food packaging has its shortcomings, and these constraints require thoughtful consideration and creative solutions. Antioxidants derived from plant extracts can release crucial compounds from packaging materials, which help in shielding food products from oxidative stress induced by free radicals, oxidative intermediates, and secondary degradation products. Besides their protective functions, these natural substances exhibit substantial antimicrobial and antifungal characteristics that contribute to better food quality and safety (Domínguez et al., 2018; Oroian and Escriche, 2015). Consequently, there is a growing interest in exploring and developing new antioxidant agents from various plant resources. Natural antioxidants are divided into three primary categories: (i) vitamins, such as ascorbic acid (vitamin C) and tocopherols (vitamin E), recognized for their health advantages; (ii) carotenoids, including pigments such as beta-carotene and xanthophylls, which provide protective functions; and (iii) polyphenols, an extensive category that includes flavonoids, phenolic acids, lignans, and stilbenes, each adding to antioxidant capability (Rangaraj et al., 2021). The overall efficacy of these compounds in counteracting oxidative stress primarily relies on their specific chemical characteristics and the extraction methods applied. Furthermore, the antioxidant potential of phenolic concentrates or essential oils is closely connected to their content of polyphenolic compounds. Extracts or essential oils rich in polyphenols are regarded as highly effective antioxidants for creating active packaging films and coatings. These polyphenolic compounds serve as potent reducing agents, efficiently neutralizing free radicals that jeopardize food quality (Papuc et al., 2017).

Meanwhile, scientific research has demonstrated that EGCG has strong antioxidant abilities. It has exhibited a greater capacity to counteract free radicals than other catechins, establishing its significance in antioxidant studies. The molecular structure of EGCG, characterized by eight hydroxyl groups, is crucial to its antioxidant effectiveness (Gan et al., 2018; Legeay et al., 2015). Furthermore, EGCG’s capacity to chelate metal ions such as iron, copper, chromium, and cadmium is attributed to the phenolic groups in its structure. The antioxidant properties of EGCG depend on its polyphenolic groups needed for electron transfer, leading to turning off different types of active oxygen. The presence of trihydroxyl in the EGCG ring leads to an increase in its antioxidant properties (Li et al., 2023). Studies conducted in laboratory conditions on the structure of oils such as lard, corn, and soybean oil showed the antioxidant properties of EGCG well (Song et al., 2021). In addition, EGCG has been reported to reduce certain metal ions, which are known to be involved in the generation of harmful ROS. Although EGCG may produce ROS through certain chemical reactions, its conversion to H2O2 by superoxide dismutase (SOD) is crucial for preventing further oxidative damage. Moreover, studies have indicated that EGCG treatment may lead to an increase in SOD activity in rats with acetic acid-induced colitis (Oliveira et al., 2016; Yanyan et al., 2023; Ntamo et al., 2024). This increase in SOD activity is influenced by the unique molecular structure of EGCG, which contains two catechol groups, three gallate groups, and two hydroxyl groups. These findings contribute to our understanding of the potential health benefits of EGCG and its mechanisms of action (Huimin et al., 2024; Mengmeng et al., 2024).

Anti-allergic and anti-inflammatory properties

By inhibiting the release of various chemical mediators, such as histamine, leukotrienes, and hexosaminidase, polyphenols lead to cytokine production, signal transmission, and gene expression (in mast cells, T cells, and basophils), ultimately leading to interference in allergic reactions. In addition, creating a complex between the compounds of polyphenols and proteins prevents the identification of allergen antibodies and reduces the binding between immunoglobulin E (IgE) and allergens. Regulation of intestinal microbiota by polyphenolic compounds contributes to the anti-allergic/inflammatory properties of these compounds (Zeng et al., 2023). EGCG is known as a strong anti-inflammatory compound with therapeutic properties. This compound leads to the inhibition of apoptosis of activated neutrophils. It inhibits chemokine-induced neutrophil chemotaxis and blocks neutrophil-induced devascularization in an inflammatory angiogenesis model (Jiachen et al., 2022).

Antimicrobial activity

Green tea compounds, through various methods, such as inhibition of cell membrane and cell wall synthesis, nucleic acid and protein synthesis, inhibit metabolic pathways, such as iron chelation, oxidative stress, extracellular matrix virulence factors, toxins, etc., and have a wide-range of activity against different types of microorganisms (bacteria, viruses, and fungi) (Köksoy and Ragbetli, 2024). EGCG demonstrates antibacterial effects through unique mechanisms in both gram-positive and gram-negative bacteria. In gram-positive bacteria, EGCG disturbs the production and functionality of bacterial cell wall. This disruption weakens the structural stability of cell wall, ultimately hindering the bacteria’s capacity to sustain vital cellular functions. Conversely, the action of EGCG on gram-negative bacteria is more intricate. It entails the formation of ROS as well as the generation of water. These reactive entities induce oxidative stress within bacterial cells, resulting in cellular damage and death. The production of ROS not only interferes with essential metabolic activities but also harms cell membrane, leading to complete destruction of bacterial cell. Through these methods, EGCG appears to hold potential as an effective treatment against numerous bacterial strains (Zhang et al., 2023c). In addition, it prevents the formation of essential structural components for bacterial integrity, such as cell walls and membranes. Additionally, EGCG disrupts key biological functions by inhibiting the synthesis of proteins and nucleic acids, impacting metabolic processes. Notably, it neutralizes bacterial virulence factors, including toxins and extracellular matrix components (Köksoy and Ragbetli, 2024; Mittal et al., 2021). Siriphap and colleagues (2022) investigated the in vitro antibacterial properties of EGCG against multidrug-resistant (MDR) Vibrio cholerae. Their findings revealed that all 45 clinical isolates were sensitive to EGCG, with minimum inhibitory concentration (MIC) and minimum bactericidal concentration (MBC) values ranging from 62.5 to 250 µg/mL and 125 to 500 µg/mL, respectively. The mode of action of EGCG is associated with the disruption of bacterial cell membranes. This includes binding to cell membrane, causing damage, hindering bacteria’s ability to adhere to host cells, preventing biofilm formation, disrupting quorum sensing, and affecting bacterial membrane transport mechanisms (Siriphap et al., 2022).

Anticancer properties

Nowadays, because of high mortality caused by cancer, there is a need for new treatments to combat the same. One of the effective compounds for cancer treatment is EGCG and its derivatives. In biological studies (in vitro and in vivo), EGCG has antitumor activity against skin, bladder, adrenal glands, cervix, breast, stomach, esophagus, liver, prostate, oral, lung, colorectal, and ovarian cancers. Most of the laboratory studies of EGCG have been conducted with doses in the range of 5–200 µM. The mechanism of antitumor activity of EGCG is proposed in various studies, such as inhibition of adhesion, invasion, migration, growth/proliferation, suppression of angiogenesis, and metastasis (Paweł et al., 2023). On the other hand, EGCG-assisted therapies need further improvements in terms of safety, bioavailability, low absorption, specificity, and stability. Nano-based approaches can significantly improve the anticancer properties of EGCG against different types of cancers. Polymeric nanoparticles have shown the potential to deliver and protect molecules against adverse conditions. In this context, we can mention nanoparticles (targeting folate receptor) loaded with EGCG for prostate cancer cells (Read et al., 2023).

Cardiovascular benefits

According to studies, EGCG causes the capillaries to dilate by increasing capillary blood circulation. It reduces inflammation and interferes with fat absorption and digestion. This process is caused by the direct interaction of mesyl formation and inhibition of phospholipase A2. Connecting these two processes can limit the absorption of fat, and finally resulting in a decrease in the amount of plasma lipids and cholesterol. EGCG can further reduce cholesterol and stimulate its excretion through bile. Also, EGCG improves lipid profile by increasing lipid metabolism (Granja et al., 2017).

Other properties

Epigallocatechin gallate acts as an important anti-uterine fibroid agent, and this process is carried out by modulating multiple signal transmission means because of its inhibitory effect on catechol-methyltransferase (Siblini et al., 2023). In addition, EGCG has beneficial effects on patients with nonalcoholic fatty liver disease. This protective effect can be in the form of stopping the activation of hepatic stellate cells and regulating lipid metabolism (Ding et al., 2023). EGCG is also widely used in various tissue engineering implants, wound healing, and prosthetics (Péter et al., 2024).

Interactions of epigallocatechin gallate with biopolymers

In the realm of polyphenolic compounds, intricate details regarding the presence, arrangement, and orientation of various functional groups are crucial in determining their technological properties. Specifically, in phenolic acids, the position and abundance of hydroxyl (−OH) functional groups significantly influence important characteristics, such as adhesion, cross-linking ability, antibacterial activity, and antioxidant properties. One prominent example of such a polyphenolic compound is EGCG, which is notable for its multifaceted structure formed through the esterification reaction between gallic acid and epigallocatechin (Zhang et al., 2023a, 2023b). Structurally, EGCG is characterized by the presence of three aromatic rings, a single dihydropyran heterocyclic ring, and an impressive eight phenolic hydroxyl groups. These hydroxyl groups are key players in facilitating the biological activity of EGCG, contributing to its ability to scavenge free radicals and exert various health benefits. However, the abundance of these phenolic hydroxyl groups also introduces complexities regarding the practical application of EGCG in various formulations (Yanyan et al., 2023; Yue et al., 2023).

The polyhydroxyl nature of EGCG enhances its solubility in aqueous environments, making it readily dissolvable in water. This property, although beneficial in many contexts, simultaneously limits its solubility in lipophilic (fat-based) systems. As a result, this reduced fat solubility presents challenges for its incorporation into lipid-rich formulations. Moreover, EGCG’s capacity to permeate through cellular membranes is impeded by its limited fat solubility, leading to decreased bioavailability and hindering effective delivery to specific target sites within the body (Kciuk et al., 2023; Shaojie et al., 2023).

Delving deeper into its molecular structure, EGCG features a tri-hydroxyl group positioned on the B ring, a di-hydroxyl group located on the A ring, and a tri-hydroxyl group contributing to gallate moiety (D ring), which is esterified at the third carbon of the C ring. These distinctive functional groups in EGCG not only participate in a range of biological activities but also have the potential to interact with biopolymer film matrices. For instance, abundant hydroxyl groups in EGCG engage in hydrogen bonding with the side chains of gelatin, a common biopolymer used in various applications. This interaction is particularly noteworthy because the concentration of EGCG incorporated into gelatin-based films can significantly influence their mechanical properties, including strength and extensibility. Consequently, the formulation and concentration of EGCG are critical factors that dictate the performance characteristics of fish gelatin-based films, ultimately impacting their usability in commercial products (Peng et al., 2023).

Wangli and colleagues (2022) conducted an in-depth study to investigate interactions between EGCG and chitosan films, focusing on how these interactions influence the films’ physical and mechanical properties. Their research revealed that chitosan films infused with EGCG exhibited notable differences compared to pure chitosan films. Specifically, the infused films were found to be thicker, which could be attributed to the incorporation of EGCG into chitosan matrix. The mechanical properties of the films were also improved significantly; chitosan films with added EGCG displayed enhanced tensile strength, indicating a greater resistance to breaking under tension. Additionally, these films demonstrated higher water solubility, which suggests that the presence of EGCG alters the interaction of biopolymer with water, potentially making the films more versatile for various applications. Moreover, the study noted a reduction in several parameters: moisture content (MC), swelling degree, and water contact angle (WCA). These changes imply that the EGCG infusion may lead to better barrier properties against moisture permeation, which is critical for applications in food packaging and other fields where moisture control is essential. FTIR spectroscopy analysis provided further insights, confirming that the interaction between EGCG and chitosan primarily occurs through intermolecular hydrogen bonding. This interaction not only facilitated an improvement in the mechanical properties but also contributed to enhancement in the thermal stability of chitosan films.

The combination of chitosan and EGCG was characterized by various types of chemical interactions, including hydrogen bonds, electrostatic interactions, and ester bonds. The EGCG molecule, rich in hydroxyphenolic groups, plays a crucial role in strengthening these interactions, reinforcing the structural integrity of biopolymer framework. As a result, this reinforcement leads to increased tensile strength of films. However, studies also pointed out that improved interactions could potentially hinder optimal crosslink formation between EGCG and chitosan chains. This effect might reduce the flexibility of polymer chains, subsequently decreasing elongation at break, which is an important factor for the mechanical performance of films. Thus, while the addition of EGCG provides several advantages, it also introduces certain trade-offs that are carefully considered for the potential applications (Wangli et al., 2022).

Epigallocatechin gallate exhibits remarkable stability because of its ability to form multiple hydrogen bonds when interacting with various nanomaterials. Recent research has explored the application of nanotechnology to enhance the incorporation and retention of active substances within these materials. This involves either embedding these substances directly into the matrix of nanomaterials or adsorbing them onto surfaces, both of which significantly improve the stability of coatings or films while also bolstering their mechanical properties. Among the diverse array of functional nanomaterials, melanin-like nanoparticles (MNPs) have emerged as a noteworthy class because of their environment-friendly nature and safety profile. These nanoparticles possess unique characteristics that make them particularly advantageous for enhancing the functionality of biopolymer-based films. Their π-conjugated structures, combined with the presence of functional groups, such as amino groups, quinone groups, and hydroxyl groups, allow for effective interactions with a wide range of active compounds. Specifically, they can engage in π-π stacking and/or hydrogen bonding interactions, which are crucial for maintaining stability and functionality.

EGCG’s own structure features a phenolic ring system, characterized by its aromatic properties. This structure is conducive to establish stronger interactions with MNPs, thereby creating an optimal environment for the functionalization of biopolymer films. The enhanced interaction between MNPs and EGCG not only facilitates improved stability but also amplifies the overall performance of resulting composite materials (Zhao et al., 2022). In another study, Liang and co-workers (2017a) developed chitosan nanoparticles (CS NPs) that were effectively coated with zein, highlighting their potential as an innovative encapsulation and delivery system for bioactive compound EGCG. They undertook a series of analyses to examine these nanoparticles’ physicochemical and structural properties, identifying that electrostatic interactions and hydrogen bonding predominantly influenced formation processes. Interactions between zein’s hydrophobic regions and encapsulated EGCG resulted in a more compact nanoparticle structure, enhancing stability and potentially improving the delivery efficacy of EGCG. Furthermore, reduction in particle size observed during the encapsulation process was closely associated with the electrostatic interactions between zein/chitosan nanoparticles and EGCG molecules (Liang et al., 2017a).

Absorption and metabolism of epigallocatechin gallate

Key metabolic pathways of EGCG in the human body are shown in Figure 3. EGCG is first absorbed in the intestine after consumption. Intestinal microbiota plays an important role in the metabolism of EGCG. Only insignificant amounts of EGCG appear in the systemic circulation. Epigallocatechin and gallic acid are produced due to the breakdown of EGCG by intestinal microbiota. This process is initiated through microbial transformation by rapid degalylization of the ring by microbial esterases (Chimento et al., 2023). According to reports of oral administration of EGCG, this compound is first absorbed in the intestine. On the other hand, its bioavailability is low due to its metabolism, oxidation, and secretion. A number of studies have shown that EGCG is degraded by gut microbiota under in vivo deconjugate and in vitro conditions. However, EGCG is metabolized before being absorbed by gut microbiota (Gan et al., 2018). In the first stage of decomposition, EGCG is converted into non-esterified catechin through the hydrolysis of catechin ester. This process is mostly caused by microorganisms, such as Bifidobacterium longum and Lactobacillus plantarum. In the human intestine, gallic acid further breaks down to produce pyrogallol. A small part of epigallocatechin is placed in the C-4’ position because of further hydroxylation and this conversion is no longer done by intestinal bacteria (Zhang et al., 2023a).

Figure 3. Key metabolism pathways of EGCG in the human body.

Extraction of epigallocatechin gallate

Various methods are proposed to extract polyphenols; these methods include microwave extraction, maceration extraction, molecular distillation, solvent-based extraction, and ultrasound (Pasrija and Anandharamakrishnan, 2015; Vuong et al., 2010). Different methods of EGCG extraction are summarized in Table 2.

Table 2. Different extraction methods of EGCG.

Extraction method Description Advantages References
Microwave extraction Utilizes high-frequency movement to rupture cells, enhancing diffusion rate for quick extraction. Convenient, fast, safe, eco-friendly Kargozari et al., 2018; Singh et al., 2022
Maceration extraction Soaking in cold or warm water, with cold water providing higher efficiency despite longer extraction time. Simple, safe, efficient, cost-effective Athirojthanakij and Rashidinejad, 2024; Koina et al., 2023
Solvent-based extraction Traditional but less economical because of solvent and energy use; can be improved by employing nontoxic CO2, avoiding environmental harm. CO2alternatives are nontoxic, cheap, and eco-friendly Ghoreishi and Heidari, 2013
Ultrasound extraction Utilizes cavitation to disrupt cells, enhancing solvent diffusion and creating micro-channels for extraction. Efficient, eco-friendly method based on mechanical wave principles Raghunath et al., 2023
Enzyme-assisted extraction Uses enzymes such as glucanases to break cell walls, facilitating the release of compounds for increased extract yield. Effective for extracting nonextractable polyphenols, employs a variety of enzymes from different sources Al Yammahi et al., 2023; Calderón-Oliver and Ponce-Alquicira, 2021

Microwave extraction

In microwave-assisted extraction, when the target molecules are placed in microwave field, high-frequency movement is created by ion conduction and dipole rotation through two simultaneous heating methods, internal and external, which occur as a result of this cell rupture process. As a result of increasing the diffusion rate, polyphenols and other substances are extracted quickly (Chenyu et al., 2023). Extraction with the help of microwaves consists of three steps: diffusion of solutes from inside the sample to the solvent, introduction of solvent into the matrix of the sample, and further purification of solutes from the active sites of matrix (Shaukat et al., 2023). After microwaves pass through biomass, a high-temperature increase leads to the evaporation of internal water and disruption of plasma membrane and cell wall of biomass. Parameters, such as microwave power, duration, and solvent, exert maximum effect on the yield of bioactive molecules by microwave-assisted extraction method. Microwave extraction is a convenient, fast, safe, and environment-friendly method (Singh et al., 2022).

Maceration extraction

The extraction of bioactive compounds is also done using the usual soaking method (cold or warm water). Factors such as temperature and time are effective in the concentration of extracted compounds. Cold water provides higher efficiency for the extraction of bioactive compounds, and the time required for extraction from cold water is much longer than the time required for extraction from hot water. It leads to an increase in the risk of microbial contamination and challenges the use of extracts in both food and pharmaceutical industries (Koina et al., 2023). Extraction with hot water is one of the simplest methods of extracting bioactive compounds from green tea. Other advantages of this method include safety, high extraction efficiency, compatibility with the environment, and cost. However, different conditions must be controlled. Hot water extraction can be easily used on an industrial scale (Athirojthanakij and Rashidinejad, 2024).

Solvent-based extraction

The extraction method using solvent is not economical due to the high consumption of solvent and energy. In addition, the use of chlorine-containing solvents is not useful because it is harmful to humans, ozone layer, and the environment. The above disadvantages are evoked by using supercritical CO2 instead of toxic liquid solvents. CO2 is nontoxic, inexpensive, has low critical pressure and temperature, has no impact on the environment, and is nonflammable (Ghoreishi and Heidari, 2013).

Ultrasound extraction

Ultrasound extraction is an efficient and environment-friendly method that is used to disrupt cells to extract intracellular compounds from the cell matrix. Ultrasound-assisted extraction is based on a principle based on cavitation. It increases the diffusion speed of the solvent inside the matrix and causes the formation of micro channels in the sample. The generation and collapse of cavitation bubbles induces shear force and turbulence within the fluid which results in breakdown the cell walls contributing to releasing the bioactive compound (Raghunath et al., 2023).

Enzyme-assisted extraction

Enzyme-assisted extraction is used to extract compounds, such as nonextractable polyphenols, compared to other extraction methods (Calderón-Oliver and Ponce-Alquicira, 2021). In the enzyme extraction method, enzymes, such as glucanases, amylases, cellulases, and proteases, are used. These enzymes are used to break cell walls and membranes to facilitate the dissolution and release of intracellular polysaccharide compounds inside the solvent, thus increasing the yield of the extract. Useful enzymes used in enzyme-assisted extraction can be derived from fungi, bacteria, vegetable/fruit extract, or animal organs (Al Yammahi et al., 2023).

Impact of Epigallocatechin Gallate on the Characteristics of Food Packaging

Table 3 details the impact of incorporating EGCG on the physical, mechanical, and microstructural properties of packaging films.

Table 3. Impact of incorporating EGCG on the physical, mechanical, and microstructural properties of packaging films.

Base Key observations References
Film characterization Functional properties
Polymer Additives Physical properties (thickness [mm], MC, WS, SI [%], WVP [g mm/m2h kPa], OP [cm3/m2h], OPA [mm−1]) Mechanical properties (TS and YM [MPa], EAB [%]) Antioxidant ability/method Antimicrobial ability
KC/PVA PDE/EGCG Thickness (↑; 0.023–0.057), WVP (↓; 24.18–5.01), OP (↓; 7.45–4.52), WS (↓; 30.12–13.30), MC (↓; 6.35–2.01) TS (↓; 19.01 →6.07), EAB (↑; 28.34 →46.41) DPPH, up to 39.23% NS Goudarzi et al., 2023
Pectin/starch EGCG WCA ↑(70°–>90°), WVP (↓; ~5.50–~4.75), OP (↓; ~1.9–~1.3) EAB (↓; ~13.0–~5.0), TS (↑; ~6.5–~12.0) DPPH; up to ~70% S. aureusand E. coli Xu et al., 2024a
SC@CMC/CS EGCG WCA ↑; (53.1–60.09), WVP (↑; 6.00–26.00) TS (↓; 3.30 →2.80), EAB (↑; 0.3 →2.5) DPPH; up to ~85% NS Xu et al., 2023
CS/pectin NATA/EGCG OPA (↑; 0.78–1.99), WCA (↑; 75.77–82.30), WVP (↓; 0.79–0.69), OP (↓; ~2–~1.8) EAB (↑; 2.54–3.71), TS (↑; 9.94–71.64) DPPH (87.29%)/ABTS (92.77%) S. aureusand E. coli Fu et al., 2024
PCL/CS EGCG@HP-βCD WCA (↓; 123–24.5), WVP (↑; ~5.8–~6.2) EAB (↑; 40.01–128.08%), TS (↓; 5.86–2.25) NS Botrytis cinerea and Alternaria alternate Hu et al., 2023
Gel/TCNFs EGCG/CAR Thickness (↑; 0.034–0.06), MC (↓; 30.81–17.55), WS (↓; 34.11–26.37), WVP (↑; 1.07–1.88) EAB (↑; 48.47–61.25), TS (↓; 56.67–17.08) DPPH (92.60%)/ABTS (90.6%) S. aureusand E. coli Song et al., 2023
CS EGCG WCA (↓; 80.09–38.82), OPA (↑; 0.87–1.22), WS (↑; 36.32–38.11), MC (↓; 36.38–16.95), SI (↓; 229.79–65.34) EAB (↑; 9.12–1.89), TS (↑; 5.51–12.91) DPPH; up to 93.1% S. aureusand E. coli Dai et al., 2022b
CS EGCG@MNPs Thickness (↑; 103.87–109.27), WS (↑; 18.68–20.79), MC (↓; 21.44–14.40), SI (↑; 207.24–306.95) EAB (↑; 11.18–11.68), TS (↑; 10.86–18.05) DPPH (58.4%)/ABTS (92.4%) S. aureusand E. coli Zhao et al., 2022
SA/CMC EGCG Thickness (↑; 12.00–13.00), transmittance (↓; 85.99–57.75) EAB (↓; 27.50–11.20), TS (↑; 4.28–10.78) DPPH; up to ~88% NS Ruan et al., 2019b
DAG/Gel EGCG Thickness (↑; 4.6–39.94), WVP (↓; 14.34–5.79), WCA (↓; 102.7–92.6) EAB (↑; ~8–~45), TS (↓; 53.25–35.12) NS S. aureusand E. coli Wang et al., 2020
LMP EGCG NS NS DPPH; up to ~98% S. aureusand E. coli Huang et al., 2023
CS EGCG-loaded NCs/EPS Transmittance (↓; 30.40–22.54) EAB (↓; 22.50–3.90), TS (↑; 6.44–18.10) DPPH; up to ~70% NS Liang et al., 2017b
Zein Lecithin-EGCG NS NS DPPH (84.76%)/ABTS (80.95%) E. coli Dong et al., 2023
EWP EGCG Thickness (↓; 0.24–0.16), MC (↓; 12.11–6.33), WS (↓; 27.07–17.10/9, SI (↓; 3.99–3.03), WVP (↓; ~9.00–~3.00) NS DPPH (~55%)/ABTS (~90%) NS Wu et al., 2023
SA EGCG/Fe and TEON Thickness (↑; 3.135–4.911), WCA (↑25.00–~15.00), MC (↓; 17.00–12.00), WVP (↓; 2.05–1.20), OP (↓; 3.56–2.00) EAB (↑; 11.38–15.03), TS (↑; 35.33–39.10) 11.38–15.03 S. aureusand E. coli Mao et al., 2023
CS EGCG WCA (↓; 97.81–86.37), WVP (↓; 3.57–3.11), OP (↓; 0.42–0.29) TS (↑; 31.54–36.20 MPa) and EAB (↑; 50.12–56.40%) DPPH (~85%)/ABTS (~99%) NS Yong et al., 2024
PLA/CS

NS: not stated; KC: Kappa-carrageenan; SC: sodium caseinate; PVA: polyvinyl alcohol; PDE: Prunus domestica extract; EGCG: epigallocatechin gallate; NATA: natamycin; CS: chitosan; MC: moisture content; WS: water solubility; WVP: water vapor permeability; OP: oxygen permeability; WCA: water contact angle; TS: tensile strength; EAB: elongation at break; YM: Young’s modulus; SI: swilling index; OPA: opacity; PCL: polycaprolactone; HP-βCD: hydroxypropyl-β-cyclodextrin; EGCG@ MNPs: EGCG loaded melanin-like nanocomposite; SA: sodium alginate; CMC: carboxymethyl cellulose; DAG: dialdehyde glucomannan; GEL: gelatin; EWP: egg white protein; TEON: thyme essential oil nano-emulsion; PLA: polylactic acid; TCNFs: TEMPO-oxidized cellulose nanofibers; CAR: carvacrol.

Mechanical properties

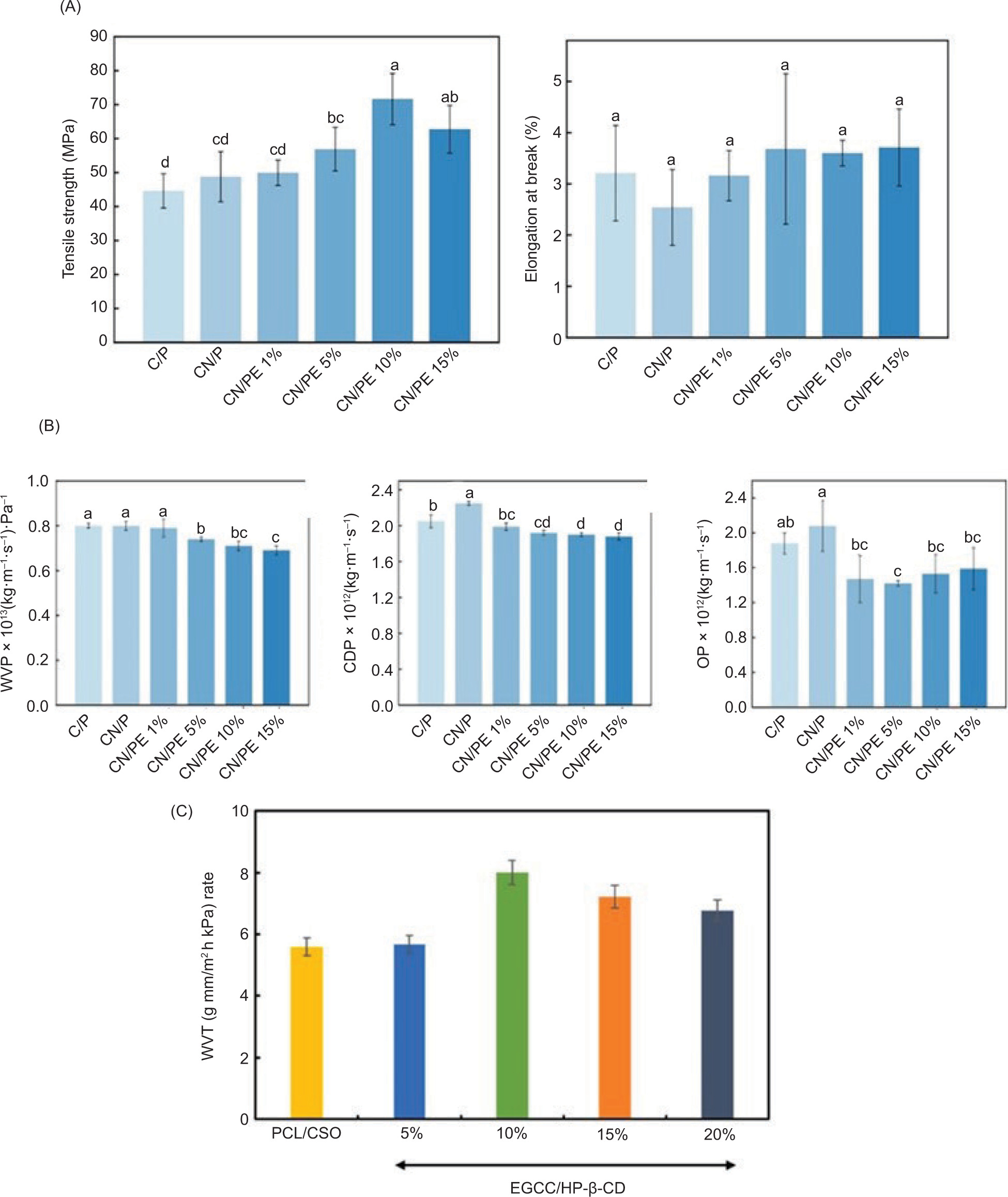
Packaging films need to possess sufficient flexibility and strength to withstand external factors and preserve the integrity of packaged foods during transportation and storage. Many research studies have evaluated elongation at break and tensile strength to assess the flexibility and mechanical strength of films. Discrepancies in the mechanical properties of packaging films are contingent upon the type of polymer and additive used (Tavassoli et al., 2023a). This section investigates the effect of adding EGCG on the mechanical properties of packaging films. For example, Dai et al. (2022a) found that by increasing the content of EGCG from 0% to 2%, the tensile strength of chitosan film was increased from 5.51 ± 0.48 to 12.91 ± 0.58 MPa, and the elongation at break decreased from 9.12 ± 0.23% to 1.89 ± 0.86%. These results are due to the interaction between chitosan and EGCG. Studies have shown that ester bonds, electrostatic interactions, and hydrogen bonds characterize the interaction of polyphenols and chitosan. EGCG, with its hydroxyphenyl groups, strengthens these interactions and increases tensile strength. However, these enhanced interactions may form excessive cross-links between chitosan and EGCG, reducing the mobility of chains, leading to reduced elongation at t break (Dai et al., 2022b). Goudarzi et al. (2023) reported that by increasing the content of EGCG from 0 to 10 µg, the tensile strength of Kappa-carrageenan/polyvinyl alcohol electrospun fiber decreased from 19.01 ± 0.04 MPa to 14.82 ± 0.34 MPa. In addition, the elongation at break increased from 28.34 ± 0.02 to 32.15 ± 0.76%. These results show that friction is created between EGCG and fiber, which broke the spatial structure between polyvinyl alcohol and Kappa-carrageenan and increased the movement of molecules (Goudarzi et al., 2023).

In another study, Fu et al. (2024) showed that the tensile strength of the bilayer film of chitosan/natamycin (CS-NATA) and pectin (PE)/EGCG (1%, 5%, 10%, and 15%) increased from 49.94 MPa to 71.64 MPa with the addition of EGCG, and the elongation at break also changed from 2.54% to 3.71% (Figure 4A). This improvement in mechanical properties is due to the structure of six-membered ring of EGCG, which prevents the free rotation of bonds in the film. In addition, new hydrogen bonds were created between the content of EGCG and the film, and the interaction of EGCG with film structure improves the tensile strength and compressibility of the film (Fu et al., 2024).

Figure 4. (A) Tensile strength and elongation at the break of CS-NATA and PE/EGCG (PE) film; (B) results of water vapor permeability, carbon dioxide permeability, and oxygen permeability of CN/PE film (Fu et al., 2024); (C) results of water vapor permeability of polycaprolactone (PCL) and chito-oligosaccharide (CSO) nanofibers containing different concentrations of EGCG/hydroxypropyl-β-cyclodextrin (HP-β-CD) (Hu et al., 2023).

Physical properties

Barrier properties

The barrier properties of packaging films are crucially measured using two key features: oxygen permeability and water vapor permeability. Oxygen permeability must be minimized as much as possible because the presence of oxygen and water can substantially impact the chemical, physical, and microbial properties of food (Tavassoli et al., 2023a). Fu et al. (2024) conducted a study showing that increasing the EGCG content to 15% led to a decrease in the water vapor permeability of CS-NATA and PE/EGCG bilayer film to 0.79 × 10–13. The reduction in water vapor permeability is attributed to the presence of polar groups in EGCG’s structure, which interact with the film and result in competitive binding. This interaction decreases the transfer of water molecules in the film, lowering its water vapor permeability. Furthermore, adding EGCG reduced carbon dioxide and oxygen permeability in the film. Specifically, at the EGCG contents of 15% and 5%, the film’s carbon dioxide and oxygen permeability reached their lowest values. This phenomenon occurs because the introduction of EGCG forms intermolecular bonds within the film and fills the spaces, while the polar groups in EGCG act as barriers against the diffusion of nonpolar molecules, such as oxygen and carbon dioxide, ultimately reducing the film’s oxygen and carbon dioxide permeability (Figure 4B; Fu et al., 2024).

The impact of incorporating EGCG on the inhibitory characteristics of the film is assessed. For instance, Hu et al. (2023) observed that increasing the EGCG/2-hydroxypropyl-β-cyclodextrin (HP-β-CD) (EGCG/HP-β-CD) concentration to 10% increased the water vapor permeability of polycaprolactone (PCL)/chito-oligosaccharide (CSO) nanofibers because of enhanced water absorption by HP-β-CD. However, at addition of 15% and 20% EGCG/HP-β-CD, the water vapor permeability of PCL/CSO electrospun nanofibers decreased (Figure 4C) due to the creation of hydrogen bonds between PCL/CSO and EGCG/HP-β-CD nanofibers (Hu et al., 2023). Sun et al. (2020) in a study demonstrated that the water vapor permeability of konjac glucomannan/carboxymethyl chitosan film decreased from 5.70 ± 0.56 to 3.91 ± 0.22 g mm/m2 day kPa when the EGCG content increased from 0% to 20%. This reduction was attributed to the formation of a strong hydrogen bond between film and EGCG (Sun et al., 2020).

Water contact angle

Packaging films are evaluated based on their WCA, which reveals wettability and hydrophobicity of film surface and is influenced by film’s microstructure and chemical properties. This angle ranges from 0° to 180°, with a contact angle >65° being considered hydrophobic and <65° being considered hydrophilic (Tavassoli et al., 2023a). This section explored the impact of incorporating EGCG on the WCA of packaging films. Dai et al. (2022a) observed that the WCA of chitosan film decreased from 80.09° to 38.82° when the EGCG content was increased from 0% to 2% (Figure 5A). This decrease was attributed to the presence of -OH groups in EGCG, which enhanced film’s hydrophilicity (Dai et al., 2022b). In a recent study, Fu et al. (2024) demonstrated that increasing the EGCG content to 15% resulted in increase in the WCA of bilayer film of CS-NATA and PE/EGCG to 80.97° (Figure 5B). Decrease in film’s hydrophilicity is attributed to the presence of polar groups in EGCG’s structure. Furthermore, interaction of hydrogen bonds between pectin and polar groups reduced the exposure of hydrophilic groups in film (Fu et al., 2024).

Figure 5. (A) Results of water contact angle (WCA) of chitosan EGCG (Wangli et al., 2022); (B) results of WCA of CN/PE film (Fu et al., 2024).

Water solubility and moisture content

One of the important and practical characteristics of packaging films is water resistance, which is shown by WS and MC. These characteristics play a significant role in food packaging sensitive to humidity or high humidity (Tavassoli et al., 2023a). This section investigated the effect of adding EGCG on water-resistant packaging films. For example, Dai et al. (2022a) found that by increasing the content of EGCG from 0% to 2%, the MC of chitosan film decreased from 36.38 ± 1.44% to 16.95 ± 1.13%. This took place due to the creation of electrostatic interactions or hydrogen bonding between EGCG and chitosan, which reduced the hydrophilic groups of chitosan and decreased film’s MC. In addition, researchers reported that increasing the content of EGCG from 0% to 2% increased the WS of chitosan film from 35.41 ± 1.64% to 38.11 ± 0.71%, which was because EGCG had hydrophilic groups (Dai et al., 2022b). Sun et al. (2020) reported that by increasing the content of EGCG from 0% to 20%, the moisture content of konjac glucomannan/carboxymethyl chitosan film decreased from 16.52 ± 0.26% to 12.36 ± 0.10%, which was due to hydrogen bonding between konjac glucomannan/carboxymethyl chitosan and EGCG (Sun et al., 2020). In this context, Goudarzi et al. (2023) showed that by increasing EGCG content from 0 µg/mL to 10 µg/mL, the moisture content of Kappa-carrageenan–polyvinyl alcohol electrospun fiber mats decreased from 6.35 ± 0.01% to 3.82 ± 0.08% and that of WS decreased from 30.12 ± 0.02% to 21.45 ± 0.01%. The authors attributed this phenomenon to creating a dense and compact structure with polymer matrix and EGCG (Goudarzi et al., 2023).

Thickness

The thickness of packaging films is one of the characteristics that affect film’s barrier and mechanical and optical properties. Factors such as the nature and concentration of polymer solution, film’s preparation method, and additive type affect film’s thickness (Tavassoli et al., 2023a). In this section, the effect of adding EGCG on the thickness of packaging films was investigated. For example, Dai et al. (2022a) found that increasing the content of EGCG from 0% to 2% increased the thickness of chitosan film from 0.052 to 0.082, which was due to increase in the proportion of dry matter (Dai et al., 2022b). In another study, Goudarzi et al. (2023) reported that by increasing the content of EGCG from 0 µg to 10 µg, the thickness of electrospun Kappa-carrageenan/polyvinyl alcohol fiber increased from 0.23 ± 0.01 mm to 0.40 ± 0.02 mm (Goudarzi et al., 2023). Mittal et al. (2021) showed that by increasing the conjugation ratio of chitosan–EGCG (CS-EGCG) from 0 g to 0.5 g, the thickness of chitosan film increased from 0.011 to 0.017 because EGCG acts as a bridge and helps to cross link CS chain through eight hydroxyl groups of EGCG. Owing to the EGCG-mediated bulky group attached to CS, the molecules aligned themselves more loosely, thus providing a film structure with less compaction and a random increase in thickness (Mittal et al., 2021). However, some studies reported that addition of EGCG decreased film thickness. For example, Wu et al. (2023) reported that increasing the concentration of EGCG from 0 μmol/L to 80 μmol/L decreased the thickness of egg white protein film from 0.247 ± 0.01 to 0.161 ± 0.02. The authors attributed this decrease in thickness to the tight binding of macromolecular substances in egg white protein to water molecules, glycerol, and EGCG, leading to a compact film structure (Wu et al., 2023). In another study, Sun et al. (2020) showed that by increasing the content of EGCG from 0% to 20%, the thickness of the konjac glucomannan/carboxymethyl chitosan film increased from 87.80 ± 1.57 to 95.27 ± 1.07, which was due to increase of solid contents in film solution with addition of EGCG (Sun et al., 2020).

Swelling index (SI)

Swelling index is used to check the amount of water retention in packaging films. It is related to carboxyl and hydroxyl groups, which are hydrophilic groups that interact with water molecules. This section discussed the effect of adding EGCG on the swelling index of packaging films. For example, Dai et al. (2022a) found that by increasing the content of EGCG from 0% to 2%, the degree of swelling of chitosan film decreased from 229.79 ± 12.09% to 65.34 ± 2.67%. This decrease in the degree of swelling was due to the hydrogen-bond crosslinks between chitosan and EGCG, which reduced free volume in film and created less space for water in film (Dai et al., 2022b). In another study, Wu et al. (2023) reported that by increasing the content of EGCG from 0 μmol/L to 80 μmol/L, the swelling of egg white protein film decreased from 3.99 ± 0.25% to 3.03 ± 0.03%, which was due to the creation of a compressed and dense structure between egg white protein and EGCG (Wu et al., 2023). In another study, Wang et al. (2018) showed that the degree of swelling of pure chitosan film was 234.16 ± 15.04%, but it decreased to 7.34 ± 2.05% by adding 30% EGCG and 10% nano-bacterial cellulose. EGCG and nano-bacterial cellulose reduce water absorption capacity because of the creation of hydrogen bonds between the hydroxyl groups of EGCG/nano-bacterial cellulose and the amino groups of chitosan, which prevent interaction between groups of water molecules and the hydroxyl groups of EGCG/nano-bacterial cellulose (Wang et al., 2018).

Microstructure

Scanning electron microscopy (SEM)

The morphology of packaging films is evaluated through atomic force microscopy (AFM), SEM, and confocal laser scanning microscopy (CLSM). Pure films generally have a smooth, homogeneous, uniform surface without holes. However, combinations with other polymers and adding other compounds may affect the morphology of film (Tavassoli et al., 2023a). In this section, the effect of adding EGCG on the morphology of packaging films was evaluated. For example, Dai et al. (2022a) reported that chitosan film had a smooth surface without bumps and cracks. However, the surface of chitosan film with the addition of 0.5% and 1% EGCG showed small white protrusions, and the EGCG was uniformly dispersed on film’s surface. In addition, by increasing the concentration of EGCG to 1.5% and 2%, the surface of chitosan film turned uneven. This was due to the number and size of white protrusions, which were caused by the creation of hydrogen bonds between chitosan and EGCG, which caused too much accumulation in film (Figure 6A; Dai et al., 2022b).

Figure 6. (A) Surface morphology of chitosan films incorporated with different EGCG contents: (a) CH; (b) CH–0.5% EGCG; (c) CH–1.0% EGCG; (d) CH–1.5% EGCG; (e) CH–2.0% EGCG (Wangli et al., 2022); (B) SEM results for electrospun fibers of KC/PVA, KC/PVA/5-μg EGCG, KC/PVA/10-μg EGCG, KC/PVA/Prunus domestica extract (PDE, 3%), KC/PVA/EGCG 5 µg/mL/PDE 3%, and KC/PVA/EGCG 10-µg/mL/PDE 3% (Goudarzi et al., 2023).

In another study, Goudarzi et al. (2023) reported that the addition of 5 µg and 10 µg of EGCG to the Kappa-carrageenan/polyvinyl alcohol/Prunus domestica anthocyanins electrospinning solution did not cause any damage to the produced fibers, and the produced fibers were homogeneous and without beads (Figure 6B; Goudarzi et al., 2023). In this context, Wu et al. (2023) showed that the structure of clean egg white protein film was uneven and had holes. However, with the addition of 5-μmol/L EGCG, film’s structure became smooth and uniform because of its homogeneous distribution despite appropriate amount of EGCG. By increasing the content of EGCG from 10 μmol/L to 40 μmol/L, an uneven surface was observed in film’s structure because of increase in pre-corrosion caused by incomplete pellets of EGCG. Increasing the content of EGCG to 80 μmol/L, the morphology of film consisted of aligned chains covering only homogeneous and compact particles, a reason for strong interactions between egg white protein molecules and EGCG (Wu et al., 2023).

Attenuated Total Reflectance Fourier Transform Infrared (ATR-FTIR)

ATR-FTIR spectroscopy serves as a valuable tool for elucidating the interactions that occur between EGCG molecules and various functional groups present within different biopolymer matrices. The infrared (IR) spectrum obtained through this method reveals a series of distinct peaks, each corresponding to specific functional groups embedded within the films. Notably, the primary functional groups that engage in molecular interactions within these biopolymer films include -OH and -NH2. These interactions are crucial, as they significantly influence the structural integrity and functional properties of biopolymer films, ultimately affecting their performance in various applications. Understanding these interactions can pave a way for optimizing the utilization of EGCG in biopolymer-based systems, potentially enhancing their stability, bioactivity, and applicability in fields such as food science, pharmaceuticals, and materials engineering (Liu et al., 2023). For instance, Wu et al. (2023) reported that by increasing the content of EGCG from 0 μmol/L to 80 μmol/L, the intensity of peak in amide A increased from 3,310 cm-1 to 3,410 cm-1. Addition of EGCG increased up to 10 μmol/L interactions within the protein network, and interaction with water molecules was observed with a content of >10 μmol/L EGCG. In amide region, the peak position changed from 1,660 cm-1 to 1,680 cm-1 with increase of EGCG content from 0 μmol/L to 80 μmol/L because the amino acid of egg white protein reacted with EGCG and created a covalent bond (Figure 7A). These results showed that EGCG changed the secondary structure of egg white protein (Wu et al., 2023).

Figure 7. (A) Results of FTIR egg white protein films containing different concentrations of EGCG (Yue et al., 2023); (B) FTIR spectrum results of chitosan film containing (a) 0.5%, (b) 1%, (c) 1.5%, and (d) 2% EGCG (Wangli et al., 2022); (C) XRD pattern of gelatin films (GFs) containing different concentrations of EGCG (Nilsuwan et al., 2019b); (D) thermal stability results of electrospun KC/PVA/EGCG/PDE fiber (Goudarzi et al., 2023); (E) UV transmission of chitosan films containing different concentrations of EGCG (Wangli et al., 2022); (F) UV transmission of CN/PE films containing different concentrations of EGCG (Fu et al., 2024).

In addition, an FTIR analysis was conducted to explore connections between EGCG and chitosan functional groups in films. Dai et al. (2022a) showed that by increasing the content of EGCG from 0% to 2%, the peak intensity of chitosan film changed from 3313 cm-1 to 3269 cm-1, which was due to hydrogen bonding between the -OH groups of EGCG and -OH and -NH in chitosan. These results affect the electron distribution in Nsingle bondH and Osingle bondH groups and cause the removal of stretching vibrations from Nsingle bondH and Osingle bondH groups. In addition, the intensity of peaks at 2,877 cm-1 and 2,930 cm-1 decreased by increasing the content of EGCG, which was due to changes in internal bond and hydrogen bond interaction between chitosan and EGCG. In addition, in chitosan films containing EGCG, a specific band at 1,684 cm-1 was observed due to the stretching of the Cdouble O bond in the ester bond of EGCG. The peaks of amides I, II, and III in chitosan film containing EGCG were shifted to lower wave numbers, which was due to interactions between hydroxy and amino groups of EGCG, which decreased amide bond energy (Figure 7B; Dai et al., 2022b).

X-ray diffraction (XRD)

The mechanical, optical, and barrier properties of packaging films are affected by the crystallinity state of biopolymer films. Therefore, XRD analysis is used to understand the physical state of films that contain EGCG (Bakhshizadeh et al., 2023b). A study conducted by Goudarzi et al. (2023) revealed that when EGCG was introduced, there was a decrease in the intensity of diffraction peak of Kappa-carrageenan–polyvinyl alcohol (KC-PVA) electrospun fiber mats. This decrease was attributed to the development of a new hydrogen bond between EGCG and KC-PVA film, leading to a disruption of initial interactions within the matrix and a reduction in its crystalline structure. The direct crystallization index of KC-PVA, KC-PVA-EGCG 5 µg/mL, and KC-PVA-EGCG 10 µg/mL nanofibers was found to be 68.06%, 64.82%, and 61%, respectively (Goudarzi et al., 2023). Huang and colleagues (2023) observed that adding EGCG to low methoxy pectin film caused a shift in peak from 13.47° to 12.46°. Additionally, a new broad and small peak at 29.13° emerged, indicating the presence of EGCG alongside low methoxy pectin. This shift in peaks suggested that EGCG disrupted hydrogen bonds in covalent conjugate, resulting in reduced crystallinity of low methoxy pectin and a more loosely packed stacking structure (Huang et al., 2023). In a study conducted by Nilsuwan et al. (2019b), it was found that adding different concentrations of EGCG to gelatin film resulted in a single broad peak at 2θ ≈ 21 in all samples, indicating an amorphous structure. Gelatin films exhibited a consistent microstructure without visible EGCG particles, suggesting successful integration of high levels of EGCG. This integration was attributed to the amorphous nature of EGCG-infused films. X-ray diffraction data in Figure 7C supported the amorphous nature of EGCG-infused films. Films with high EGCG concentrations displayed increased peak intensity and a shift toward higher angles, compared to the control film, indicating heightened interactions between gelatin and EGCG through hydrogen bonding (Nilsuwan et al., 2019b).

Thermal stability

One of the important characteristics of packaging films is thermal stability, which is important for efficiency and maintaining the integrity of packaging products during storage, transportation, and processing. The thermal stability of packaging films is evaluated by differential scanning calorimetry (DSC), thermogravimetric analysis (TGA), and differential thermal analysis (DTA) (Tavassoli et al., 2023a). EGCG shows great promise for use in food packaging, but its thermal stability poses several challenges when incorporated into film matrices. To address these issues, encapsulation methods significantly enhance both handling properties and overall stability of EGCG.

Typically, these bioactive compounds are enclosed in food-safe materials that served as a protective barrier against harmful environmental factors, allowing for a controlled release of active ingredients. One innovative technique for encapsulating these substances is electrospinning, which has demonstrated efficiency and cost-effectiveness. This method produces fibers with a wide range of structural and functional characteristics tailored to meet specific application needs. The high surface-to-volume ratio associated with electrospun nanofibers greatly improves their antimicrobial properties, making them more effective at inhibiting microbial growth. Additionally, the natural porosity of these nanofibers allows for customized release profiles, enabling a targeted and gradual delivery of EGCG over time. Moreover, electrospinning can be performed at room temperature, which is particularly beneficial as it helps to maintain the bioactivity and effectiveness of EGCG. This technique not only preserves the integrity of the compound but also enhances the overall functionality and appeal of the resulting food packaging films (Singh et al., 2022; Zhuang et al., 2024). However, most studies showed that adding EGCG improved the thermal resistance of food packaging films. In a study conducted by Dai and colleagues (2022a), it was observed that the thermal stability of chitosan films was enhanced by the incorporation of EGCG. This improvement was attributed to the heightened intermolecular interactions resulting from addition of EGCG (Dai et al., 2022b). In another study, Goudarzi et al. (2023) reported that adding EGCG increased the thermal stability of Kappa-carrageenan/polyvinyl alcohol electrospun fiber (Figure 7D). The authors attributed the increased stability to intermolecular interactions between EGCG and Kappa-carrageenan/polyvinyl alcohol fibers (Goudarzi et al., 2023). Hu et al. (2023) demonstrated that incorporating EGCG/HP-β-CD led to enhancements in the thermal stability of electrospun PCL/CSO nanofibers. This improvement was attributed to the formation of robust hydrogen bonds between nanofibers and EGCG/HP-β-CD (Hu et al., 2023). Fu et al. (2024) showed that the addition of EGCG to the bilayer film of CS-NATA and PE/EGCG increased thermal stability. EGCG interactions increased steric barrier between film chains, decreased film chain decomposition motion, and increased thermal stability (Fu et al., 2024).

Optical properties

Optical characteristics, such as light transmission, color, and transparency of packaging films, are essential factors in food product packaging, which is due to customers’ attention to the appearance of food products during purchase and consumption. This section discussed the effect of adding EGCG on the optical properties of Moore packing films. For example, Dai et al. (2022a) reported that increasing the content of EGCG from 0% to 2% decreased the L* value of chitosan film from 37.03 ± 0.11 to 35.74 ± 0.34. The b* value, a* value, ΔE*, and opacity of chitosan film increased from –0.42 ± 0.12 to –0.25 ± 0.10, –0.16 ± 0.08 to 0.26 ± 0.05, 0.41 ± 0.04 to 1.37 ± 0.11, and from 0.87 ± 0.07 to 1.22 ± 0.06, respectively. The authors attributed the changes in optical results to the color of EGCG itself. Adding EGCG makes chitosan film more compact and increases opacity. In addition, the authors observed that increasing the content of EGCG from 0% to 2% decreased UV light transmission (<400 nm) of chitosan film, which reached almost zero at the concentrations of 1.5% and 2% (Figure 7E) (Dai et al., 2022b). In another study, Fu et al. (2024) showed that in a bilayer CS film containing NATA, that is CS-NATA, and PE/EGCG (PE) (1%, 5%, 10%, and 15%), L* value decreased from 87.19 ± 0.14 to 80.67 ± 0.12 with increased EGCG from 0% to 15%. However, by increasing the content of EGCG from 0% to 15%, the value of b* (yellowness index) and a* (greenness index) of CN/PE film increased from 0.57 ± 0.06 to 3.24 ± 0.11 and from 4.52 ± 0.29 to 9.19 ± 0.22, respectively. These results show that as the content of EGCG increased, film’s brightness decreased from colorless to yellow-brown due to the red-yellow color of film solution with addition of EGCG. Also, at a high content of 5% EGCG, the UV light transmission of CN/PE film was less than 1% because the benzene rings present in EGCG are strong absorbers of UV rays (Fu et al., 2024) (Figure 7F).

Antimicrobial properties

Pure packaging films generally do not show antimicrobial properties, so antimicrobial compounds must be added to increase shelf life, safety, and quality of packaged food products. This section discussed the effect of adding EGCG on the antimicrobial properties of packaging films. For example, Dai et al. (2022a) reported that by increasing the content of EGCG from 0.5% to 2%, the diameter of the inhibition zone for Staphylococcus aureus of chitosan film increased from 3.33 mm to 13.50 mm. The diameter of the inhibition zone for Escherichia coli at concentrations of 1%, 1.5%, and 2% was 1.12 mm, 4.00 mm, and 4.33 mm, respectively (Figures 8A–C). The authors attributed the increased antimicrobial activity of chitosan film containing EGCG to the hydroxy groups in the structure of this compound. Hydroxy groups act as proton exchangers and reduce pH gradient in microorganism’s cytoplasmic membrane. This weakens the driving force of protons and decreases adenosine triphosphate, ultimately leading to microorganism’s death. However, hydroxy groups change the metabolism of microorganisms at the active sites of enzymes, and slow and limit their growth. The antimicrobial activity of EGCG against Staphylococcus aureus was higher than that of Escherichia coli because Gram-negative bacteria contain an additional outer membrane composed of proteins, phospholipids, and lipopolysaccharides that reduces the penetration of antimicrobial compounds (Dai et al., 2022b).

In another study, Goudarzi et al. (2023) reported that by increasing the content of EGCG from 0 µg to 10 µg, the inhibition zone diameter for Staphylococcus aureus electrospun Kappa-carrageenan/polyvinyl alcohol fiber increased from 0 mm to 6.55 ± 0.03 mm. In addition, the inhibition zone diameter for Listeria monocytogenes increased from 0 mm to 7.24 ± 0.01 mm. The authors attributed antimicrobial activity to EGCG because it can reduce negative charge, forming a hole and rupturing microorganism’s cell, ultimately leading to cell death (Goudarzi et al., 2023). In this context, Hu et al. (2023) showed that adding 0%, 5%, 10%, 15 and 20% EGCG/2-hydroxypropyl-β-cyclodextrin (HP-β-CD) to PCL/CSO nanofiber film, the inhibition zones for Alternaria alternata were 0 cm, 1.07 cm, 1.11 cm, 1.16 cm, and 1.3 cm respectively. In addition, the inhibition zones for Botrytis cinerea were 0 cm, 1.02 cm, 1.09 cm, 1.13 cm, and 1.19 cm, respectively (Figures 8D,E). The antimicrobial results of the fibers were due to the presence of EGCG, which changed bacterial membrane charge and disrupted redox balance (Hu et al., 2023). Fu et al. (2024) reported that the increased content of EGCG in CS-NATA and PE/EGCG two-layer film increased the diameter of the film’s inhibition zone against Staphylococcus aureus and Escherichia coli (Figure 8F). Because EGCG has –OH groups in its structure, it disrupts the peptide or protein structure of bacterial cell wall and prevents the synthesis of membranes and cell walls. The antimicrobial properties of films containing EGCG against Staphylococcus aureus were higher than those of Escherichia coli, which was because EGCG adhered to the peptidoglycan layer of the cell wall of Gram-positive bacteria and caused damage. However, EGCG damaged the cell wall of Gram-negative bacteria through the production of H2O2 (Fu et al., 2024).

Figure 8. (A) Inhibition zone diameters of chitosan film containing different concentrations of EGCG against Staphylococcus aureus and Escherichia coli; (B) antimicrobial activity of chitosan film containing: (a) 0.5%, (b) 1%, (c) 1.5%, and (d) 2% EGCG against Staphylococcus aureus; (C) antimicrobial activity of chitosan film containing: (a) 0.5%, (b) 1%, (c) 1.5%, and (d) 2% EGCG against Escherichia coli (Wangli et al., 2022); (D) chart of antimicrobial activity against (a) Alternaria alternate and (b) Botrytis cinerea of polycaprolactone (PCL)/chito-oligosaccharide (CSO) fibers containing different concentrations of EGCG/2-hydroxypropyl-β-cyclodextrin (HP-β-CD); (E) images of the inhibition zones of Alternaria alternata and Botrytis cinerea (Hu et al., 2023); (F) antimicrobial activity of CN/PE film against Staphylococcus aureus and Escherichia coli (Fu et al., 2024).

Antioxidant properties

Pure packaging films generally do not show antioxidant properties, so it is necessary to add antioxidant compounds to prevent fat/protein oxidation of packaged food products. This section discussed the effect of adding EGCG on the antioxidant properties of packaging films. For example, Dai et al. (2022a) reported that by increasing the content of EGCG from 0% to 2%, the antioxidant activity of chitosan film increased from 19.73% to 93% (Figure 9). The high antioxidant activity of the chitosan film containing EGCG was due to hydroxy groups present in the structure of EGCG, which donated a hydrogen atom as a radical. In addition, the position and number of hydroxy groups also affected antioxidant properties. The EGCG structure has eight hydroxy groups located in 3’, 4’, and 5’ carbon atoms, and the gallate part is located at C-3, which can donate electrons (Dai et al., 2022b). In another study, Goudarzi et al. (2023) found that increasing EGCG content from 0 µg/mL to 10 µg/mL increased the antioxidant activity of Kappa-carrageenan/polyvinyl alcohol electrospun fiber from 0% to 18.34 ± 0.04%. In this context, Fu et al. (2024) showed that increasing the content of EGCG from 0% to 15% in the bilayer film of CS-NATA and PE/EGCG increased antioxidant activity from 7.21% to 87.29%. The structure of EGCG has abundance of –OH that can donate electrons to react with free radicals (Fu et al., 2024).

Figure 9. Antioxidant activity of chitosan film containing different concentrations of EGCG (Wangli et al., 2022).

Application of epigallocatechin gallate-based composite films in food samples

Epigallocatechin gallate, a compound with impressive biological effectiveness, has garnered attention in the food industry for its potential as an active ingredient. The use of compounds such as EGCG in food packaging has been gaining attention due to their ability to improve food preservation by enhancing packaging material’s physical, mechanical, and microstructure characteristics. EGCG is particularly favored for its safety, cost-effectiveness, and natural origin, making it a precious material with significant antioxidant and antimicrobial properties. Its capacity to combat effectively a wide range of bacteria and fungi is crucial for controlling microbial growth in food, while its antioxidant properties play a vital role in preventing lipid oxidation in stored food products. Extensive research has delved into the impact of EGCG across various food categories, leading to the recognition of its exceptional qualities. Consequently, the performance of EGCG in food packaging is scrutinized thoroughly (Table 4).

Table 4. Application of EGCG-loaded packaging films for the preservation of food products.

Base Additives/free or EPS Function Preparation Food model Remarks/shelf life extending or color changing from … References
(A) Electrospinning
KC-PVA EGCG, PDE/free pH-responsive Antioxidant Applied voltage; 21kV, NCD; 17 cm, FR; 0.7 mL/h Mincedbeef meat Color changing from white →brown Goudarzi et al., 2023
PCL/CS EGCG@ HP-βCD Antimicrobial NCD; 12 cm, FR; 0.5 mL/h Cherry tomato Good antibacterial activity in vitroand invivoand improve storage condition over 5 days Hu et al., 2023
(B) Casting
CS/pectin NATA/EGCG/EPS Antimicrobial, antioxidant The substance was agitated at a temperature of 25°C for a period of 12 h. Following this, it was subjected to drying in an incubator at 45°C for 14 h. Finally, the substance was placed in a desiccator with a relative humidity of 50% and kept at a temperature of 25°C for 48 h. Strawberry Maintaining strawberry freshness up to 8 days Fu et al., 2024
SA/CMC EGCG/Free Antioxidant After stirring the mixture for 30 min at a temperature of 50°C, the solution was degassed and then dried at 50°C for 12 h. Finally, it was stored in a desiccator with a relative humidity of 75% at a temperature of 25°C for 48 h. NS NS Ruan et al., 2019b
EWP EGCG/Free Antioxidant The sample was heated and stirred in a water bath at 60°C for 30 min with continuous stirring. It was then subjected to ultrasonication for 5 min, followed by drying for 3 h at 60°C in a drying oven. Pork Reducing TVB-N and TBARS values of chilled pork during 7 days of storage Wu et al., 2023
FG EGCG/Free Antioxidant A solution of FG (3.5% weight/volume) was heated at 70°C for 30 min with continuous stirring. Afterward, it was spread onto a plate and left for air-dry for 24 h at a temperature of 25°C and a relative humidity of 60%. Chicken skin oil Linoleic acid and linolenic acid were more retained in oil wrapped with EGCG-rich FG films Nilsuwan et al., 2019a
Gel/TCNFs CAR/EGCG/free Antimicrobial, antioxidant Gelatin was gently stirred at a temperature of 45°C until it completely dissolved. After that, it was left to dry at a temperature of 24°C with a relative humidity of 50% in a controlled environment. Fish fillets Showed excellent inhibition of fat oxidation and microbial growth, maintaining fish freshness during storage Song et al., 2023
SA EGCG/Fe and TEON/EPS Antimicrobial, antioxidant The solution containing 2% weight (wt) of SA was stirred for 40 min at 600 rpm. Subsequently, it was placed in a vacuum for 30 min to eliminate any bubbles. The solution was then poured onto a leveled dish and dehydrated at 35°C in a dark vacuum oven for 48 h. Pork Reduced the increase rate of pH value and total bacterial count of pork, maintaining pork freshness during storage Mao et al., 2023
CS EGCG/free Antioxidant 3 mmol of CS was dissolved in a 50-mL solution of AA (1%, v/v). Then, varying amounts of EGCG (1.5, 3.0, and 6.0 mmol) were added, and the reaction was allowed to take place under a nitrogen atmosphere at 20°C for 24 h. Oil Inhibited oil oxidation via blocking water vapor and oxygen gas Yong et al., 2024
(C) Electrospinning/casting
PLA nanofibers@ CS/FG films EGCG Antioxidant Preparing a structure consisting of a layer with PLA and another with a CS-FG blend, including 2% (w/w) EGCG Oil emulsion Retained more linoleic acid (C18:2 n-6) and linolenic acid (C18:3 n-9) in emulsion Ponnusamy et al., 2024
(D) Coating
CS EGCG/free Antioxidant 2% CD in 1% acetic acid stirred for 2 h, then added 1% glycerol as plasticizer and stirred for 30 min Bighead carp Slowing deterioration of chemical/microbial indicators (TVB-N, TBARS, and TVC) and the growth of bacteria Dai et al., 2022a
LMP EGCG/free Antimicrobial, antioxidant Dissolving 0.5 g of LMP in 50-mL water (30 min) and added 0.1-g ascorbic acid and EGCG to solution, stirred for 10 min Grapes LMP-EGCG coating enhances grapes’ shelf life and quality by improving surface wettability through covalent grafting Huang et al., 2023
Zein Lecithin-EGCG Antimicrobial, antioxidant 0.5 g of Zein was dissolved in 100-mL solution containing 80% ethanol and 20% water. The solution was then stirred at 400 rpm for 120 min. Loquat Decreases the decay rate and weight loss of samples by 1.4% and 13.3%, respectively, during the storage for 22 days at 25°C Dong et al., 2023
Pectin/starch ES@EGCG/EPS Antimicrobial, antioxidant Heated 1.5-g pectin, 1.5-g starch, and 1-g glycerol in 50-mL water (90°C) for 15 min with constant stirring to fully swell and gelatinize the components Strawberry The coating lowered strawberry weight loss from 60% to about 30% in 7 days, enhancing freshness and preserving effectively during storage Xu et al., 2024a
GT/SA LZM/EGCG/free Antimicrobial The solution was prepared by dissolving 0.5% w/v of GT, 1.5% w/v of SA, and 0.6% w/v of glycerol in distilled water (DW) at a temperature of 45°C. The mixture was then stirred for 4 h Yellow croaker Extended the shelf life of yellow croaker in a cold storage for at least 7 days Pei et al., 2022
GT/SA EGCG/free Antimicrobial The mixture of GT and SA was continuously stirred at 50°C for 4 h to form GT-SA solution, and subsequently combined with different volumes of EGCG Yellow croaker Extended the shelf life by 7–14 days during cold storage at 3˚C Xu et al., 2024b
(E) Casting/coating
SC@CMC/CS EGCG/Free Antioxidant Preparing a structure consisting of a layer with SC and another with CS-CMC blended films, including 1.5 wt% EGCG Banana and Strawberry After 1 or 2 weeks, strawberries and bananas coated with blended coatings maintained afresh and in appealing appearance Xu et al., 2023

NS: not stated; EPS: encapsulated; KC: Kappa-carrageenan; PVA: polyvinyl alcohol; PDE: prunus domestica extract; EGCG: epigallocatechin gallate; FR: feed rate; GT: gum tragacanth; NCD: needle to collector distance; NATA: natamycin; CS: chitosan; HP-βCD: hydroxypropyl-β-cyclodextrin; PCL: polycaprolactone; SC: sodium caseinate; SA: sodium alginate; CMC: carboxymethyl cellulose; LMP: low methoxy pectin; NCs: nanocapsules suspension; EWP: egg white protein; FG: fish gelatin; LZM: lysozyme; ES: eggshell; TEON: thyme essential oil nanoemulsion; AA: acetic acid; PLA: polylactic acid; DW: deionized water; TCNFs: TEMPO-oxidized cellulose nanofibers; CAR: carvacrol; TVB-N: total volatile basic nitrogen.

Active-based packaging

Epigallocatechin gallate is demonstrated to possess powerful antioxidant properties that help to prevent the oxidation of fats in food products. Its ability to scavenge free radicals and reduce peroxidase activity is a key to its antioxidant functioning (Fu et al., 2024; Yong et al., 2024). Furthermore, EGCG’s interaction with muscle proteins can enhance its stability and antibacterial properties. When used in coatings for food packaging, EGCG gradually releases and protects the food without being directly added to it (Cao et al., 2020). Recent studies have revealed that edible coatings carrying polyphenols, such as EGCG, have remarkable antibacterial and antioxidant properties, effectively extending the shelf life of food (Ponnusamy et al., 2024). Researchers have also found that incorporating tea polyphenols into starch films can enhance their antioxidant and antimicrobial effects (Feng et al., 2018). Additionally, edible films infused with EGCG, made from sodium alginate (SA) and carboxymethyl cellulose (CMC), have been shown to effectively delay spoilage and significantly prolong the shelf life of fresh pork (Ruan et al., 2019a).

Several studies have evaluated protein-based edible films enriched with EGCG. For instance, Wu et al. (2023) designed films based on egg white protein containing EGCG (EGCG group) for pork packaging. The authors reported that the pH value of pork of the control group packed in a polyethylene plastic bag at 4°C exceeded 6.41 ± 0.27 after 5 days of storage and was above the Yen limit of 6.4. However, the pH value of pork packed with egg white protein film containing EGCG was 6.05 ± 0.02 after 5 days, lower than the permissible limit (Figure 10A). In addition, the amount of total volatile basic nitrogen (TVB-N) of pork in the control and EGCG groups after 7 days of storage was 17.03 ± 1.46 mg/100 g and 14.00± 3.50 mg/100 g, respectively. These results show that the film containing EGCG delayed the oxidation of pork because of its antioxidant activity (Figure 10B). Notably, the maximum amount of TVB-N in pork is <15 mg/100 g, and the EGCG group contained less than the stated limit (Wu et al., 2023).

Figure 10. (A) Results of PH in pork packaged with different treatments and stored at 4°C; (B) results of TVB-N in pork packaged with different treatments and stored at 4°C (Yue et al., 2023); (C) chicken skin oil stored in various types of film pouches; (D) (a) peroxide value, (b) thiobarbituric acid reactive substances, and (c) free fatty acid content of chicken skin oil stored in various film pouches (Nilsuwan et al., 2019a). LDPE: low-density polyethylene; GF: monolayer gelatin film; E-GF: monolayer gelatin film with EGCG; GF/EF: bilayer gelatin film; E-GF/EF: bilayer gelatin film with EGCG.

In a study conducted by Nilsuwan and colleagues (2019a), researchers investigated the impact of different packaging materials on the oxidation of chicken skin oil. They compared the use of low-density polyethylene film (LDPE), monolayer gelatin film, monolayer gelatin film incorporated with EGCG (GF/EF), bilayer gelatin film, and bilayer gelatin film incorporated with EGCG (E-GF/EF). The study found that the chicken skin oil packaged with E-GF/EF and E-GF treatments showed the lowest levels of peroxide and thiobarbituric acid reactive substances (TBARS) after 30 days of storage, indicating the effectiveness of EGCG in reducing oxidation. These two treatments contain EGCG and have antioxidant properties, so they delay oil oxidation. Chicken skin oil packaged with E-GF and E-GF/EF treatments had slightly higher free fatty acids than other treatments without EGCG. Because EGCG is hydrophilic and makes the packaging film hydrophilic, chicken skin oil absorbs this water and leads to more hydrolysis, and the hydrolysis of glycerol fatty acid esters produces free fatty acid (Nilsuwan et al., 2019a).

Researchers have found ways to enhance the stability of EGCG by combining it with biomacromolecules, such as chitosan (Dai et al., 2022b), starch (Yong et al., 2022), pectin (Huang et al., 2023), sodium alginate (Ruan et al., 2019b), etc. The resulting polysaccharide–EGCG conjugates maintain EGCG’s superb antioxidant activity while demonstrating improved stability because of their macromolecular nature. Some researchers have employed polysaccharide–EGCG conjugates in packaging materials to create antioxidant packaging films. In a study conducted by Fu and colleagues (2024), the authors developed innovative food packaging intended to extend the shelf life of strawberries. Their approach involved using a combination of EGCG-containing PE matrix and CS-NATA matrix. The results of their research revealed that the incorporation of NATA and EGCG had a significant impact on the properties of multi-active packaging. Notably, the CS-NATA/PE 15% multi-active packaging was shown to increase the shelf life of strawberries at room temperature by 8 days, compared to the control samples (Fu et al., 2024).

Epigallocatechin gallate has demonstrated remarkable potential in blocking UV light in packaging systems. Furthermore, EGCG serves as a safe cross-linking agent. Past research has suggested the concept of spectral superposition to protect photosensitive compounds by integrating EGCG into food packaging that absorbs a comparable range of wavelengths, thus improving their resistance to light-induced degradation. In a study conducted by Nilsuwan and colleagues (2020), they prepared active bilayers using a combination of polylactic acid (PLA) and fish gelatin, along with EGCG, through a process called thermo-compression molding. The resulting bilayer films, which contained 12 wt% EGCG, exhibited the ability to block UV-visible light as well as had favorable mechanical properties and resistance to water. The PLA/gelatin bilayer films containing 12 wt% EGCG showcased desirable film properties and improved antioxidant activity, making them suitable for use in functional food packaging. Notably, these films are particularly well-suited for packaging fish fillets with high-fat content (Nilsuwan et al., 2020).

Researchers have successfully developed edible coatings containing EGCG, a compound with strong antioxidant properties. These coatings show great potential in preserving different foods and extending their shelf life (Dai et al., 2022a; Dong et al., 2023; Huang et al., 2023). In a study conducted by Yang et al. (2016), a film made from distiller-dried grain proteins and green tea extracts was used to wrap pork meat, effectively extending its freshness because of film’s significant antioxidant activity. However, the use of distiller-dried grain proteins posed challenges and limited its industrial application. Therefore, the choice of raw materials for edible coatings is vital, aiming to find renewable, abundant, and cost-effective options for widespread use in food preservation. Ruan and co-workers (2019a) developed a special type of edible coating by combining EGCG with sodium alginate and carboxymethyl cellulose. The authors used this coating on fresh pork stored at 4°C for 7 days to observe whether it would help preserve meat’s quality. The results showed that the pork coated with this special edible coating experienced a significant reduction in microbial growth, lipid oxidation, and TVB-N (a measure of spoilage). In addition, the coating helped maintain color of the pork during storage (Ruan et al., 2019a).

Huang and colleagues (2023) created a special coating with low methoxy pectin and EGCG to prolong the shelf life of red grapes. As seen in Figure 11A, after 10 days of storage, the untreated grapes were spoiled, while the red grapes coated with low methoxy pectin solution and low methoxy pectin containing EGCG (LMP-EGCG) remained fresh. The LMP-EGCG-coated red grapes appeared plump and fresher compared to those treated with LMP alone. The covalent bonding of EGCG with LMP allowed it to adhere to grape’s surface through pyrogallol, preventing water loss and spoilage. Furthermore, the grapes coated with LMP-EGCG experienced less weight loss than other treatments because the LMP-EGCG coating, with its hydroxyl group, could form tighter bonds, resulting in a denser coating and reduced grape weight loss (Figure 11B). By the end of the 10th day, decrease in phenolic compounds in untreated red grapes, LMP-treated grapes, and LMP-EGCG-coated grapes was 49.06%, 41.61%, and 25.29%, respectively, showing that the LMP-EGCG coating reduced phenolic loss in red grapes. The polyphenol oxidase activity in red grapes coated with LMP-EGCG was lower than in other treatments by the end of the 10th day, as the coating reduced oxygen penetration, resulting in decreased polyphenol oxidase activity. The malondialdehyde content after 10 days in untreated grapes, LMP-coated grapes, and LMP-EGCG-coated grapes was 2.92, 2.92, and 2.12 times the initial value, respectively, indicating that EGCG delayed lipid oxidation because of its antioxidant properties (Figure 11C). Figures 11C(e) and 8C(f) revealed that the total number of bacterial and fungal colonies on grapes coated with LMP-EGCG was 10.01 × 104 CFU/g and 4 × 104 CFU/g, respectively, the lowest among all treatments. The grafting of EGCG onto LMP altered its adhesion and hydrophilicity, enabling the LMP-EGCG coating to better adhere to the cell walls of microorganisms and enhance antimicrobial properties (Huang et al., 2023).

Figure 11. (A) Each batch of grapes before and after storage; (B) (a) rate of weight loss, (b) overall phenolic levels, (c) levels of polyphenol oxidase activity, (d) levels of malondialdehyde, and (e) total count of bacterial and (f) total fungal colonies present on grapes in each batch during storage, with significance levels indicated as *P < 0.05, **P < 0.01 (Huang et al., 2023); (C) (a) Changes in coating solutions on the surface of strawberries from 0 to 600 s, and how the appearance of strawberries evolves over time, (b) firmness of strawberries’ flesh after 7 days of storage, (c) amount of weight lost by strawberries after 7 days of storage (Huang et al., 2023).

Biodegradable, readily available natural polymers, such as pectin and starch, are considered for the development of fruit coatings because of their safety, abundance, and degradability. Pectin and starch are the primary components used in creating edible coatings for fruits because of their favorable biocompatibility, film-forming characteristics, and bioavailability. In a study conducted by Lima and colleagues (2022), cassava starch was utilized as a coating material to regulate gas content in fruits such as papaya and bananas. However, low solubility of starch in water resulted in poor washability of coating, limiting its use in preserving fruits that are not peeled. Additionally, the coating exhibited inadequate water vapor barrier and mechanical properties, which are not ideal for preserving freshness of fruits. Furthermore, polysaccharide-based coatings are prone to microbial contamination, reducing their efficacy in preserving perishable fruits (Lima et al., 2022). To address these shortcomings, researchers developed methods, such as chemical modification and addition of additives. For example, some scientists improved the adhesion and antibacterial properties of pectin coatings on fruit surfaces by covalently attaching EGCG to pectin molecules. Others enhanced barrier and antioxidant characteristics of polysaccharide coatings by incorporating functionalized cellulose nanocrystals. However, complex procedures and high costs restricted the practical application of these strategies. In another study, Xu et al. (2024a) utilized a pectin/sodium carboxymethyl starch-based coating with eggshell powder loaded with epigallocatechin (ES@EGCG-3) to examine its impact on the freshness, weight loss, and firmness of strawberries. As depicted in Figure 11C(a), it was observed that mold and rotting of strawberries in the control group took place after 5 days, while strawberries coated with PC-ES@EGCG-3 exhibited a superior appearance and showed no signs of rotting, compared to other treatments. These findings suggest that the PC-ES@EGCG-3 coating, with its antimicrobial properties, extends the shelf life of strawberries. Furthermore, this coating seals small wounds of strawberries, prevents water transfer, and reduces strawberry rotting. Additionally, strawberries coated with PC-ES@EGCG-3 displayed 30% weight loss at the end of storage, while the control and PC coating experienced more than 60% weight loss. Moreover, strawberries treated with PC-ES@EGCG-3 demonstrated maximum flesh firmness, indicating that EGCG-containing coating has a more pronounced effect on freshness, compared to the control and PC treatments (Xu et al., 2024a).

Chitosan-based coatings combined with essential oils and propolis have antibacterial and antioxidant properties. However, essential oils have drawbacks, such as low water solubility, strong odor, and high volatility. Propolis has limitations due to its production, cost, taste, and potential contaminants. In contrast, EGCG is a favorable natural ingredient with water solubility, stability, safety, no added odor, and effectiveness at room temperature. It exhibits antioxidant and antibacterial properties, and when used in edible coatings, it serves as an active packaging, eliminating the need for its direct addition to food. The key to expanding the use of edible coatings lies in selecting a functional, readily available, biodegradable, and cost-effective coating material. Dai and co-workers (2022a) investigated the potential of using chitosan coatings infused with EGCG to extend the shelf life of refrigerated bighead carp fillets. The authors discovered that the presence of EGCG in chitosan coatings significantly boosted the antimicrobial properties of pure chitosan coating. Furthermore, fillets coated with chitosan–EGCG combination not only exhibited enhanced color, texture, and sensory characteristics but also prolonged the shelf life of fillets by at least 6 days (Dai et al., 2022a).

Loquat, also known as Eriobotrya japonica, is a fruit with both nutritional and economic significance. However, it tends to deteriorate rapidly at room temperature, impacting its commercial value. Dong and colleagues (2023) devised a new method using zein, lecithin, and EGCG to improve the quality of loquats. When EGCG was added, it changed the zeta potential values of nanoparticles, increasing them from -11.80 mV to -23.34 mV. Through FTIR spectroscopy, it was discovered that electrostatic interactions and hydrogen bonding were formed between lecithin, zein, and EGCG. Coating loquats with Z-L/E nanoparticles reduced weight loss by 13.3% and decreased decay rate by 1.4% during storage at 25°C for 22 days (Dong et al., 2023).

Intelligent-based packaging

Intelligent packaging materials have the capability to convey details about the characteristics of packaged food, such as its freshness, ripeness, or presence of contaminants. Intelligent packaging is a system that furnishes the user with dependable and accurate data regarding the state of the food, surroundings, and/or conditions of packaging (Bakhshizadeh et al., 2023a; Khezerlou et al., 2023a). Intelligent packaging serves as an expansion of conventional food packaging’s communication function and imparts information to the consumer by detecting, sensing, and recording changes in the product or its surroundings (Khezerlou et al., 2023b). Goudarzi et al. (2023) investigated the effect of Kappa-carrageenan (KC)/polyvinyl alcohol (PVA) electrospun fiber containing EGCG and PDE to increase the shelf life of minced red meat. According to regulations, limits for total viable count (TVC), lactic acid bacteria count (LAB), psychrotrophic bacterial count (PTC), and the number of Enterobacteriaceae in raw ground beef are 6 log CFU/g, 6 log CFU/g, 6 log CFU/g, and 5 log CFU/g, respectively. Microbial changes of beef packaged with the control group (Unpacked) and KC-PVA fibers were above the limit after 5 and 7 days of storage, respectively. Figure 12A shows that microbial changes in minced red meat samples increased with increasing storage. However, microbial changes in minced red meat packaged with KC-PVA treatments containing PDE and EGCG were slower, compared to the control treatment. Microbial changes in KC-PVA-EGCG, 5 µg/mL-PDE 3%, and KC-PVA-EGCG, 10 µg/mL-PDE 3% treatments were minimum, compared to other treatments because of the antimicrobial activity of EGCG and PDE. In addition, as shown in Figure 12B, peroxide, pH, and TVB-N in KC-PVA-EGCG 10 µg/mL-PDE 3% and KC-PVA-EGCG 5 µg/mL-PDE 3% treatments did not exceed the limit until the last day of storage. These results indicated the antioxidant activity of EGCG and PDE, which delayed the fat oxidation of beef/red meat (Goudarzi et al., 2023).

Figure 12. (A) (a) Results of total viable count (TVC), (b) psychrotrophic bacterial count (PTC), (c) lactic acid bacteria count (LAB), and (d) enterobacteriaceae of ground beef packaged with different treatments electrospun fibers made during refrigeration. The dotted line shows the maximum acceptable limit. (B) (a) Chemical changes, including TVB-N, (b) peroxide value (PV), and (c) pH of packaged minced meat with different treatments and refrigerated storage (Goudarzi et al., 2023). (C) (a) Images of cherry tomatoes on 5th day, (b) diameters of cherry tomatoes on 5th day, (c) changes in diameters of cherry tomatoes over 5 days (Hu et al., 2023).

Owing to thin skin and high humidity, cherry tomatoes are prone to microbial spoilage. Hu et al. (2023) investigated the antibacterial properties of polycaprolactone/keto-oligosaccharide nanofibers containing EGCG/2-hydroxypropyl-β-cyclodextrin (HP-β-CD) in cherry tomatoes. Their study revealed that cherry tomatoes wrapped with PCL/CSO electrospun fiber had a lesion diameter of 14.32 mm (Figure 12C(a)). However, when cherry tomatoes were packed with PCL/CSO containing EGCG/HP-β-CD, the lesion diameter decreased because of the increased content of EGCG/HP-β-CD (Figure 12C(b)). Furthermore, the lesion diameter of cherry tomatoes packed with different treatments and increasing EGCG/HP-β-CD concentration showed some increase over time, but the growth rate was slower with higher concentration of EGCG/HP-β-CD (Figure 12C(c)). These findings suggest that EGCG’s antimicrobial activity modifies the bacterial membrane charge and disturbs redox balance, thereby exerting its antibacterial effect (Hu et al., 2023).

Challenges, limitations, and safety aspects

The increasing incorporation of polyphenols into food packaging films has led to a pressing need to assess thoroughly both their efficacy and potential drawbacks. Polyphenols, particularly EGCG, are lauded for their natural origins and environmental sourcing, which generally qualify them as safe for use in food-related applications. However, it is imperative to evaluate their performance in extending the shelf life of food products and preventing spoilage. In this context, one of the critical aspects to examine is the concentration of EGCG used in these packaging films. Maintaining this concentration within established safety standards is essential to ensure that the films not only serve their intended purpose but also do not leach harmful polyphenols into food items. Furthermore, the potential interactions between EGCG and food substances, as well as the overall physical properties of packaging, must be carefully studied to mitigate any negative impacts on food quality or safety. Overall, a comprehensive approach to the use of polyphenols in food packaging is essential to balance their beneficial effects with any associated challenges (Ntamo et al., 2024; Woo Yong et al., 2024; Xu et al., 2024b).

Epigallocatechin gallate has a molecular weight of 458.372 g/mol, highlighting its significant structural complexity. Catechins like EGCG are known for their antioxidant properties and potential health benefits, including their role in cardiovascular health, weight management, and cancer prevention. They play a crucial role in the biochemical processes of plants and are of considerable interest in nutritional and medicinal research because of their various biological activities. In its dry form, green tea contains approximately 10% catechins, which equates to about 8–15 g of catechins per 100 g of dry leaves (Krupkova et al., 2016). During brewing of tea, it is common to use around 4–5 g of dry tea leaves, which allows consumers to ingest approximately 400–500 mg of catechins per cup of brewed tea (typically around 300–400 mL) (Lun Su et al., 2003). However, it is notable that only about 0.1–1.1% of catechins consumed orally are actually absorbed into systemic circulation, reflecting a potential limitation in their bioavailability (Dube et al., 2011).

The concentration of EGCG deemed therapeutically effective and nontoxic in vitro varies, being within a range of 1–100 micromolar, which depends on the specific type of cells being studied. There remains an ongoing debate regarding whether EGCG induces oxidative stress in vivo, particularly because the presence of plasma proteins and antioxidants in the body enhances the stability of EGCG, complicating the interpretation of its effects. Numerous animal studies have robustly documented the anti-inflammatory, antioxidant, and numerous health-protective properties of EGCG, underscoring its potential benefits for human health (Zinellu et al., 2015). Extensive research has demonstrated that EGCG possesses anti-genotoxic properties in in vitro conditions (Isbrucker et al., 2006). In addition, investigations employing animal models have shown that EGCG may inhibit the development of prostatic cancer, as evidenced in the transgenic adenocarcinoma of the mouse prostate (TRAMP) model (Adhami et al., 2003). Moreover, EGCG has shown promise in reducing the incidence of chemically induced carcinogenesis in both intestines and lungs (Mimoto et al., 2000). However, the literature presents some contradictions, as certain studies indicate that at elevated concentrations, EGCG might display pro-oxidant behavior, which could lead to genotoxic effects (Bertram et al., 2003; Sugisawa and Umegaki, 2002). This pro-oxidant potential is not merely a hallmark of EGCG, but similar characteristics are observed in other compounds traditionally considered antioxidants, such as vitamin C.

In specific aqueous environments, high concentrations of EGCG have shown to facilitate the production of H2O2, an ROS that could contribute to genotoxic events (Long et al., 2000). Remarkably, the negative effects associated with EGCG at high concentrations are alleviated through the introduction of catalase into culture medium, which further emphasizes the significance of H2O2 production in understanding the dual nature of EGCG’s biological activity. Thus, while EGCG is widely recognized for its beneficial health effects, it is essential to consider its concentration and context of use to fully understand its impact on human health (Furukawa et al., 2003). However, the limited concentration of EGCG within food packaging films may significantly impact its effectiveness as both antioxidant and antibacterial agents. This underscores the critical importance of utilizing appropriate quantities to maximize its benefits. Furthermore, EGCG is particularly vulnerable to various environmental factors, such as light and heat, which can lead to its degradation. This degradation process can result in a marked decrease in EGCG’s biological efficacy, limiting its functionality in preserving food quality (Yin and Woo, 2024; Yong et al., 2024).

In order to enhance the understanding and bioavailability of EGCG for applications in food packaging films, it is crucial to explore methods of encapsulation. Encapsulation serves as a protective strategy to shield EGCG from environmental degradation. Several advanced techniques are utilized for producing encapsulated EGCG, including spray drying, freeze drying, and complex coacervation. These methods involve the creation of a protective coating or capsule around EGCG, effectively acting as a barrier against detrimental environmental influences, such as light, heat, and oxygen. The encapsulation of EGCG not only improves its stability but also prevents degradation, which helps to maintain its functional properties over time. This protective layer facilitates controlled release, allowing EGCG to be released gradually and sustainably when integrated into various food products. Studies have demonstrated that incorporating EGCG into food packaging films enhances both physical and functional attributes of materials, generating considerable interest in their potential applications in the food packaging industry (Fuyun et al., 2024; Goudarzi et al., 2023).

Multiple research studies have highlighted the ability of EGCG-infused packaging materials to contribute to reducing environmental impact and present viable alternatives to traditional plastic films. These studies also showcase the effectiveness of such materials in preventing spoilage, discoloration, and degradation in food items, including meat, fish, fresh produce, and baked goods, such as bread. Despite promising results from initial investigations, there is a noticeable lack of information related to feasibility studies and commercial availability of products utilizing these innovative materials. This gap emphasizes the need for additional research to validate the effectiveness of EGCG-functionalized food packaging films as active solutions for modern food preservation challenges. Early trial results indicate the protective properties of these films across a range of food products, supporting their potential application in the food packaging sector. Moreover, there is a scarcity of data focused on the sensory evaluation of EGCG used in food packaging films. This aspect is particularly important for consideration, as negative sensory attributes could adversely affect consumer acceptance and marketability of these materials. While encapsulation and assessment of functional properties may yield positive outcomes regarding sensory qualities, it is essential to note that these methodologies are primarily in the research phase and are not yet fully optimized for commercial deployment (Khezerlou et al., 2023b; Peng et al., 2023; Tavassoli et al., 2023a). Successfully implementing of these innovative approaches will likely require collaboration across multiple research disciplines as well as substantial financial investment to refine manufacturing processes for wider technology adoption. Additionally, ensuring consumer safety is paramount, necessitating appropriate regulations to manage the migration of materials during food processing and within the human body. Addressing consumer perceptions and acceptance of this emerging technology is critical in establishing a successful market presence for EGCG-enhanced food packaging solutions.

Performance evaluation

Incorporating EGCG into food packaging systems has become one of the most effective methods for maintaining food quality and ensuring safety. This natural substance shows great potential as an alternative to synthetic chemical preservatives commonly found in food packaging. Recent extensive studies have shown that films containing EGCG not only improve the preservation of food products but also allow for noninvasive techniques to evaluate their quality and freshness. These bioactive films function by actively interacting with food items, assisting in the retention of sensory characteristics, such as taste and aroma, while also prolonging shelf life. The research findings indicated that the biological effectiveness of these EGCG-infused films, along with their physical properties, such as tensile strength, flexibility, and barrier qualities, are significantly influenced by two key factors: the concentration of EGCG utilized and the type of base materials employed in packaging. For example, greater concentrations of EGCG might boost antimicrobial effectiveness, but they could also affect film’s mechanical characteristics. Additionally, the compatibility of EGCG with various polymers may impact the release of active compounds and their efficiency in protecting food. Consequently, when creating intelligent food packaging systems that incorporate EGCG, it is essential to take into account both concentration of EGCG and specific traits of packaging materials. This customized approach facilitates the creation of tailored solutions that enhance food preservation while reducing dependence on harmful chemical substances (Mao et al., 2023; Xu et al., 2023; Zhuang et al., 2024).

Sustainable development in the packaging sector necessitates a holistic strategy that considers three essential factors: economic feasibility, public health, and environmental sustainability. Central to this strategy is smart packaging design that prioritizes the needs and preferences of consumers. Consumer-focused smart packaging is set to fulfill the growing demand for sophisticated packaging solutions by integrating user-friendly interfaces and enhancing the overall customer experience. This integration not only streamlines the purchasing process but also maximizes the functionality and usage of products. Consequently, consumers can anticipate greater convenience in multiple aspects, such as product usage, storage, and disposal. Moreover, cutting-edge packaging features provide valuable support in daily tasks, making ordinary activities easier and more efficient. Despite its significant role, the realm of smart packaging for consumers often lacks adequate consideration in both technical evaluations and fundamental packaging strategies. Nevertheless, its ability to meet specific consumer requirements across a wide array of products is critical, particularly in the food and beverage sector where such advancements can have a substantial influence. By concentrating on these areas, packaging evolves not just to safeguard and preserve items but also to improve the overall consumer experience, ultimately contributing to broader sustainability objectives (Chenyu et al., 2023; Jiachen et al., 2022).

The opportunity for food processing firms to leverage agro-industrial by-products for creating value-added products is significant. By adopting the principles of a circular economy, these firms have the potential to convert agricultural waste and by-products into innovative uses, especially in food packaging. Emerging sustainable methods for extracting bioactive compounds from these by-products indicate a promising path for scaling up operations and improving human health through nutraceutical applications (Domínguez et al., 2018; Pasrija and Anandharamakrishnan, 2015). A major area for innovation is the development of edible active films and coatings for food packaging. These cutting-edge materials help to enhance the shelf-life of perishable items while also acting as natural antioxidants and antimicrobial agents, offering an extra layer of protection against spoilage. Progress in bio-based and biodegradable polymers is facilitating the creation of bio-composite materials that not only enhance thermal stability and mechanical strength but also provide health benefits through their bioactive components (Legeay et al., 2015; Yin and Woo, 2024). To fully capitalize on these technologies, it is crucial to invest in research aimed at extraction methods and optimizing the parameters that affect yield. Gaining insight into complex interactions among different extraction variables could lead to more efficient processes that preserve valuable phytochemicals and nutrients.

Investigating new applications in both herbal and nutraceutical industries presents considerable potential, especially given the diverse range of nutrients found in whole vegetables. Industrial food manufacturers may benefit from substituting synthetic food additives with natural compounds sourced from these agri-food by-products, promoting a stronger alignment with circular economy practices. Additionally, the pursuit of nature-inspired innovations in packaging not only addresses sustainability issues but also generates exciting marketing prospects for brands. However, it is vital to conduct comprehensive safety evaluations of materials derived from by-products to ensure they meet health regulations. There is an urgent need for regulatory frameworks that guarantee the safety and appropriateness of these new products in the marketplace. This highlights the importance of continuing research in these emerging areas to ensure safe and effective use of agro-industrial by-products (Rangaraj et al., 2021; Wang et al., 2020).

Conclusion and future attitudes

The bioactive compound EGCG found in green tea has attracted considerable attention as a potential natural replacement for artificial food additives. When incorporated into biopolymer matrices, EGCG significantly enhances the film’s antioxidant and antibacterial properties by providing active hydroxy groups. These hydroxy groups damage bacterial cell membranes, leading to the release of internal components and ultimately causing the bacteria to perish. The complex polyphenol structure of EGCG also offers UV protection and improves the mechanical and physical characteristics of packaging materials, such as water solubility, barrier properties, moisture content, hydrophobicity, mechanical strength, and thermal stability. As EGCG is nontoxic and GRAS, it can be safely added to packaging materials. However, some studies involve encapsulating it to control its release. Thus, combining EGCG with food packaging presents a promising solution to ensure food quality, safety, and extension of shelf-life.

Despite its potential, challenges related to the release rate of EGCG, optimization for different types of food, processing techniques, and its limited thermal stability need to be addressed for industrial-scale production and marketability. These challenges can often be effectively mitigated by utilizing advanced encapsulation technologies. These techniques enhance the handling, dispersibility, stability, and release profiles of antimicrobial substances, making them more suitable for various applications. In typical encapsulation processes, antimicrobials are coated with food-grade materials specifically engineered to shield them from harsh environmental conditions, such as extreme pH levels, temperature fluctuations, and exposure to light. This protective coating not only extends the shelf life of antimicrobial agents but also serves to control their retention and release in response to different environmental stimuli.

One of the significant advantages of using encapsulation technologies is the ability to tailor the release of encapsulated components to specific locations and timeframes, enhancing their effectiveness in real-world applications. Recent advancements have highlighted electrospinning as an exceptionally effective method for encapsulating a wide range of bioactive agents, including antimicrobial compounds. This technique is appreciated for its relative simplicity and cost-effectiveness, allowing for the production of nanofibers with a diverse array of structural and functional properties. The electrospinning process results in fibers with a high surface-to-volume ratio and considerable porosity, both of which are advantageous for the encapsulation of bioactive compounds. These characteristics not only increase the antimicrobial efficiency of encapsulated agents but also allow for the fine-tuning of their release profiles. Consequently, electrospun fibers have found numerous applications across various industries, including tissue engineering, drug delivery systems, wound dressing, sensor technologies, air and water filtration, and food packaging solutions.

It is crucial to delve deeper into the applications of EGCG in both intelligent packaging systems and electrospun materials. Intelligent packaging reflects an emerging trend in enhancing the functionality of food packaging by incorporating sensors and indicators that monitor the condition of food while electrospinning produced nanofibers that further increase the surface area and, consequently, the effectiveness of food preservation. Additionally, the potential of EGCG in food coatings deserves significant attention. These coatings could not only serve as barriers to protect food from external contaminants but also incorporate antioxidant and antimicrobial properties of EGCG to prolong shelf life and enhance food quality. Moreover, assessing the compatibility of EGCG with bio-based polymers is critical for achieving effective formulations. However, achieving this compatibility often demands chemical modifications of EGCG, which can present a challenge, given its natural composition and eco-friendly attributes. Hence, future research should prioritize innovative extraction methods to obtain EGCG efficiently while minimizing degradation. Studies should also explore various compatibility and modification processes necessary for integrating EGCG with bio-based materials. By addressing these aspects, we would be better equipped to harness the full potential of EGCG in food packaging applications, contributing to the development of sustainable and effective food preservation solutions.

Acknowledgments

The research protocol received approval and support from the Student Research Committee, Department of Nutrition, Faculty of Health and Nutrition Sciences, Yasuj University of Medical Science, Yasuj, Iran. We are grateful for their assistance.

Availability of Data and Materials

Data are available on request.

Author Contributions

Behnam Bahramian and Narges Kiani-Salmi: Writing – original draft, Writing – review & editing, Formal analysis, Data curation, Methodology, Investigation, Conceptualization. Reza Abedi-Firoozjah: Writing – review & editing, Software, Methodology, Investigation, Conceptualization, Formal analysis. Raana Babadi Fathipour: Writing – review & editing, Validation, Investigation, Formal analysis, Data curation. Milad Tavassoli: Writing – original draft, Writing – review & editing, Visualization, Validation, Software, Resources, Methodology, Investigation, Conceptualization, Formal analysis, Data curation. Sajjad Ghasemi and Seyed Mohammad Mazloomi: Writing – review & editing, Validation, Supervision, Investigation, Conceptualization. Ali Ehsani: Writing – original draft, Writing – review & editing, Methodology, Investigation, Conceptualization, Validation, Supervision, Resources, Formal analysis. Nazila Oladzadabbasabadi: Writing – original draft, Writing – review & editing, Resources, Methodology, Investigation, Formal analysis, Data curation, Conceptualization.

Conflict of Interest

The authors declared no competing interests.

Funding

None.

REFERENCES

Adhami, V.M., Ahmad, N., and Mukhtar, H., 2003. Molecular targets for green tea in prostate cancer prevention. Journal of Nutrition 133(7): 2417S–2424S. 10.1093/jn/133.7.2417S

Al Yammahi, J., Rambabu, K., Thanigaivelan, A., Bharath, G., Hasan, S.W., Show, P.L., and Banat, F., 2023. Advances of non-conventional green technologies for phyto-saccharides extraction: current status and future perspectives. Phytochemistry Reviews 22(4): 1067–1088. 10.1007/s11101-022-09831-2

Arokia Vijaya Anand, M., Sivakumar Allur, S., Young-Min, K., Sukjin, S., and Sung Jae, K., 2023. Epigallocatechin gallate protects the hydrogen peroxide-induced cytotoxicity and oxidative stress in tenocytes. Process Biochemistry 130: 105–115. 10.1016/j.procbio.2023.03.030

Arunachalasivamani, P., Krisana, N., Thummanoon, P., Jun Tae, K., Jong-Whan, R., and Soottawat, B., 2024. Storage stability of Asian seabass oil-in-water pickering emulsion packed in pouches made from electrospun and solvent casted bilayer films from polylactic acid/chitosan-gelatin blend containing epigallocatechin gallate. International Journal of Biological Macromolecules 265(1): 130760. 10.1016/j.ijbiomac.2024.130760

Athirojthanakij, W., and Rashidinejad, A., 2024. Optimizing catechin extraction from green tea waste: comparative analysis of hot water, ultrasound-assisted, and ethanol methods for enhanced antioxidant recovery. Food Science & Nutrition 12(7): 5121–5130. 10.1002/fsn3.4161

Bakhshizadeh, M., Ayaseh, A., Hamishehkar, H., Samadi Kafil, H., Niknazar Moghaddam, T., Baghban Haghi, P., Lorenzo, J. M., 2023a. Multifunctional performance of packaging system based on gelatin/alove vera gel film containing of rosemary essential oil and common poppy anthocyanins. Food Control 154: 110017. 10.1016/j.foodcont.2023.110017

Bakhshizadeh, M., Moghaddam, T.N., Tavassoli, M., Ayaseh, A., and Bangar, S.P., 2023b. Gelatin/chitosan nanofibres containing β-cyclodextrin complex and corn poppy (Papaver rhoeas L.) for intelligent packaging. International Journal of Food Science & Technology 58(5): 2360–2368. 10.1111/ijfs.16369

Bertram, B., Bollow, U., Rajaee-Behbahani, N., Bürkle, A., and Schmezer, P., 2003. Induction of poly(ADP-ribosyl)ation and DNA damage in human peripheral lymphocytes after treatment with (−)-epigallocatechin-gallate. Mutation Research/Genetic Toxicology and Environmental Mutagenesis 534(1): 77–84. 10.1016/S1383-5718(02)00245-0

Buatong, J., Mittal, A., Mittraparp-arthorn, P., Palamae, S., Saetang, J., and Benjakul, S., 2023. Bactericidal action of shrimp shell chitooligosaccharide conjugated with epigallocatechin gallate (COS-EGCG) against Listeria monocytogenes. Foods 12(3): 634. 10.3390/foods12030634

Calderón-Oliver, M., and Ponce-Alquicira, E., 2021. Environmentally friendly techniques and their comparison in the extraction of natural antioxidants from green tea, rosemary, clove, and oregano. Molecules, 26(7): 1869. 10.3390/molecules26071869

Cao, J., Wang, Q., Ma, T., Bao, K., Yu, X., Duan, Z., Li, C., 2020. Effect of EGCG-gelatin biofilm on the quality and microbial composition of tilapia fillets during chilled storage. Food Chemistry 305(1): 125454. 10.1016/j.foodchem.2019.125454

Chenyu, Q., Guangyang, L., Yi, P., Kexin, Y., Qiyue, T., Yaowei, Z., Donghui, X., 2023. A comprehensive review of nano-delivery system for tea polyphenols: construction, applications, and challenges. Food Chemistry: X 17: 100571. 10.1016/j.fochx.2023.100571

Chimento, A., D’Amico, M., De Luca, A., Conforti, F.L., Pezzi, V., and De Amicis, F., 2023. Resveratrol, epigallocatechin gallate and curcumin for cancer therapy: challenges from their pro-apoptotic properties. Life 13(2): 261. 10.3390/life13020261

Dai, W., Yan, C., Ding, Y., Wang, W., Gu, S., Xu, Z., Ding, Y., 2022a. Effect of a chitosan coating incorporating epigallocatechin gallate on the quality and shelf life of bighead carp (Aristichthys nobilis) fillets during chilled storage. International Journal of Biological Macromolecules 219: 1272–1283. 10.1016/j.ijbiomac.2022.08.180

Dai, W., Zhou, L., Gu, S., Wang, W., Xu, Z., Zhou, X., and Ding, Y., 2022b. Preparation and characterization of chitosan films incorporating epigallocatechin gallate: microstructure, physicochemical, and bioactive properties. International Journal of Biological Macromolecules 211: 729–740. 10.1016/j.ijbiomac.2022.04.226

Ding, S.-B., Chu, X.-L., Jin, Y.-X., Jiang, J.-J., Zhao, X., and Yu, M., 2023. Epigallocatechin gallate alleviates high-fat diet-induced hepatic lipotoxicity by targeting mitochondrial ROS-mediated ferroptosis. Frontiers in Pharmacology 14: 1148814. 10.3389/fphar.2023.1148814

Domínguez, R., Barba, F.J., Gómez, B., Putnik, P., Bursać Kovačević, D., Pateiro, M., Lorenzo, J.M., 2018. Active packaging films with natural antioxidants to be used in meat industry: a review. Food Research International 113: 93–101. 10.1016/j.foodres.2018.06.073

Dong, L., Jiao, Q., Gao, J., Luo, X., Song, Y., Li, T., Luo, Z., 2023. Effects of Zein-Lecithin-EGCG nanoparticle coatings on postharvest quality and shelf life of loquat (Eriobotrya japonica). Lebensmittel-Wissenschaft & Technologie (LWT) 182(1): 114918. 10.1016/j.lwt.2023.114918

Dube, A., Nicolazzo, J.A., and Larson, I., 2011. Chitosan nanoparticles enhance the plasma exposure of (−)-epigallocatechin gallate in mice through an enhancement in intestinal stability. European Journal of Pharmaceutical Sciences 44(3): 422–426. 10.1016/j.ejps.2011.09.004

Feng, M., Yu, L., Zhu, P., Zhou, X., Liu, H., Yang, Y., Chen, P., 2018. Development and preparation of active starch films carrying tea polyphenol. Carbohydrate Polymers 196(15): 162–167. 10.1016/j.carbpol.2018.05.043

Fu, X., Chang, X., Xu, S., Xu, H., Ge, S., Xie, Y., Ding, S., 2024. Development of a chitosan/pectin-based multi-active food packaging with both UV and microbial defense functions for effectively preserving of strawberry. International Journal of Biological Macromolecules 254(2): 127968. 10.1016/j.ijbiomac.2023.127968

Furukawa, A., Oikawa, S., Murata, M., Hiraku, Y., and Kawanishi, S., 2003. (−)-Epigallocatechin gallate causes oxidative damage to isolated and cellular DNA. Biochemical Pharmacology 66(9): 1769–1778. 10.1016/S0006-2952(03)00541-0

Fuyun, J., Huihui, L., Chuyan, W., Na, G., Yizhong, S., Shuizhong, L., Zhi, Z., 2024. Remodeling the structure of soy protein fibrils to hydrogels for co-encapsulation of (−)-epigallocatechin gallate (EGCG) and curcumin: role of EGCG. Food Hydrocolloids 147(B): 109439. 10.1016/j.foodhyd.2023.109439

Gan, R.-Y., Li, H.-B., Sui, Z.-Q., and Corke, H., 2018. Absorption, metabolism, anti-cancer effect and molecular targets of epigallocatechin gallate (EGCG): an updated review. Critical Reviews in Food Science and Nutrition 58(6): 924–941. 10.1080/10408398.2016.1231168

Ghoreishi, S.M., and Heidari, E., 2013. Extraction of Epigallocatechin-3-gallate from green tea via supercritical fluid technology: neural network modeling and response surface optimization. Journal of Supercritical Fluids 74: 128–136. 10.1016/j.supflu.2012.12.009

Goudarzi, J., Moshtaghi, H., and Shahbazi, Y., 2023. Kappa-carrageenan-poly (vinyl alcohol) electrospun fiber mats encapsulated with Prunus domestica anthocyanins and epigallocatechin gallate to monitor the freshness and enhance the shelf-life quality of minced beef meat. Food Packaging and Shelf Life 35: 101017. 10.1016/j.fpsl.2022.101017

Granja, A., Frias, I., Neves, A.R., Pinheiro, M., and Reis, S., 2017. Therapeutic potential of epigallocatechin gallate nanodelivery systems. BioMed Research International, 2017(1), p.5813793. 10.1155/2017/5813793

Hu, G., Luo, F., Han, J., Li, J., Zhou, C., Yang, C., . . . Hu, Y., 2023. EGCG/HP-β-CD inclusion complexes integrated into PCL/Chitosan oligosaccharide nanofiber membranes developed by ELS for fruit packaging. Food Hydrocolloids 144: 108992. 10.1016/j.foodhyd.2023.108992

Huang, X., Hong, M., Wang, L., Meng, Q., Ke, Q., and Kou, X., 2023. Bioadhesive and antibacterial edible coating of EGCG-grafted pectin for improving the quality of grapes during storage. Food Hydrocolloids 136(Part A): 108255. 10.1016/j.foodhyd.2022.108255

Huimin, Y., Zeyu, W., Jinbao, H., and Jun, L., 2024. Preparation, characterization and application of antioxidant packaging films based on chitosan-epicatechin gallate conjugates with different substitution degrees. International Journal of Biological Macromolecules 260(Part 2): 129568. 10.1016/j.ijbiomac.2024.129568

Isbrucker, R.A., Bausch, J., Edwards, J.A., and Wolz, E., 2006. Safety studies on epigallocatechin gallate (EGCG) preparations. Part 1: genotoxicity. Food and Chemical Toxicology 44(5): 626–635. 10.1016/j.fct.2005.07.005

James, A., Wang, K., and Wang, Y., 2023. Therapeutic activity of green tea epigallocatechin-3-gallate on metabolic diseases and non-alcoholic fatty liver diseases: the current updates. Nutrients, 15(13): 3022. 10.3390/nu15133022

Jiachen, S., Shengjie, D., Jianying, L., and Hui, Z., 2022. A comprehensive review on the effects of green tea and its components on the immune function. Food Science and Human Wellness 11(5): 1143–1155. 10.1016/j.fshw.2022.04.008

Kargozari, M., Hamedi, H., Amir Amirnia, S., Montazeri, A., and Abbaszadeh, S., 2018. Effect of bioactive edible coating based on sodium alginate and coriander (Coriandrum sativum L.) essential oil on the quality of refrigerated chicken fillet.

Kciuk, M., Alam, M., Ali, N., Rashid, S., Głowacka, P., Sundaraj, R., Kontek, R., 2023. Epigallocatechin-3-gallate therapeutic potential in cancer: mechanism of action and clinical implications. Molecules, 28(13): 5246. 10.3390/molecules28135246

Khezerlou, A., Alizadeh Sani, M., Tavassoli, M., Abedi-Firoozjah, R., Ehsani, A., and McClements, D.J., 2023a. Halochromic (pH-responsive) indicators based on natural anthocyanins for monitoring fish freshness/spoilage. Journal of Composites Science 7(4): 143. 10.3390/jcs7040143

Khezerlou, A., Tavassoli, M., Alizadeh Sani, M., Ehsani, A., and McClements, D.J., 2023b. Smart packaging for food spoilage assessment based on Hibiscus sabdariffa L. anthocyanin-loaded chitosan films. Journal of Composites Science 7(10): 404. 10.3390/jcs7100404

Koina, I.M., Sarigiannis, Y., and Hapeshi, E., 2023. Green extraction techniques for the determination of active ingredients in tea: current state, challenges, and future perspectives. Separations, 10(2): 121. 10.3390/separations10020121

Köksoy, H., and Ragbetli, C., 2024. Evaluation of in vitro antimicrobial activity of Epigallocatechin gallate (EGCG) and green tea (Camellia sinensis) oil on various pathogens. [Epigallocatechin Gallate (EGCG) ve Yeşil Çay (Camellia Sinensis) Yağının Çeşitli Patojenler Üzerinde İn Vitro Antimikrobiyal Etkinliğinin Değerlendirilmesi]. Genel Tıp Dergisi 34(1): 38–42. 10.54005/geneltip.1333115

Krupkova, O., Ferguson, S.J., and Wuertz-Kozak, K., 2016. Stability of (−)-epigallocatechin gallate and its activity in liquid formulations and delivery systems. Journal of Nutritional Biochemistry 37: 1–12. 10.1016/j.jnutbio.2016.01.002

Legeay, S., Rodier, M., Fillon, L., Faure, S., and Clere, N., 2015. Epigallocatechin gallate: a review of its beneficial properties to prevent metabolic syndrome. Nutrients 7(7): 5443–5468. 10.3390/nu7075230

Li, D., Cao, D., Cui, Y., Sun, Y., Jiang, J., and Cao, X., 2023. The potential of epigallocatechin gallate in the chemoprevention and therapy of hepatocellular carcinoma. Frontiers in Pharmacology 14: 1201085. 10.3389/fphar.2023.1201085

Liang, J., Yan, H., Wang, X., Zhou, Y., Gao, X., Puligundla, P., and Wan, X., 2017a. Encapsulation of epigallocatechin gallate in zein/chitosan nanoparticles for controlled applications in food systems. Food Chemistry 231: 19–24. 10.1016/j.foodchem.2017.02.106

Liang, J., Yan, H., Zhang, J., Dai, W., Gao, X., Zhou, Y., Puligundla, P., 2017b. Preparation and characterization of antioxidant edible chitosan films incorporated with epigallocatechin gallate nanocapsules. Carbohydrate Polymers 171: 300–306. 10.1016/j.carbpol.2017.04.081

Lima, R. P., A. S. B. de Sousa, P. Abeli, R. M. Beaudry and S. d. M. Silva., 2022. Setting a safe target internal atmosphere for starch-based coated fruits and vegetables. Food Control 142: 109270. 10.1016/j.foodcont.2022.109270

Liu, Z., Ran, Q., Li, Q., Yang, T., Dai, Y., Zhang, T., Long, L., 2023. Interaction between major catechins and umami amino acids in green tea based on electronic tongue technology. Journal of Food Science 88(6): 2339–2352. 10.1111/1750-3841.16543

Long, L.H., Clement, M.V., and Halliwell, B., 2000. Artifacts in cell culture: rapid generation of hydrogen peroxide on addition of (−)-epigallocatechin, (−)-epigallocatechin gallate, (+)-catechin, and quercetin to commonly used cell culture media. Biochemical and Biophysical Research Communications 273(1): 50–53. 10.1006/bbrc.2000.2895

Lun Su, Y., Leung, L.K., Huang, Y., and Chen, Z.-Y., 2003. Stability of tea theaflavins and catechins. Food Chemistry 83(2): 189–195. 10.1016/S0308-8146(03)00062-1

Mao, S., Ren, Y., Wei, C., Chen, S., Ye, X., and Jinhu, T., 2023. Development of novel EGCG/Fe loaded sodium alginate-based packaging films with antibacterial and slow-release properties. Food Hydrocolloids 145: 109032. 10.1016/j.foodhyd.2023.109032

Mengmeng, Z., Jingbo, L., Yu, G., Bing, Z., Meng-Lei, X., and Ting, Z., 2024. Se site targeted-two circles antioxidant in GPx4–like catalytic peroxide degradation by polyphenols (−)-epigallocatechin gallate and genistein using SERS. Food Chemistry: X 22: 101387. 10.1016/j.fochx.2024.101387

Mimoto, J., Kiura, K., Matsuo, K., Yoshino, T., Takata, I., Ueoka, H., Harada, M.J.C., 2000. (–)-Epigallocatechin gallate can prevent cisplatin-induced lung tumorigenesis in A/J mice. Carcinogenesis 21(5): 915–919. 10.1093/carcin/21.5.915

Mittal, A., Singh, A., Benjakul, S., Prodpran, T., Nilsuwan, K., Huda, N., and de la Caba, K., 2021. Composite films based on chitosan and epigallocatechin gallate grafted chitosan: characterization, antioxidant and antimicrobial activities. Food Hydrocolloids 111: 106384. 10.1016/j.foodhyd.2020.106384

Moreno-Vásquez, M.J., Plascencia-Jatomea, M., Sánchez-Valdes, S., Tanori-Córdova, J.C., Castillo-Yañez, F.J., Quintero-Reyes, I.E., and Graciano-Verdugo, A.Z., 2021. Characterization of epigallocatechin-gallate-grafted chitosan nanoparticles and evaluation of their antibacterial and antioxidant potential. Polymers 13(9): 1375. 10.3390/polym13091375

Nilsuwan, K., Benjakul, S., Prodpran, T., and de la Caba, K., 2019a. Fish gelatin monolayer and bilayer films incorporated with epigallocatechin gallate: Properties and their use as pouches for storage of chicken skin oil. Food Hydrocolloids 89: 783–791. 10.1016/j.foodhyd.2018.11.056

Nilsuwan, K., Guerrero, P., de la Caba, K., Benjakul, S., and Prodpran, T., 2019b. Properties of fish gelatin films containing epigallocatechin gallate fabricated by thermo-compression molding. Food Hydrocolloids 97: 105236. 10.1016/j.foodhyd.2019.105236

Nilsuwan, K., Guerrero, P., de la Caba, K., Benjakul, S., and Prodpran, T., 2020. Properties and application of bilayer films based on poly(lactic acid) and fish gelatin containing epigallocatechin gallate fabricated by thermo-compression molding. Food Hydrocolloids 105: 105792. 10.1016/j.foodhyd.2020.105792

Ntamo, Y., Jack, B., Ziqubu, K., Mazibuko-Mbeje, S.E., Nkambule, B.B., Nyambuya, T.M., Mabhida, S.E., Hanser, S., Orlando, P., Tiano L., and Dludla P.V., 2024. Epigallocatechin gallate as a nutraceutical to potentially target the metabolic syndrome: novel insights into therapeutic effects beyond its antioxidant and anti-inflammatory properties. Critical Reviews in Food Science and Nutrition 64(1): 87-109. 10.1080/10408398.2022.2104805

Oliveira, M.R.d., Nabavi, S.F., Daglia, M., Rastrelli, L., and Nabavi, S.M., 2016. Epigallocatechin gallate and mitochondria—a story of life and death. Pharmacological Research 104: 70–85. 10.1016/j.phrs.2015.12.027

Oroian, M., and Escriche, I., 2015. Antioxidants: characterization, natural sources, extraction and analysis. Food Research International 74: 10–36. 10.1016/j.foodres.2015.04.018

Papuc, C., Goran, G.V., Predescu, C.N., Nicorescu, V., and Stefan, G., 2017. Plant polyphenols as antioxidant and antibacterial agents for shelf-life extension of meat and meat products: classification, structures, sources, and action mechanisms. Comprehensive Reviews in Food Science and Food Safety 16(6): 1243–1268. 10.1111/1541-4337.12298

Pasrija, D., and Anandharamakrishnan, C., 2015. Techniques for extraction of green tea polyphenols: a review. Food and Bioprocess Technology 8(5): 935–950. 10.1007/s11947-015-1479-y

Paweł, B., Dariusz, T.M., Tomasz, K., Magdalena, C.-K., Ludwika, P., Emil, K., Tomasz, G., 2023. Tea-break with epigallocatechin gallate derivatives—powerful polyphenols of great potential for medicine. European Journal of Medicinal Chemistry 261: 115820. 10.1016/j.ejmech.2023.115820

Pei, J., Mei, J., Yu, H., Qiu, W., and Xie, J., 2022. Effect of gum tragacanth-sodium alginate active coatings incorporated with epigallocatechin gallate and lysozyme on the quality of large yellow croaker at superchilling condition. Frontiers in Nutrition 8: 812741. 10.3389/fnut.2021.812741

Peng, S., Kun, W., Fuyou, Y., Lunzhao, Y., Liping, S., and Hui, L., 2023. Gelatin/sodium alginate multilayer composite film crosslinked with green tea extract for active food packaging application. Colloids and Surfaces A: Physicochemical and Engineering Aspects 662: 131013. 10.1016/j.colsurfa.2023.131013

Péter, B., Szekacs, I., and Horvath, R., 2024. Label-free biomolecular and cellular methods in small molecule epigallocatechin-gallate research. Heliyon 10(3): e25603. 10.1016/j.heliyon.2024.e25603

Ponnusamy, A., Niluswan, K., Prodpran, T., Kim, J.T., Rhim, J.-W., and Benjakul, S., 2024. Storage stability of Asian seabass oil-in-water pickering emulsion packed in pouches made from electrospun and solvent casted bilayer films from poly lactic acid/chitosan-gelatin blend containing epigallocatechin gallate. International Journal of Biological Macromolecules 265: 130760. 10.1016/j.ijbiomac.2024.130760

Raghunath, S., Budaraju, S., Gharibzahedi, S.M.T., Koubaa, M., Roohinejad, S., and Mallikarjunan, K., 2023. Processing technologies for the extraction of value-added bioactive compounds from tea. Food Engineering Reviews 15(2): 276–308. 10.1007/s12393-023-09338-2

Rangaraj, Vengatesan M., Rambabu, K., Banat, F., and Mittal, V., 2021. Natural antioxidants-based edible active food packaging: an overview of current advancements. Food Bioscience 43: 101251. 10.1016/j.fbio.2021.101251

Read, F.A., Mohammed Razeeth Shait, M., Mohammed, K., Mohammad, Mario, S., Torki, A.Z., and Shams, T., 2023. Comparative efficacy of epigallocatechin gallate and its nano-formulation in prostate cancer 3D spheroids model. Journal of King Saud University–Science 35(4): 102627. 10.1016/j.jksus.2023.102627

Rizwan, A., Mohammed, A., Aljawharah, A., Ebtihal, A., Fatema, A., Ahmed, M., Heba, S., 2023. The effect of natural antioxidants, pH, and green solvents upon catechins stability during ultrasonic extraction from green tea leaves (Camellia sinensis). Ultrasonics Sonochemistry 94: 106337. 10.1016/j.ultsonch.2023.106337

Ruan, C., Zhang, Y., Sun, Y., Gao, X., Xiong, G., and Liang, J., 2019a. Effect of sodium alginate and carboxymethyl cellulose edible coating with epigallocatechin gallate on quality and shelf life of fresh pork. International Journal of Biological Macromolecules 141: 178–184. 10.1016/j.ijbiomac.2019.08.247

Ruan, C., Zhang, Y., Wang, J., Sun, Y., Gao, X., Xiong, G., and Liang, J., 2019b. Preparation and antioxidant activity of sodium alginate and carboxymethyl cellulose edible films with epigallocatechin gallate. International Journal of Biological Macromolecules 134: 1038–1044. 10.1016/j.ijbiomac.2019.05.143

Shaojie, T., Jiarui, H., Xiangnan, Y., Ziyu, S., Liheng, G., Jing, G., and Lu, W., 2023. Epigallocatechin gallate-loaded pH-responsive dressing with effective antioxidant, antibacterial and anti-biofilm properties for wound healing. Materials & Design 227: 111701. 10.1016/j.matdes.2023.111701

Shaukat, H., Ali, A., Zhang, Y., Ahmad, A., Riaz, S., Khan, A., Qin, H., 2023. Tea polyphenols: extraction techniques and its potency as a nutraceutical. Frontiers in Sustainable Food Systems 7: 1175893. 10.3389/fsufs.2023.1175893

Siblini, H., Al-Hendy, A., Segars, J., González, F., Taylor, H. S., Singh, B., et al. 2023. Assessing the hepatic safety of epigallocatechin gallate (EGCG) in reproductive-aged women. Nutrients 15(2): 320. 10.3390/nu15020320

Singh, K., Srichairatanakool, S., Chewonarin, T., Brennan, C.S., Brennan, M.A., Klangpetch, W., and Utama-ang, N., 2022. Manipulation of the phenolic quality of Assam green tea through thermal regulation and utilization of microwave and ultrasonic extraction techniques. Horticulturae 8(4): 338. 10.3390/horticulturae8040338

Siriphap, A., Kiddee, A., Duangjai, A., Yosboonruang, A., Pook-In, G., Saokaew, S., Rawangkan, A., 2022. Antimicrobial activity of the green tea polyphenol (−)-epigallocatechin-3-gallate (EGCG) against clinical isolates of multidrug-resistant vibrio cholerae. Antibiotics, 11(4): 518. 10.3390/antibiotics11040518

Song, G., Lin, S., Wu, Y., Shen, J., Wu, J., Zhu, W., Wang, S., 2023. Emulsifier free fish gelatin based films with excellent antioxidative and antibacterial activity: preparation, characterization and application in coating preservation of fish fillets. Journal of Food Engineering 343: 111362. 10.1016/j.jfoodeng.2022.111362

Song, Z., Na, M., Yue, L., Shangwei, C., and Yongmei, X., 2021. Antioxidant activities of lipophilic (−)-epigallocatechin gallate derivatives in vitro and in lipid-based food systems. Food Bioscience 42: 101055. 10.1016/j.fbio.2021.101055

Sugisawa, A., and Umegaki, K., 2002. Physiological concentrations of (−)-epigallocatechin-3-O-gallate (EGCg) prevent chromosomal damage induced by reactive oxygen species in WIL2-NS cells. Journal of Nutrition 132(7): 1836–1839. 10.1093/jn/132.7.1836

Sun, M.-F., Jiang, C.-L., Kong, Y.-S., Luo, J.-L., Yin, P., and Guo, G.-Y., 2022. Recent advances in analytical methods for determination of polyphenols in tea: a comprehensive review. Foods 11(10): 1425. 10.3390/foods11101425

Sun, J., Jiang, H., Li, M., Lu, Y., Du, Y., Tong, C., Wu, C., 2020. Preparation and characterization of multifunctional konjac glucomannan/carboxymethyl chitosan biocomposite films incorporated with epigallocatechin gallate. Food Hydrocolloids 105: 105756. 10.1016/j.foodhyd.2020.105756

Talib, W.H., Awajan, D., Alqudah, A., Alsawwaf, R., Althunibat, R., Abu AlRoos, M., . . . Al Kury, L.T., 2024. Targeting cancer hallmarks with epigallocatechin gallate (EGCG): mechanistic basis and therapeutic targets. Molecules, 29(6): 1373. 10.3390/molecules29061373

Tavassoli, M., Khezerlou, A., Bangar, S. P., Bakhshizadeh, M., Haghi, P. B., Moghaddam, T. N., and Ehsani, A., 2023a. Functionality developments of Pickering emulsion in food packaging: Principles, applications, and future perspectives. Trends in Food Science & Technology, 132, 171–187. 10.1016/j.tifs.2023.01.007

Tavassoli, M., Khezerlou, A., Firoozy, S., Ehsani, A., and Punia Bangar, S., 2023b. Chitosan-based film incorporated with anthocyanins of red poppy (Papaver rhoeas L.) as a colorimetric sensor for the detection of shrimp freshness. International Journal of Food Science & Technology 58(6): 3050–3057. 10.1111/ijfs.16432

Vuong, Q.V., Golding, J.B., Nguyen, M., and Roach, P.D., 2010. Extraction and isolation of catechins from tea. Journal of Separation Science 33(21): 3415–3428. 10.1002/jssc.201000438

Wang, L., Lin, L., Guo, Y., Long, J., Mu, R.-J., and Pang, J., 2020. Enhanced functional properties of nanocomposite film incorporated with EGCG-loaded dialdehyde glucomannan/gelatin matrix for food packaging. Food Hydrocolloids 108: 105863. 10.1016/j.foodhyd.2020.105863

Wang, X., Xie, Y., Ge, H., Chen, L., Wang, J., Zhang, S., Feng, X., 2018. Physical properties and antioxidant capacity of chitosan/epigallocatechin-3-gallate films reinforced with nano-bacterial cellulose. Carbohydrate Polymers. 179: 207–220. 10.1016/j.carbpol.2017.09.087

Wangli, D., Lin, Z., Saiqi, G., Wenjie, W., Zheng, X., Xuxia, Z., and Yuting, D., 2022. Preparation and characterization of chitosan films incorporating epigallocatechin gallate: microstructure, physicochemical, and bioactive properties. International Journal of Biological Macromolecules 211: 729–740. 10.1016/j.ijbiomac.2022.04.226

Wei, H., Mingchun, W., Zisheng, H., Xue-Ling, G., Jia-Ping, K., Mengting, Z., Liang, Z., 2024. Revealing the variances in color formation and bioactivities of seven catechin monomers throughout the enzymatic reaction by colorimetric and mass spectrometry. Food Research International 184: 114266. 10.1016/j.foodres.2024.114266

Włodarczyk, M., Ciebiera, M., Nowicka, G., Łoziński, T., Ali, M., and Al-Hendy, A., 2024. Epigallocatechin Gallate for the treatment of benign and malignant gynecological diseases—focus on epigenetic mechanisms. Nutrients 16(4): 559. 10.3390/nu16040559

Woo Yong, P., Gahee, S., Ja Yeon, P., Se Jin, J., Seokwoo, K., Kwang Seok, A., Jae-Young, U., 2024. Epigallocatechin gallate protects against fat and muscle atrophy in B16BL6 melanoma-bearing mice on a high-fat diet. Life Sciences 348: 122677. 10.1016/j.lfs.2024.122677

Wu, Y., Wang, Y., Lv, J., Jiao, H., Liu, J., Feng, W., Li, X., 2023. Preparation and characterization of egg white protein film incorporated with epigallocatechin gallate and its application on pork preservation. Food Chemistry: X 19: 100791. 10.1016/j.fochx.2023.100791

Xu, W., Chen, W., Wang, Q., McClements, D.J., Chen, S., Wang, Y., Liu, F., 2023. Physicochemical and preservative properties of tyrosinase-crosslinked sodium caseinate-EGCG-carboxymethyl chitosan composite packaging: Comparison of blended and layer-by-layer films. Food Bioscience 54: 102831. 10.1016/j.fbio.2023.102831

Xu, H., Huang, Y., He, K., Lin, Z., McClements, D. J., Hu, Y., Chen, L., 2024a. An effective preserving strategy for strawberries by constructing pectin/starch coatings reinforced with functionalized eggshell fillers. Food Chemistry 450: 139314. 10.1016/j.foodchem.2024.139314

Xu, Z., Pei, J., Mei, J., Yu, H., Chu, S., and Xie, J., 2024b. Effect of gum tragacanth–sodium alginate coatings incorporated with epigallocatechin gallate on the quality and shelf life of large yellow croaker (Larimichthys crocea) during superchilling storage. Food Quality and Safety 8: fyad039. 10.1093/fqsafe/fyad039

Yang, H.-J., Lee, J.-H., Won, M., and Song, K. B., 2016. Antioxidant activities of distiller dried grains with solubles as protein films containing tea extracts and their application in the packaging of pork meat. Food Chemistry 196: 174–179. 10.1016/j.foodchem.2015.09.020

Yanyan, W., Ning, D., Shiting, W., Xintong, W., Ximing, H., and Alin, X., 2023. The mechanism study of enhanced antioxidant capacity: intermolecular hydrogen bonds between epigallocatechin gallate and theanine in tea. Lebensmittel-Wissenschaft & Technologie (LWT) 189: 115523. 10.1016/j.lwt.2023.115523

Yin, Y., and Woo, M.W., 2024. Transitioning of petroleum-based plastic food packaging to sustainable bio-based alternatives. Sustainable Food Technology. 2(3), 548–566. 10.1039/D4FB00028E

Yong, H., Wang, Z., Huang, J., and Liu, J., 2024. Preparation, characterization and application of antioxidant packaging films based on chitosan-epicatechin gallate conjugates with different substitution degrees. International Journal of Biological Macromolecules, 260: 129568. 10.1016/j.ijbiomac.2024.129568

Yong, H., Xu, F., Yun, D., Hu, H., and Liu, J., 2022. Antioxidant packaging films developed by in-situ cross-linking chitosan with dialdehyde starch-catechin conjugates. International Journal of Biological Macromolecules 222: 3203–3214. 10.1016/j.ijbiomac.2022.10.093

Yue, W., Yuemeng, W., Jianhao, L., Han, J., Jiahan, L., Wenhui, F., Xin, L., 2023. Preparation and characterization of egg white protein film incorporated with epigallocatechin gallate and its application on pork preservation. Food Chemistry: X, 19: 100791. 10.1016/j.fochx.2023.100791

Zeng, J., Hao, J., Yang, Z., Ma, C., Gao, L., Chen, Y., Li, J., 2023. Anti-allergic effect of dietary polyphenols curcumin and epigallocatechin gallate via anti-degranulation in IgE/antigen-stimulated mast cell model: a lipidomics perspective. Metabolites 13(5): 628. 10.3390/metabo13050628

Zhang, S., Mao, B., Cui, S., Zhang, Q., Zhao, J., Tang, X., and Chen, W., 2023a. Absorption, metabolism, bioactivity, and biotransformation of epigallocatechin gallate. Critical Reviews in Food Science and Nutrition 64(19): 6546–6566. 10.1080/10408398.2023.2170972

Zhang, Q., Pan, J., Liu, H., and Jiao, Z., 2023b. Characterization of the synergistic antioxidant activity of epigallocatechin gallate (EGCG) and kaempferol. Molecules 28(13): 5265. 10.3390/molecules28135265

Zhang, Y., Zhang, Y., Ma, R., Sun, W., and Ji, Z., 2023c. Antibacterial Activity of Epigallocatechin Gallate (EGCG) against Shigella flexneri. International Journal of Environmental Research and Public Health, 20(6): 4676. 10.3390/ijerph20064676

Zhao, W., Liang, X., Wang, X., Wang, S., Wang, L., and Jiang, Y., 2022. Chitosan based film reinforced with EGCG loaded melanin-like nanocomposite (EGCG@MNPs) for active food packaging. Carbohydrate Polymers 290: 119471. 10.1016/j.carbpol.2022.119471

Zhuang, Y., Quan, W., Wang, X., Cheng, Y., and Jiao, Y., 2024. Comprehensive review of EGCG modification: esterification methods and their impacts on biological activities. Foods 13(8): 1232. 10.3390/foods13081232

Zinellu, A., Sotgia, S., Scanu, B., Forteschi, M., Giordo, R., Cossu, A., Pintus, G.J.P.O., 2015. Human serum albumin increases the stability of green tea catechins in aqueous physiological conditions. PLoS One 10(7): e0134690. 10.1371/journal.pone.0134690