1College of Food Science and Engineering, Shandong Agriculture and Engineering University, Jinan, Shandong, China;
2College of Food Science and Engineering, Shandong Agricultural University, Tai’an, Shandong, China
Non-starch polysaccharides (NSPs), key components of grain cell walls, serve as a primary source of soluble dietary fiber in beer. They play essential roles in brewing processes, influencing beer quality and contributing to health in humans. We explore changes in NSPs during brewing and their influence on beer quality. We investigated the effects of wheat malt and the mashing process on the composition and molecular characteristics of NSPs in both wort and wheat beer. The concentration of NSPs in wort increased from 1,502 mg/L to 2,431 mg/L with the addition of wheat malt, and was influenced by the resting time at 43°C, ultimately decreasing to 1,354–2,056 mg/L in the final wheat beer. Arabinoxylan (AX) was the most abundant NSP, followed by arabinogalactan (AG), mannose polymers (MP), and β-glucan. Molecular weight segments of 24.0–24.5 kDa, 6.8–7.2 kDa, and 76.5–86.8 kDa accounted for 40.9–46.7%, 18.1–23.1%, and 16.1–20.8% of NSPs in wort, respectively. These distributions varied during the mashing process but remained largely consistent in the final wheat beer. The levels of NSPs and AX in wort and wheat beer are primarily determined by wheat malt and are influenced by the mashing process, during which NSPs are decomposed into molecules with specific molecular weights. These findings provide valuable insights for regulating the content and molecular structure of soluble dietary fiber in beer, enabling control over its impact on beer quality through adjustments to the mashing process.
Key words: mashing, non-starch polysaccharides, wheat beer, wheat malt, wort
*Corresponding Author: Jinhua Du, College of Food Science and Engineering, Shandong Agricultural University, Tai’an, Shandong 271018, China. Email: [email protected]
Academic Editor: Mohsen Gavahian, PhD, Department of Food Science, College of Agriculture, National Pingtung University of Science and Technology, Taiwan, RoC
Received: 8 April 2024; Accepted: 6 January 2025; Published: 4 July 2025
© 2025 Codon Publications
This is an Open Access article distributed under the terms of the Creative Commons Attribution-NonCommercial-ShareAlike 4.0 International (CC BY-NC-SA 4.0). License (http://creativecommons.org/licenses/by-nc-sa/4.0/)
Non-starch polysaccharides (NSPs) are key components of grain cell walls, including the endosperm, aleurone layer, and bran (Faltermaier et al., 2014). Extensive studies are conducted on the isolation, purification, and characterization of the structural and functional properties of NSPs in cereals, with particular emphasis on arabinoxylan (AX) and β-glucan (Repin et al., 2018; Wang et al., 2020; Zannini et al., 2022). Incorporation of AX into staple foods, such as bread, has garnered increasing interest from researchers (Buksa et al., 2018; Buksa and Krystyjan, 2019; Huang et al., 2020) and industries because of its positive effects on dough and bread quality as well as its associated health benefits. Dietary fiber, including AX, has been linked to numerous health benefits, such as the prevention and management of chronic diseases, including obesity, diabetes, intestinal disorders, cardiovascular diseases, and cancer (He et al., 2022; Hernández-Pinto et al., 2024; Xu et al., 2021). However, the bread-making process can alter the structure and properties of AX, impacting its functional and biological activities (Xiao et al., 2023). It is widely recognized that processing conditions significantly influence the structure of dietary fiber, which, in turn, affects its bioactivity.
Research on the role of wheat in beer brewing has significantly increased in recent years. Wheat beer is favored by consumers for its rich nutritional content, delicate white foam, full aroma, and fresh and mellow taste (Cao et al., 2020). The brewing process also influences the structure and properties of NSPs in grains (Almaguer et al., 2024; Marconi et al., 2014). Mashing, a crucial step in beer brewing, involves heating and enzymatic action of malt or external enzymes. During this process, insoluble macromolecules, such as starch, protein, and hemicellulose, in the malt are broken down into smaller soluble molecules, including maltose, dextrin, amino acids, and peptides (Michiels et al., 2024b; Yu et al., 2020). The liquid extract produced during mashing is known as wort. Incomplete degradation of endosperm cell wall can reduce wort yield, and the concentration of AX in the wort is influenced by the mashing process (Lu and Li, 2006).
In the brewing of wheat beer, NSPs not only influence the viscosity and stability of wort and fermentation liquids but also play a crucial role in the sensory characteristics of beer, including turbidity, foam (Hu et al., 2019; Niu et al., 2018), and sensory profile (Krebs et al., 2019; Langenaeken et al., 2020). Moreover, as essential dietary fibers, NSPs exhibit numerous bioactive and health-beneficial properties, such as hypoglycemic effects (Du et al., 2019), hypolipidemic properties (Song et al., 2022), antioxidant activity (Chen et al., 2021), prevention of obesity (Fang et al., 2024; Tian et al., 2019), immune regulation, and modulation of intestinal flora (Paula et al., 2021; Rakhmanberdyeva et al., 2021).
However, changes in the content and structure of NSPs in grains during mashing, and their subsequent impact on beer quality and physiological functions, have not been fully explored. Here, we investigated the effects of wheat malt and mashing on the composition and molecular structure of NSPs in wort and wheat beer. This study provides valuable insights for preparing beer fortified with dietary fiber by controlling the mashing process and predicting the impact of NSPs on brewing, beer quality, and health benefits.
Barley malt, wheat malt, and hops were provided by Shandong Taishan Beer Co. Ltd. and Zibo TASMAN Brewing Materials Co. Ltd. Dry yeast WB-06 was sourced from Fermentis (Brussels, Belgium) and purchased from Beijing Bart Haas Trading Co. Ltd. Monosaccharide standards, such as L-arabinose (Ara), D-xylose (Xyl), D-mannose (Man), D-galactose (Gal), and D-glucose (Glc), were obtained from Sigma-Aldrich (Shanghai) Trading Co. Ltd. The total starch HK assay kit (K-TSHK), β-glucan assay kit (K-BGLU), and amyl glucosidase (E-AMGDF) were purchased from Megazyme Ltd. (Bray, Ireland). All other chemicals, such as ethanol, trifluoroacetic acid, sodium borohydride, ammonium hydroxide, acetic acid, 1-methylimidazole, acetic anhydride, dichloromethane, and sulfuric acid, were of analytical grade.
The content and molecular weight distribution of NSPs in wort and wheat beer prepared by different mashing processes were studied. The main parameters in the mashing process include the proportion of malt, resting temperature, and resting time. The resting temperature is determined by the optimal temperature of the enzymes responsible for hydrolyzing malt constituents, such as starch, proteins, and hemicellulose. The resting time refers to the duration at a specific temperature during mashing, which is dependent on the enzymatic breakdown kinetics of these constituents. The orthogonal experimental design for the mashing process is shown in Table 1. Resting temperatures were selected as 37°C, 43°C, 50°C, and 63°C, and the proportion of wheat malt to barley malt, as well as resting times at 37°C, 43°C, 50°C, and 63°C, were selected as variables. Four levels were designed for each variable.
Table 1. The orthogonal experiment of five variables and four levels for the mashing process.
| Levels | The proportion of wheat malt to barley malt (%) | Resting time at 37°C (min) |
Resting time at 43°C (min) |
Resting time at 50°C (min) |
Resting time at 63°C (min) |
|---|---|---|---|---|---|
| 1 | 40:60 | 0 | 0 | 0 | 0 |
| 2 | 45:55 | 10 | 10 | 10 | 10 |
| 3 | 50:50 | 20 | 20 | 20 | 20 |
| 4 | 55:45 | 30 | 30 | 30 | 30 |
Mixed malt, 70 g, was weighed according to the proportion of wheat malt to barley malt, and five times the amount of water was added to it. The wort was prepared according to the mashing process parameters shown in Table 2. The temperature was then raised to 70°C at a rate of 1°C/min, and the process was completed by holding the temperature at 70°C for 5 min after disappearance of iodine reaction. The total mashing period was recorded. In the orthogonal experiment, wheat beers were brewed using a mixture of malt, with the proportion of wheat malt ranging from 40% to 55%. To emphasize the influence of raw materials on NSPs, pure wheat malt and pure barley malt were used as controls for wort preparation (processes at Nos. 17 and 18, respectively). Both control groups followed the conventional mashing process.
Table 2. Parameters of mashing process.
| No. | The proportion of wheat malt to barley malt (%) |
Resting time at 37°C (min) |
Resting time at 43°C (min) |
Resting time at 50°C (min) |
Resting time at 63°C (min) |
Total mashing time (min) |
|---|---|---|---|---|---|---|
| 1. | 40:60 | 0 | 0 | 0 | 0 | 123 |
| 2. | 40:60 | 10 | 10 | 10 | 10 | 110 |
| 3. | 40:60 | 20 | 20 | 20 | 20 | 130 |
| 4. | 40:60 | 30 | 30 | 30 | 30 | 185 |
| 5. | 45:55 | 0 | 10 | 20 | 30 | 115 |
| 6. | 45:55 | 10 | 0 | 30 | 20 | 140 |
| 7. | 45:55 | 20 | 30 | 0 | 10 | 125 |
| 8. | 45:55 | 30 | 20 | 10 | 0 | 130 |
| 9. | 50:50 | 0 | 20 | 30 | 10 | 132 |
| 10. | 50:50 | 10 | 30 | 20 | 0 | 120 |
| 11. | 50:50 | 20 | 0 | 10 | 30 | 123 |
| 12. | 50:50 | 30 | 10 | 0 | 20 | 123 |
| 13. | 55:45 | 0 | 30 | 10 | 20 | 121 |
| 14. | 55:45 | 10 | 20 | 0 | 30 | 123 |
| 15. | 55:45 | 20 | 10 | 30 | 0 | 123 |
| 16. | 55:45 | 30 | 0 | 20 | 10 | 125 |
| 17. | 100:0 | 0 | 10 | 10 | 10 | 91 |
| 18. | 0:100 | 0 | 10 | 10 | 10 | 94 |
The orthogonal test of five variables and four levels of mashing process was designed as Nos. 1–16.
Pure wheat malt and pure barley malt were used for preparing wort as control, and their mashing process was shown as Nos. 17 and 18.
The mash was filtered through a 300-mesh stainless steel filter after mashing. The filtrate was then supplemented with 0.2% (w/w) hops and boiled for 10 min, followed by cooling to 18°C. The original extract was adjusted to 11.5 °P to obtain wort. The wort was transferred into a 4-L beer barrel, filling 80% of the volume, and inoculated with 0.1% (w/w) yeast. Fermentation was carried out until the soluble solids dropped to 6 Brix at 20°C. The beer was then capped and fermented for an additional week before being cooled to 5°C and stored for 3 weeks to complete the brewing process and obtain beer.
The original and real extracts of the beer were determined according to the European Brewery Convention (EBC) Analytical Method 9.4. The alcohol content and the degree of fermentation were evaluated using the EBC Analytical Methods 9.2.6 and 9.5, respectively. The viscosity of the beer was measured using a Haake Falling Ball viscometer (Thermo Scientific, Bremen, Germany), following the EBC Analytical Method 9.38.
The content of dextrin and β-glucan in wort and beer were determined using the Total Starch HK assay kit (Megazyme) and the β-glucan assay kit, following the instructions provided in the respective manuals.
(1) Sample preparation
Non-starch polysaccharides in wort and beer were separated following the method by Li et al. (2019). Wort or degassed beer was centrifuged at 5,000×g for 10 min; 5 mL supernatant was mixed thoroughly with four volumes of ethanol and left to stand overnight at 4°C. The supernatant was discarded by centrifugation at 5,000×g for 10 min, and the precipitate was dissolved in 4.8 mL of 100-mM sodium acetate buffer (pH 5.0). Amyl glucosidase (66 U) was added, and the mixture was incubated in a water bath at 50°C for 30 min, followed by boiling for 10 min to deactivate enzyme and solidify soluble protein. The precipitate was removed by centrifugation at 5,000×g for 10 min, and the supernatant was precipitated with 80% ethanol for 60 min, and separated by centrifugation at 5,000×g for 10 min. The precipitate was washed twice with 95% ethanol and vacuum-dried at 45°C to obtain NSP samples.
(2) Determination of NSP content
The NSPs isolated from wort and beer were hydrolyzed into monosaccharides, which were derivatized into their corresponding alditol acetates as described by Li et al. (2020a). The alditol acetates were then separated on a DM-2330 column (30 m × 0.32 mm × 0.2 μm; DIKMA, Beijing, China) using a gas chromatograph (GC-2010 Plus, Shimadzu, Kyoto, Japan) equipped with an autosampler, a splitter injection port (split ratio 1:14), and a flame ionization detector. Nitrogen was used as a carrier gas. The separation was carried out at 240°C, with injection and detection temperatures set at 250°C and 260°C, respectively. Calibration curves were prepared using monosaccharide standards, including L-arabinose (Ara), D-xylose (Xyl), D-mannose (Man), D-galactose (Gal), and D-glucose (Glc), with correlation coefficients (R2) of at least 0.998.
Total NSP content was calculated based on monosaccharide concentrations (mg/L) determined by the GC method, using the Equation (1):
NSPs (mg/L) = 0.9 × (Glc + Man + Gal) + 0.88 × (Xyl + Ara)(1)
Factors of 0.88 and 0.90 were applied to account for the incorporation of water during the hydrolysis of pentose and hexose sugars, respectively (Englyst and Cummings, 1984). The AX content was calculated according to Equation (2), with adjustments made for Ara bound to arabinogalactan (AG):
AX (mg/L) = 0.88 × (Ara – 0.7 × Gal + Xyl)(2)
The AG content was determined using Equation (3) (Loosveld et al., 1997), with the ratio of Ara to Gal set at 0.70:1 (Fincher and Stone, 1974):
AG (mg/L) = 0.9 × Gal + 0.88 × 0.7 × Gal(3)
The content of mannose polymer (MP) was calculated using Equation (4):
MP (mg/L) = 0.9 × Man(4)
The NSPs isolated from wort and beer were dialyzed using a 3,500-Da dialysis bag for 72 hand lyophilized. The samples were then dissolved in a mobile phase at a concentration of 2 mg/mL and filtered through a 0.45-μm membrane (Li et al., 2019). The molecular weight distribution of NSP solutions was analyzed by high-performance size exclusion chromatography (HPSEC) using a TSK protective column (4.6 mm × 35 mm) and TSKgel G3000 PWXL and TSKgel G4000 PWXL columns (7.8 mm × 300 mm) connected in series. The column temperature was maintained at 30°C. A refractive index detector (RID-10A, Shimadzu Corporation, Japan) was used for detection at 40°C. The mobile phase, consisting of 100-mM NaNO3, had a flow rate of 0.4 mL/min, with an injection volume of 20 μL. Pullulan standards with molecular weights ranging from 342 Da to 710,000 Da were used to prepare the calibration curve, which was given by Equation (5):
Y = –2.957931 × 10–4X3 + 3.392729 × 10–2X2 – 1.414658X + 25.60980 (R2 = 0.99964).
All data were obtained in triplicate and were expressed as mean values ± standard deviation of triplicates. Data analysis was performed using SPSS Statistics 22.0. Analysis of variance (ANOVA) and Tukey’s post hoc test was used to compare differences in mean values, with a significance level of P < 0.05. Additionally, data were analyzed using Pearson’s correlation (two-tailed test), with P < 0.05 considered significant.
The physicochemical indexes of beers are shown in Table 3. The original extract was 11.5 ± 0.2 °P, with no significant difference observed. However, the real extract ranged from 3.70% (m/m) to 4.00% (m/m), and the alcohol content ranged from 4.87% (v/v) to 5.22% (v/v). These differences were statistically significant because of variations in fermentation degree, which depended on the content of fermentable sugars in the wort. This, in turn, was closely related to the malt used for brewing and the mashing process.
Table 3. Physicochemical indices of wheat beers brewed by different wheat malt proportion and mashing process.
| No. | Original extract (oP) | Real extract (% m/m) | Real degree of fermentation (%) | Alcohol (% v/v) |
|---|---|---|---|---|
| 1. | 11.5±0.0a | 3.92±0.00a | 67.1±0.0c | 4.94±0.01b |
| 2. | 11.5±0.0a | 3.77±0.00b | 68.5±0.1b | 5.06±0.02a,b |
| 3. | 11.4±0.0a | 3.74±0.01b | 68.4±0.1b | 4.99±0.02a,b |
| 4. | 11.6±0.2a | 3.71±0.01b | 69.4±0.4a | 5.19±0.11a |
| 5. | 11.6±0.1a,b | 3.70±0.01c | 69.6±0.1a | 5.21±0.04a |
| 6. | 11.8±0.1a | 3.83±0.01b | 68.9±0.1b | 5.22±0.04a |
| 7. | 11.7±0.1a,b | 3.87±0.01b | 68.3±0.1c | 5.15±0.04a |
| 8. | 11.5±0.0b | 3.92±0.00a | 67.3±0.1d | 4.98±0.01b |
| 9. | 11.3±0.1a | 3.81±0.00b | 67.6±0.2a | 4.93±0.04a |
| 10. | 11.4±0.1a | 4.00±0.03a | 66.3±0.6b | 4.87±0.10a |
| 11. | 11.3±0.0a | 3.67±0.01c | 68.9±0.0a | 5.01±0.02a |
| 12. | 11.5±0.0a | 3.76±0.01b | 68.6±0.0a | 5.05±0.00a |
| 13. | 11.2±0.0b | 3.70±0.01c | 68.4±0.0a | 4.93±0.00a |
| 14. | 11.3±0.0b | 3.70±0.01c | 68.5±0.0a | 4.96±0.01a |
| 15. | 11.5±0.1a | 3.96±0.01a | 67.0±0.1c | 4.95±0.04a |
| 16. | 11.5±0.0a | 3.87±0.01b | 67.6±0.0b | 4.97±0.01a |
| 17. | 11.3±0.1a | 3.87±0.02a | 67.1±0.1b | 4.86±0.01b |
| 18. | 11.4±0.0a | 3.72±0.01b | 68.8±0.1a | 5.05±0.03a |
The difference analysis was performed on groups with the same wheat malt proportion.
Different lowercase superscripted letters in the same column of each group indicate significant difference (P < 0.05).
Differences between sample No. 17 (pure wheat malt beer) and No. 18 (pure barley malt beer) were analyzed.
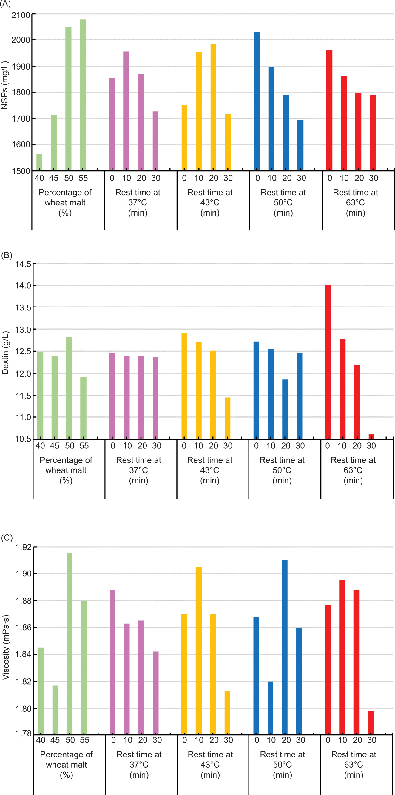
The content of NSPs, dextrin, and viscosity of wort and wheat beer prepared with different proportions of wheat malt and mashing processes are shown in Table 4. The range analysis of the mashing parameters in orthogonal experiment, affecting NSP content, dextrin content, and viscosity of wort, is presented in Figure 1. The influencing factors included A: proportion of wheat malt, B: resting time at 37°C, C: resting time at 43°C, D: resting time at 50°C, and E: resting time at 63°C.
Table 4. Comparison of non-starch polysaccharides (NSPs) and dextrin contents in wort and wheat beer, and their viscosity.
| No. | NSPs (mg/L) | Dextrin (g/L) | Viscosity (mPa•s) | |||
|---|---|---|---|---|---|---|
| Wort | Beer | Wort | Beer | Wort | Beer | |
| 1. | 1753±8b | 1713±20b | 14.99±0.04a | 8.77±0.14a | 1.89±0.00b | 1.59±0.00a,b |
| 2. | 1822±14a | 1771±13a | 13.31±0.16b | 7.84±0.07b | 1.87±0.00c | 1.59±0.01a |
| 3. | 1598±19c | 1555±20c | 11.84±0.18c | 7.07±0.04c | 1.92±0.01a | 1.58±0.00b |
| 4. | 1084±20d | 1024±24d | 9.79±0.27d | 6.51±0.03d | 1.70±0.00d | 1.57±0.00c |
| 5. | 1692±19c | 1614±7b | 10.44±0.35c | 6.98±0.14c | 1.86±0.00a | 1.60±0.00a |
| 6. | 1502±25d | 1354±18c | 12.75±0.24b | 6.96±0.06c | 1.84±0.00b | 1.61±0.00a |
| 7. | 1788±7b | 1646±30b | 12.11±0.29b | 7.40±0.07b | 1.80±0.00c | 1.60±0.00a |
| 8. | 1874±21a | 1778±11a | 14.20±0.07a | 8.93±0.06a | 1.77±0.00d | 1.59±0.00b |
| 9. | 2038±14b | 1842±27a,b | 13.45±0.23a | 7.14±0.00b | 1.97±0.00a | 1.58±0.00b |
| 10. | 2063±22b | 1819±17b | 12.92±0.22a | 8.54±0.13a | 1.92±0.00b | 1.60±0.00a |
| 11. | 1948±16c | 1747±10c | 11.71±0.14b | 7.23±0.18b | 1.81±0.00c | 1.58±0.00b |
| 12. | 2150±10c,a | 1885±10a | 13.21±0.30a | 7.31±0.01b | 1.96±0.00a | 1.60±0.00a |
| 13. | 1934±19c | 1703±5c | 10.98±0.35c | 6.67±0.08b | 1.83±0.00c | 1.59±0.00b |
| 14. | 2431±38a | 2056±18a | 10.55±0.10c | 6.85±0.15b | 1.82±0.00d | 1.61±0.00a |
| 15. | 2149±24b | 1879±17b | 13.86±0.07a | 9.38±0.22a | 1.93±0.00b | 1.61±0.00a |
| 16. | 1798±26d | 1679±27c | 12.23±0.11b | 8.63±0.25a | 1.94±0.00a | 1.59±0.00b |
| 17. | 2578±29a | 2239±42a | 11.42±0.24a | 8.21±0.04a | 2.04±0.00a | 1.67±0.00a |
| 18. | 1467±25b | 1318±30b | 9.62±0.24b | 7.42±0.21b | 1.71±0.00b | 1.52±0.00b |
The wort and beer samples prepared with the same wheat malt proportion were compared as a group for difference analysis separately.
Different lowercase superscripted letters in the same column of each group indicated significant difference (P < 0.05).
Differences between sample 17 (pure wheat malt beer) and 18 (pure barley malt beer) were analyzed.
Figure 1. Range analysis of mashing parameters of orthogonal experiment affecting (A) non-starch polysaccharides (NSPs) content, (B) dextrin content, and (C) viscosity of wort.
As shown in Table 4, the content of NSPs in pure wheat malt wort was maximum (2,578 ± 29 mg/L), followed by mixed wort, which ranged from 1,502 mg/L to 2,431 mg/L, except for sample No. 4, which had a level of 1,084 ± 20 mg/L. The lowest NSP content was found in pure barley malt wort (1,467 ± 25 mg/L). In beer, maximum NSP content was found in pure wheat malt beer (2,239 ± 42 mg/L), which was significantly higher (P < 0.05) than in pure barley malt beer (1,318 ± 30 mg/L) and wheat beer prepared with mixed malt, which ranged from 1,354 mg/L to 2,056 mg/L, except for 1,024 ± 24 mg/L in sample No. 4.
The NSP content in wort increased with the proportion of wheat malt, rising from 40% to 55%, indicating that wheat malt contains higher NSPs than barley malt (Li et al., 2020b). In each group with the same proportion of wheat malt, significant differences (P < 0.05) were observed, suggesting that resting temperature and time had an important role in the dissolution of NSPs from malt. Furthermore, the NSP content in beer was lower than that in the corresponding wort, probably because of the covalent bonding of ferulic acid with AX, forming polymers that gradually precipitated during fermentation (Carvalho and Guido, 2022; Han, 2000). The main chain of AX is composed of D-xylose connected via β-1,4-glucosidic bonds, with L-arabinose forming side chains through single or double substitutions on xylose residues. Ferulic acid is linked to the L-arabinose side chain by ester bonds (Xiao et al., 2023).
As shown in Figure 1A, the factors affecting NSP content in wort were placed in the following order: A > D > C > B > E. The proportion of wheat malt (A) was the primary influencing factor, followed by resting time at 50°C (D) and 43°C (C). Prolonging the resting time at 50°C led to a decrease in NSP content, while extending the resting time at 43°C from 0 min to 20 min increased soluble NSP content in wort. The highest NSP content was achieved when the proportion of wheat malt was 55%, with a mashing process that involved resting at 37°C for 10 min, at 43°C for 20 min, at 63°C for 30 min, and then heating up to 70°C to finish mashing.
During mashing, cell wall NSPs in malt were degraded by the endogenous enzymes of malt, including xylanase and β-glucanase. In addition to these enzymes, amylase, protease, and other hydrolases were formed and activated during the germination process of barley into malt (Sungurtas et al., 2004). Studies have shown that the optimal temperature range for endogenous xylanase and β-glucanase activity was between 40°C and 50°C (Comino et al., 2016; Kanauchi et al., 2011). Therefore, resting at 43°C for an appropriate duration facilitated the degradation of AX and β-glucan into wort, contributing to the higher NSP content in wort during mashing.
As shown in Table 4, the dextrin content in pure wheat malt wort (11.42 ± 0.24 g/L) was significantly higher (P < 0.05) than that in pure barley malt wort (9.62 ± 0.24 g/L). In the corresponding beers, dextrin content decreased to 8.21 ± 0.04 g/L and 7.42 ± 0.21 g/L, respectively. For mixed wort, the dextrin content ranged from 9.79 g/L to 14.99 g/L, and in the case of corresponding wheat beers, it ranged from 6.51 g/L to 9.38 g/L. These findings were consistent with the previous research on commercial beer (Li et al., 2020a). Differences in dextrin content between barley and wheat could be attributed to the varying starch content and structure in the grains. Wheat starch accounts for 53–70% of its composition whereas barley starch makes up 55–65%. Wheat starch has a higher proportion of amylose and lower proportion of amylopectin than barley starch (Faltermaier et al., 2014). From the data, it is evident that dextrin utilization during fermentation was only 28–47%. This suggests that only small molecular dextrins are fermentable by yeast, while larger dextrins remain in the final beer. These macromolecular dextrins contribute to the beer’s body and palate fullness, which is observed in other studies as well (Michiels et al., 2024a; Yu et al., 2020).
As shown in Figure 1B, the factors affecting dextrin content in wort were ranked in the following order based on the range analysis: E > C > A > D > B. The resting time at 63°C was identified as the most influential factor, followed by resting time at 43°C and the proportion of wheat malt. As shown in Table 4, significant differences were observed in dextrin content of wort for each group with the same malt ratio. This variability is attributed to how the mashing process influences the composition of carbohydrates in wort and the yield of extract (Lu and Li, 2006; Yu et al., 2020). The optimal temperature for β-amylase is 63°C, which breaks down starch into maltose and β-boundary dextrin. Meanwhile, α-amylase operates optimally at 70°C and breaks down starch into short-chain dextrin, maltose, and isomaltose. Additionally, 43°C is considered the ideal temperature for maltase, which further influences breakdown of dextrin during mashing (Song et al., 2021). Therefore, the observed differences in dextrin content are influenced by these enzyme activities and the mashing parameters.
From the data shown in Table 4, the viscosity of pure wheat malt wort was 2.04 mPa•s, which was significantly higher (P < 0.05) than that of pure barley malt wort (1.71 mPa•s). After fermentation, the viscosity of pure wheat malt beer decreased to 1.67 mPa•s, while the viscosity of pure barley malt beer decreased to 1.52 mPa•s. For mixed wort, the viscosity ranged from 1.70 to 1.97 mPa•s, and the corresponding wheat beer exhibited a viscosity between 1.57 mPa•s and 1.61 mPa•s. This suggested that the type of malt used in the wort significantly affected its viscosity, likely because of differences in the molecular structure and composition of polysaccharides and dextrins. The viscosity reduction during fermentation could be attributed to the breakdown of larger molecules into smaller fermentable sugars, which could be metabolized by yeast, leading to a decrease in the viscosity of final beer.
As exhibited in Figure 1C, the factors affecting the viscosity of wort were placed as follows: A = E > C > D > B, with the proportion of wheat malt (A) and the resting time at 63°C (E) being the key factors. When the proportion of wheat malt was 50%, the viscosity of the wort was maximum, accompanied by high levels of NSPs and dextrin. Furthermore, when the resting time at 63°C exceeded 20 min, there was a sharp decrease in the viscosity of wort. This decrease was probably due to the breakdown of starch, facilitated by the action of enzymes, such as amylase, which operates most efficiently at 63°C. This enzyme broke down starch into smaller dextrins and fermentable sugars, resulting in reduced wort viscosity. The breakdown of starch at higher temperatures contributed to the thinning of wort, as larger molecules were converted into smaller and less viscous components.
The correlation analysis presented in Table 5 indicates that the viscosity of both wort and beer is significantly (P < 0.01) correlated with NSP content (R = 0.493) and positively (P < 0.01) correlated with the content of dextrin (R = 0.878). This finding aligned with the results from previous studies, including that of Li et al. (2020b), where a similar correlation between beer viscosity and carbohydrate content was observed. Sadosky et al. (2002) also found that the content of AX and β-glucan could influence the viscosity of wort, with larger macromolecular dextrins contributing to increased viscosity. These polysaccharides had a significant role in modifying the rheological properties of wort and beer, and are crucial for both brewing process and final product characteristics, such as mouthfeel and palate fullness. Viscosity is a good predictor of the palate fullness of beer. Dextrin and high-molecular weight AX can improve perceived palate fullness (Michiels et al., 2024a, 2024b).
Table 5. Correlation analysis between the contents of non-starch polysaccharides (NSPs) and dextrin in wort and beer, and their viscosity.
| NSPs content | Dextrin content | Viscosity | |
|---|---|---|---|
| NSPs content | 1 | 0.368* | 0.493** |
| Dextrin content | 1 | 0.878** | |
| Viscosity | 1 |
Notes: Data were analyzed by Pearson’s correlation (double-tailed test), the number of samples (n = 36), including wort and beer.
*Significant correlation at level P < 0.05.
**Significant correlation at level P < 0.01.
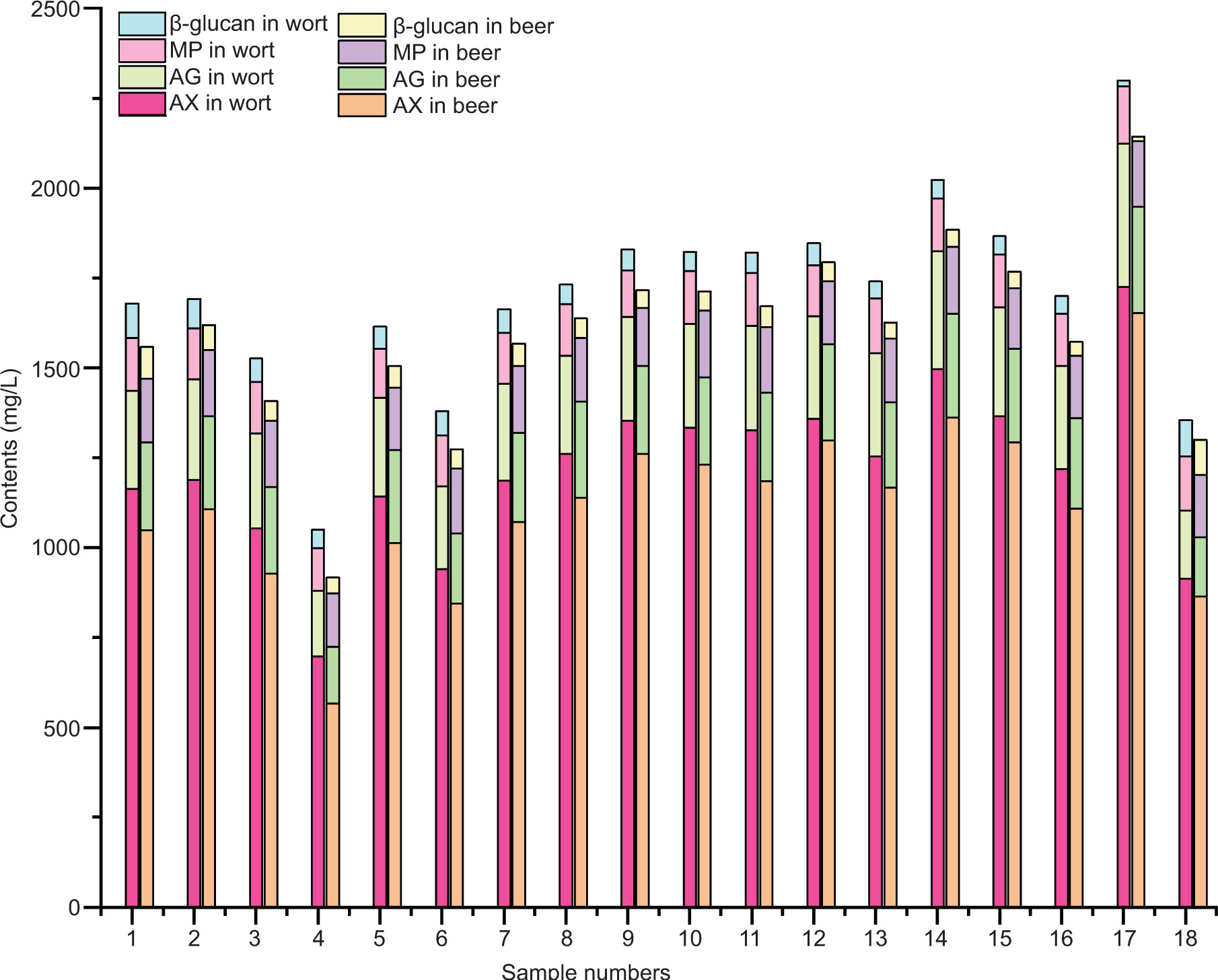
The composition and content of NSPs in wort and wheat beer, as shown in Figure 2, revealed that AX is the most abundant component, followed by AG, MP, and β-glucan. In pure wheat malt wort (No. 17), the AX content was significantly higher (1,725 mg/L) than that in pure barley malt wort (No. 18), which was 913 mg/L. In the corresponding beers, the AX content remained high at 1,652 mg/L in pure wheat malt beer, while it was 865 mg/L in pure barley malt beer. For mixed malt wort, the AX content ranged from 940 mg/L to 1,496 mg/L, and the corresponding wheat beer contained 845 mg/L to 1,362 mg/L. However, sample No. 4 had notably lower AX content, with values of 698 mg/L in wort and 566 mg/L in beer, even lower than the values in pure barley malt beer (865 mg/L). It is worth noting that AX constitutes approximately 70% of the total NSPs (Boukid, 2024), underscoring its critical role in the overall NSP profile.
Figure 2. Main composition of non-starch polysaccharides (NSPs) in wort and wheat beer, including AX, AG, MP, and β-glucan and their content.
As shown in Figure 2, AG content in pure wheat malt wort was 399 mg/L, significantly higher than the 191 mg/L in pure barley malt wort. This content decreased in the corresponding beer, with 296 mg/L in pure wheat malt beer and 164 mg/L in pure barley malt beer. For mixed wort and the corresponding wheat beer, the AG content ranged from 182 mg/L to 329 mg/L in wort and from 159 mg/L to 289 mg/L in beer. In contrast to AX and AG, the MP content was higher in beer (169–186 mg/L) than that in wort (142–158 mg/L). The β-glucan content was higher in pure barley malt wort and beer (101 mg/L and 98 mg/L, respectively) than that in pure wheat malt wort and beer (17 mg/L and 13 mg/L, respectively). For mixed wort, the β-glucan content ranged from 48 mg/L to 95 mg/L, and in the corresponding beer, it ranged from 39 mg/L to 87 mg/L.
In conclusion, the content of AX and AG in pure wheat malt wort was higher than in pure barley malt wort, while the content of β-glucan was the opposite, with the MP content being similar in both control groups. In mixed wort, the composition levels fell between those of the pure wheat malt and the pure barley malt wort, showing that the content of NSPs was influenced not only by the proportion of wheat malt but also by the mashing process. Studies have shown that water-extracted AX content peaks at 45°C and stabilizes at 68°C (Krahl et al., 2009). The content of AX and AG in beer was lower than in wort, which could be due to the breakdown of some polysaccharides into smaller sugars that are utilized by yeast during fermentation. Additionally, macromolecular pentosans and β-glucan may aggregate and form gelatinous precipitates over time (Böhm and Kulicke, 1999). Schwarz and Han (1995) reported that the AX content in commercial beer ranged from 514 mg/L to 4211 mg/L, accounting for about 10% of the total carbohydrates in beer. However, a recent study conducted by Michiels et al. (2024b) found that malt selection resulted in a range of AX content from 1.0 g/L to 2.0 g/L in beer. Our previous study also showed that malt difference in brewing can result in significant differences in AX content, ranging from 0.79 g/L to 1.95 g/L in beer, with wheat beer having an AX content of over 10 times higher than β-glucan (Li et al., 2020b).
The molecular weight distribution of NSPs in wort, as shown in Table 6, revealed distinct differences between pure wheat malt and pure barley malt wort. In pure wheat malt wort, the most abundant NSP component was segment IV, with an average molecular weight of 24.48 kDa, which was significantly higher (P < 0.05) than the proportion in pure barley malt wort (40.91 ± 0.02%). Segment IV accounted for 46.73 ± 0.35% of total NSPs, compared to segment III, which had a molecular weight of 85.68 kDa, accounting for 19.68 ± 0.16% of total NSPs in wheat malt wort. This proportion was significantly higher than the 16.13 ± 0.41% found in pure barley malt wort, where segment III had a molecular weight of 76.51 kDa.
Table 6. Molecular weight distribution of non-starch polysaccharides (NSPs) in wort.
| No. | I | II | III | IV | V | VI | |||||
|---|---|---|---|---|---|---|---|---|---|---|---|
| >805 kDa | 300–400 kDa | 50–100 kDa | 10–50 kDa | 5–10 kDa | <1 kDa | ||||||
| % | Mw | % | Mw | % | Mw | % | Mw | % | Mw | % | |
| 1. | 2.19±0.02b | 365.81 | 11.79±0.29a | 86.78 | 20.80±0.11a | 24.20 | 41.97±0.29b | 6.94 | 20.68±0.23b | 0.84 | 2.57±0.15b |
| 2. | 3.59±0.25a | 357.05 | 10.77±0.26b | 86.67 | 19.33±0.36b | 24.23 | 44.05±0.11a,b | 6.85 | 19.05±0.26c | 0.81 | 2.21±0.20b |
| 3. | 2.36±0.22b | 370.86 | 9.73±0.25c | 85.56 | 19.29±0.22b | 24.06 | 45.53±0.39a | 7.00 | 20.42±0.06b | 0.84 | 2.68±0.08b |
| 4. | 3.52±0.18a | 365.31 | 7.88±0.18d | 85.04 | 16.66±0.21c | 24.03 | 45.22±0.29a | 6.96 | 23.06±0.06a | 0.88 | 3.65±0.02a |
| 5. | 4.87±0.15a | 358.8 | 9.76±0.06a | 86.48 | 18.24±0.08a,b | 24.27 | 43.93±1.50a | 7.15 | 20.26±0.02b | 0.83 | 2.45±0.53a |
| 6. | 2.09±0.08c | 364.76 | 9.25±0.08b | 85.68 | 19.13±0.23a | 24.22 | 45.89±0.28a | 7.05 | 22.01±0.03a | 0.83 | 1.63±0.18a |
| 7. | 1.83±0.18c | 359.99 | 8.93±0.36b | 84.27 | 19.16±0.20a | 24.11 | 46.12±0.28a | 7.07 | 21.76±0.11a | 0.86 | 2.19±0.01a |
| 8. | 3.35±0.30b | 345.68 | 8.93±0.42b | 82.88 | 17.30±0.35b | 24.09 | 46.39±0.36a | 6.88 | 21.70±0.50a | 0.85 | 2.32±0.21a |
| 9. | 2.17±0.14c | 360.15 | 9.52±0.45b | 84.03 | 18.32±0.45a | 24.34 | 45.72±0.35a | 7.03 | 22.04±0.37a | 0.84 | 2.23±0.31b |
| 10. | 3.92±0.43b | 391.51 | 12.06±0.02a | 86.14 | 17.09±0.10b | 24.17 | 42.11±0.29b | 6.78 | 21.67±0.00a,b | 0.92 | 3.14±0.03a |
| 11. | 5.17±0.14a | 362.47 | 10.22±0.19b | 86.15 | 18.87±0.23a | 24.46 | 44.79±0.25a | 7.06 | 18.91±0.11c | 0.91 | 2.04±0.14b |
| 12. | 2.05±0.03c | 363.64 | 9.62±0.04b | 85.65 | 19.46±0.23a | 24.42 | 45.87±0.14a | 7.11 | 21.08±0.17b | 0.88 | 1.91±0.13b |
| 13. | 4.01±0.09a | 359.22 | 10.50±0.02a | 85.72 | 19.10±0.21a | 24.40 | 45.42±0.32a | 7.23 | 18.12±0.16d | 0.95 | 2.84±0.03b |
| 14. | 2.06±0.08c | 358.16 | 10.26±0.03a | 84.16 | 19.01±0.21a | 24.40 | 45.16±0.13a | 6.88 | 20.38±0.13c | 0.86 | 3.13±0.06a,b |
| 15. | 3.37±0.00b | 357.23 | 8.95±0.02b | 84.43 | 17.63±0.01b | 24.25 | 45.54±0.01a | 6.79 | 21.09±0.17b | 0.87 | 3.41±0.15a |
| 16. | 3.47±0.09b | 364.53 | 8.78±0.18b | 85.32 | 17.78±0.02b | 24.21 | 45.48±0.28a | 6.78 | 21.70±0.11a | 0.89 | 2.79±0.08b |
| 17. | 1.75±0.09b | 355.15 | 9.70±0.07b | 85.68 | 19.68±0.16a | 24.48 | 46.73±0.35a | 6.69 | 19.27±0.32b | 0.88 | 2.87±0.17a |
| 18. | 6.38±0.33a | 326.19 | 13.65±0.04a | 76.51 | 16.13±0.41b | 24.47 | 40.91±0.02b | 7.09 | 20.70±0.25a | 0.89 | 2.24±0.12b |
Mw: weight-average molecular weight.
The difference analysis was performed on groups with the same wheat malt proportion, and different superscripted lowercase letters in the same column of each group indicate significant difference (P < 0.05).
Differences between sample No. 17 (pure wheat malt beer) and No. 18 (pure barley malt beer) were analyzed.
Segment V, with a molecular weight of 6.69 kDa, accounted for 19.27 ± 0.32% of NSPs in wheat malt wort, slightly lower than the 20.70 ± 0.25% in pure barley malt wort, which had a molecular weight of 7.09 kDa. Segment II, with a molecular weight of 355.15 kDa in wheat malt wort, was higher than the 326.19 kDa of pure barley malt wort but accounted for a smaller proportion (9.70 ± 0.07%), compared to 13.65 ± 0.04% in barley malt wort, where the molecular weight of segment II was also higher. Segment I, with molecular weight >805 kDa, accounted for 1.75 ± 0.09% of NSPs in wheat malt wort, significantly lower than the 6.38 ± 0.33% in pure barley malt wort. In conclusion, barley malt wort had a higher proportion of high molecular weight segments I and II, while wheat malt wort had a higher proportion of medium molecular weight segments III and IV. The proportions of low-molecular weight segments V and VI were similar between the two malt types. These differences indicated that the molecular weight distribution of NSPs in barley malt and wheat malt varied significantly.
In the mixed wort, segment IV, with a molecular weight ranging from 24.03 kDa to 24.46 kDa, was the most abundant NSP component, accounting for 41.97% to 46.39% of the total NSPs. This was followed by segment V, with a molecular weight of 6.78–7.23 kDa, accounting for 18.12–23.06%, and segment III, with a molecular weight of 82.88–86.78 kDa, accounting for 16.66–20.80%. These proportions varied depending on the proportion of wheat malt used in the mashing process. Notably, in sample No. 14, which had the highest NSP content, the proportion of segment I was relatively low, while the proportions of segments II, III, and IV were higher. This suggested that the mashing process facilitated the moderate degradation of NSPs into molecules with appropriate molecular weights, enhancing the overall NSP content in wort. These results aligned with the findings of previous studies (Michiels et al., 2024b), which indicated that mashing conditions significantly influenced the decomposition of NSPs. The composition and molecular weight of NSPs play a crucial role in the filtration performance of wort, which has significant implications for the beer brewing industry (Lu and Li, 2006). The proper control of these factors can improve wort quality and beer clarity, influencing the brewing process and the final product characteristics.
The molecular weight distribution of NSPs in beer is summarized in Table 7. In pure wheat malt beer, the molecular weight of segment IV was 24.88 kDa, which was comparable to that of pure barley malt beer (24.57 kDa). However, the proportion of segment IV in pure wheat malt beer (44.16 ± 0.45%) was significantly higher than in pure barley malt beer (38.13 ± 1.08%). This suggested that wheat malt contributed a higher proportion of this segment in the final beer. The molecular weight of segment III in pure wheat malt beer was 87.17 kDa, which was also higher than that in pure barley malt beer (77.68 kDa), and the proportion in wheat malt beer was 19.92 ± 0.24%, compared to 16.25 ± 0.13% in barley malt beer. This indicated that NSPs in wheat malt beer contain more of these medium-sized molecules than in barley malt beer. For segment V, the molecular weight was 6.88 kDa in pure wheat malt beer, slightly lower than in pure barley malt beer (6.95 kDa), but the proportion of segment V in wheat malt beer (17.24 ± 0.37%) was lower than in barley malt beer (19.52 ± 0.42%). Similarly, the molecular weight of segment II in pure wheat malt beer was 355.18 kDa, slightly higher than in pure barley malt beer (325.60 kDa). However, the proportion of segment II in wheat malt beer (12.16 ± 0.14%) was significantly lower than in barley malt beer (17.80 ± 0.07%). These findings suggested that the molecular weight distribution of NSPs in beer was influenced by the type of malt used, with wheat malt beer containing higher proportions of medium-sized NSPs (segments IV and III) but lower proportions of larger molecular weight segments (segment II), compared to barley malt beer.
Table 7. Molecular weight distribution of non-starch polysaccharides (NSPs) in wheat beers.
| No. | I | II | III | IV | V | VI | |||||
|---|---|---|---|---|---|---|---|---|---|---|---|
| >805 kDa | 300–400 kDa | 50–100 kDa | 10–50 kDa | 5–10 kDa | <1 kDa | ||||||
| % | Mw | % | Mw | % | Mw | % | Mw | % | Mw | % | |
| 1. | 4.08±0.52a | 354.96 | 12.26±0.14b | 86.31 | 20.84±0.51b | 24.79 | 44.36±0.40a | 7.14 | 15.66±0.09b | 0.95 | 2.79±0.61b |
| 2. | 4.71±0.51a | 356.49 | 13.63±0.03a | 86.08 | 20.34±0.66b | 24.90 | 43.31±1.05a,b | 7.20 | 15.51±0.55b,c | 0.95 | 2.50±0.46b |
| 3. | 1.74±0.16b | 346.52 | 11.93±0.13b | 80.07 | 25.68±0.40a | 23.32 | 41.14±0.23b | 7.47 | 14.10±0.08c | 1.08 | 5.41±0.06a |
| 4. | 3.77±0.45a | 345.99 | 12.97±0.55a,b | 83.87 | 18.69±0.61b | 24.65 | 43.91±0.77a,b | 7.04 | 17.74±0.47a | 0.91 | 3.08±0.07b |
| 5. | 4.83±0.51b | 355.94 | 12.89±0.33c | 86.84 | 20.43±0.32a | 24.73 | 43.51±0.48a | 7.20 | 16.25±0.19a | 0.95 | 2.09±0.15b |
| 6. | 4.73±0.33b | 350.22 | 15.15±0.22b | 83.01 | 18.62±0.06a | 24.74 | 43.47±0.52a | 7.22 | 16.06±0.35a | 0.92 | 1.97±0.26b |
| 7. | 6.83±0.42a | 351.00 | 19.31±0.45a | 78.62 | 15.93±0.65b | 24.96 | 40.20±0.15b | 6.97 | 13.41±0.06b | 0.98 | 4.32±0.28a |
| 8. | 5.78±0.51a,b | 359.28 | 13.46±0.10c | 84.85 | 18.78±0.60a | 24.75 | 43.66±0.80a | 7.18 | 15.60±0.36a | 1.00 | 2.72±0.44b |
| 9. | 4.28±0.10b | 359.28 | 13.76±0.19a,b | 85.35 | 19.60±0.13a,b | 24.82 | 44.23±0.69a | 7.18 | 15.40±0.29b | 0.93 | 2.73±0.24a,b |
| 10. | 5.53±0.42a | 358.70 | 12.68±0.12b | 85.29 | 18.56±0.50b | 24.77 | 43.11±0.19a | 7.16 | 17.33±0.03a | 0.98 | 2.79±0.36a |
| 11. | 5.88±0.14a | 363.22 | 14.58±0.51a | 86.38 | 19.89±0.39a,b | 25.01 | 41.57±0.69a | 6.98 | 16.25±0.28a,b | 0.90 | 1.83±0.15a,b |
| 12. | 5.31±0.21a | 360.71 | 13.64±0.18a,b | 86.73 | 20.64±0.14a | 24.99 | 43.15±0.90a | 7.24 | 15.54±0.39b | 0.90 | 1.72±0.25b |
| 13. | 4.80±0.00a | 355.05 | 12.38±0.10c | 86.90 | 19.60±0.34a | 24.82 | 43.64±0.34a | 7.03 | 17.11±0.39a | 0.96 | 2.47±0.24b |
| 14. | 5.30±0.22a | 358.45 | 13.78±0.09a | 86.18 | 19.36±0.01a | 24.96 | 42.48±0.14a | 6.97 | 15.59±0.14b | 0.99 | 3.48±0.28a |
| 15. | 5.07±0.07a | 361.11 | 12.60±0.39b,c | 86.45 | 19.54±0.24a | 24.89 | 43.57±0.50a | 7.18 | 16.58±0.01a,b | 0.94 | 2.64±0.06b |
| 16. | 5.01±0.38a | 362.10 | 13.40±0.14a,b | 85.32 | 18.81±0.17a | 24.67 | 43.26±0.33a | 7.02 | 17.03±0.58a,b | 0.92 | 2.48±0.16b |
| 17. | 4.34±0.04b | 355.18 | 12.16±0.14b | 87.17 | 19.92±0.24a | 24.88 | 44.16±0.45a | 6.88 | 17.24±0.37b | 0.91 | 2.18±0.14a |
| 18. | 6.17±0.13a | 325.60 | 17.80±0.07a | 77.68 | 16.25±0.13b | 24.57 | 38.13±1.08b | 6.95 | 19.52±0.42a | 0.88 | 2.14±0.16a |
Mw: weight-average molecular weight.
The difference analysis was performed on groups with the same wheat malt proportion.
Different lowercase superscripted letters in the same column of each group indicate significant difference (P < 0.05).
Differences between sample No. 17 (pure wheat malt beer) and No. 18 (pure barley malt beer) were analyzed.
The molecular weight distribution of NSPs in wheat beer showed minimal changes, compared to wort, but some notable differences were observed in the proportions of high and low-molecular weight segments. Specifically, the proportion of segments I and II, which represented high molecular weight components, increased from 10.8% to 20.2% in wort and from 16.3% to 26.1% in final beer. In contrast, the proportions of segments IV and V, which were lower-molecular weight components, decreased in beer. These results aligned with the findings of Krebs et al. (2019), who suggested that low-molecular weight segments might aggregate into higher molecular weight components, which could then settle out slowly during fermentation. This process would contribute to a decrease in the content of these low-molecular weight components in the final beer. Despite changes in the proportions of different segments, segments III, IV, and V continued to be predominant components of NSPs in beer, accounting for 69.5–81.3% of total NSPs, which was lower than their proportion in wort (77.7–87.0%). This shift suggested that both mashing and fermentation processes affect the distribution of NSPs in beer, with some aggregation and removal of smaller molecules during fermentation.
Analysis of the correlation between the molecular weight of NSP segments and the viscosity of wort and beer revealed interesting findings. As shown in Table 8, a significant positive correlation (P < 0.05) was found between the viscosity of beer and the molecular weights of segments II (Mw = 350 kDa) and III (Mw = 85 kDa), with correlation coefficient R = 0.576 and 0.540, respectively. This suggested that the viscosity of both wort and beer was primarily influenced by NSP components with molecular weights of around 350 kDa and 85 kDa, rather than by the most abundant segment with a molecular weight of approximately 25 kDa. Despite segments II and III accounting for only about 30% of total NSPs, their larger molecular sizes appear to have a more significant impact on the overall viscosity, possibly because larger molecules contribute to the network structure of the solution and influence flow properties of the liquid.
Table 8. Correlation analysis between the molecular weight of non-starch polysaccharides (NSPs) and the viscosity of wort and beer.
| Viscosity of wort | Viscosity of beer | |
|---|---|---|
| Mw of segment II | 0.404 | 0.576* |
| Mw of segment III | 0.476* | 0.540* |
| Mw of segment IV | 0.223 | 0.270 |
| Mw of segment V | –0.408 | –0.10 |
Mw: weight-average molecular weight.
Data were analyzed by Pearson’s correlation (double-tailed test); the number of samples, n = 18.
*Significant correlation at level P < 0.05.
In our previous study, the isolation and purification of NSPs in wheat beer led to the identification of two components, PNSP-1 and PNSP-2, with distinct polysaccharide composition and molecular weights. These components were added to beer at different concentrations, and their effects on beer quality and physiological functions were evaluated. PNSP-1, which contained 88.53% AX and had a molecular weight of 83.47 kDa, was found to enhance viscosity significantly and exhibited strong hypoglycemic and hypolipidemic activities. This suggested that high AX content and specific molecular weight of PNSP-1 contributed to its ability to impact the physical properties of beer as well as its physiological effects. In contrast, PNSP-2, with a more diverse composition (46.03% AX, 41.47% AG, and 10.26% MP) and a molecular weight of 71.78 kDa, demonstrated better improvements in beer turbidity and foam stability. Additionally, PNSP-2 exhibited stronger antioxidant and prebiotic activities, highlighting its potential to improve the health benefits of beer beyond just its physical characteristics. These findings suggested that different NSP components with varying compositions and molecular weights could have distinct functional impacts on both quality of beer (Song et al., 2022) and its potential health benefits (Boukid, 2024; Hernández-Pinto et al., 2024).
The role of AX as a mouthfeel contributor in beer, as highlighted by Michiels et al. (2024a) and Langenaeken et al. (2020), adds another layer of significance to its presence in the brewing process. The molecular weight and fine structure of polysaccharides, including AX, are crucial in determining their physiological functions, as shown by the studies conducted by Akshatha et al. (2024). These factors influence not only the texture and sensory experience of the beer but also its potential health benefits. Given that the composition and molecular weight of NSPs directly impact both quality and functional properties of beer, controlling the mashing process to manipulate these factors becomes essential. By optimizing the mashing process, brewers can tailor the content and molecular weight distribution of NSPs, thus enhancing both sensory qualities (such as mouthfeel) and nutritional and physiological benefits of the beer. This highlights the importance of understanding and controlling the fine details of NSP composition and structure in the production of beer, making it a key factor in improving both its quality and health benefits.
The findings presented provide valuable insights into the effects of wheat malt proportion and mashing conditions on the composition, molecular weights distribution, and functional properties of NSPs in beer. The increase in NSP content with wheat malt proportion (from 40% to 55%) underscores the significant role of wheat in enhancing the nutritional value of beer, particularly in terms of dietary fiber content. The higher content of AX in wheat malt, followed by AG, MP, and β-glucan, indicates that wheat contributes to the richness of these polysaccharides, which are crucial for the sensory and functional qualities of beer. The mashing process, especially resting at 43–45°C for 10–20 min, was shown to promote the degradation of cell wall NSPs by endogenous malt hydrolases, thereby reducing their molecular weight and increasing their solubility and content in wort. This leads to a higher dietary fiber content in the resulting beer, which is beneficial for both beer’s nutritional profile and its mouthfeel. The molecular weight distribution of NSPs in wort, with segment IV (24.0–24.5 kDa) being the most abundant NSP component, followed by segments V (6.8–7.2 kDa) and III (76.5–86.8 kDa), indicates that these components are primarily responsible for the viscosity of wort and beer. A positive correlation between high-molecular weight NSPs and viscosity highlights the impact of these polysaccharides on the body and mouthfeel of beer, which are important factors for consumer satisfaction. Although fermentation leads to a significant decrease in NSP content, the molecular weight distribution of NSPs remains relatively unchanged, an important factor for maintaining the desired characteristics of beer. These findings emphasize the importance of controlling the mashing process to fortify soluble dietary fiber in beer, ultimately leading to the production of beer with specific sensory characteristics and functional properties.
All Authors contributed equally to this article.
None.
The study was supported by the Shandong Agriculture and Engineering University Start-Up Fund for Talented Scholars (Grant No. BSQJ202313).
Akshatha, S., Gnanesh Kumar, B.S., Mazumder K. and Eligar S.M., 2024. Structural characterization and bioactivities of maize bran feruloylated arabinoxylan and oligosaccharides obtained by a combined hydrothermal and enzymatic pre-treatment. Food Bioscience 60: 104417. 10.1016/j.fbio.2024.104417
Almaguer, C., Kollmannsberger, H., Gastl, M. and Becker, T., 2024. Influence of the malting conditions on the modification and variation in the physicochemical properties and volatile composition of barley (Hordeum vulgare L.), rye (Secale cereale L.), and quinoa (Chenopodium quinoa Willd.) malts. Food Research International 196: 114965. 10.1016/j.foodres.2024.114965
Böhm, N. and Kulicke, W.M., 1999. Rheological studies of barley (1→3)(1→4)-β-glucan in concentrated solution: mechanistic and kinetic investigation of the gel formation. Carbohydrate Research 315: 302–311. 10.1016/S0008-6215(99)00036-1
Boukid, F., 2024. Comprehensive review of barley dietary fibers with emphasis on arabinoxylans. Bioactive Carbohydrates and Dietary Fibre 31: 100410. 10.1016/j.bcdf.2024.100410
Buksa, K. and Krystyjan, M., 2019. Arabinoxylan–starch–protein interactions in specially modified rye dough during a simulated baking process. Food Chemistry 287: 176–185. 10.1016/j.foodchem.2019.02.077
Buksa, K., Łakomy, A., Nowotna, A. and Krystyjan, M., 2018. Arabinoxylan-starch-protein interactions in specially modified rye dough during a simulated fermentation process. Food Chemistry 253: 156–163. 10.1016/j.foodchem.2018.01.153
Cao, W., Baumert, J.L. and Downs, M.L., 2020. Compositional and immunogenic evaluation of fractionated wheat beers using mass spectrometry. Food Chemistry 333: 127379. 10.1016/j.foodchem.2020.127379
Carvalho, D.O. and Guido, L.F., 2022. A review on the fate of phenolic compounds during malting and brewing: technological strategies and beer styles. Food Chemistry 372: 131093. 10.1016/j.foodchem.2021.131093
Chen, X., Wang, Y., Shen, M., Yu, Q., Chen, Y., Huang, L. and Xie, J., 2021. The water soluble non-starch polysaccharides from natural resources against excessive oxidative stress: a potential health-promoting effect and its mechanisms. International Journal of Biological Macromolecules 171: 320–330. 10.1016/j.ijbiomac.2021.01.022
Comino, P., Collins, H., Lahnstein, J. and Gidley, M.J., 2016. Effects of diverse food processing conditions on the structure and solubility of wheat, barley and rye endosperm dietary fiber. Journal of Food Engineering 169: 228–237. 10.1016/j.jfoodeng.2015.08.037
Du, B., Meenu, M., Liu, H. and Xu, B., 2019. A concise review on the molecular structure and function relationship of beta-glucan. International Journal of Molecular Science 20: 4032. 10.3390/ijms20164032
Englyst, H.N. and Cummings, J.H., 1984. Simplified method for the measurement of total non-starch polysaccharides by gas–liquid chromatography of constituent sugars as alditol acetates. Analyst 109: 937–942. 10.1039/AN9840900937
Faltermaier, A., Waters, D., Becker, T., Arendt, E. and Gastl, M., 2014. Common wheat (Triticum aestivum L.) and its use as a brewing cereal—a review. Journal of Institute of Brewing 120: 1–15. 10.1002/jib.107
Fang, W., Jin, M., Qi, W., Kong, C., Song, G., Peng, W. and Wang, Y., 2024. Caffeic acid combined with arabinoxylan or β-glucan attenuates diet-induced obesity in mice via modulation of gut microbiota and metabolites. International Journal of Biological Macromolecules 268: 131683. 10.1016/j.ijbiomac.131683
Fincher, G.B. and Stone, B.A., 1974. A water-soluble arabinogalactan-peptide from wheat endosperm. Austalian Journal of Biological Sciences 27: 117–132. 10.1071/BI9740117
Han, J.Y., 2000. Structural characteristics of arabinoxylan in barley, malt, and beer. Food Chemistry 70: 131–138. 10.1016/S0308-8146(00)00075-3
He, Y., Wang, B., Wen, L., Wang, F., Yu, H., Chen, D., Su, X. and Zhang, C., 2022. Effects of dietary fiber on human health. Food Science and Human Wellness 11(1): 1–10. 10.1016/j.fshw.2021.07.001
Hernández-Pinto, F.J., Miranda-Medina, J.D., Natera-Maldonado, A., Vara-Aldama, Ó., Ortueta-Cabranes, M.P., Jorge, A, Mercado-Pardiño, V., El-Aidie, S.A.M., Siddiqui, S.A. and Castro-Muñoz, R., 2024. Arabinoxylans: a review on protocols for their recovery, functionalities and roles in food formulations. International Journal of Biological Macromolecules 259: 129309. 10.1016/j.ijbiomac.2024.129309
Hu, X., Jin, Y. and Du, J., 2019. Differences in protein content and foaming properties of cloudy beers based on wheat malt content. Journal of Institute of Brewing 125: 235–241. 10.1002/jib.550
Huang, Z., Wang, J.J., Chen, Y., Wei, N., Hou, Y., Bai, W. and Hu, S.Q., 2020. Effect of water-soluble dietary fiber resistant dextrin on flour and bread qualities. Food Chemistry 317: 126452. 10.1016/j.foodchem.2020.126452
Kanauchi, M., Ishikura, W. and Bamforth, C.W., 2011. β-Glucans and pentosans and their degradation products in commercial beers. Journal of Institute of Brewing 117: 120–124. 10.1002/j.2050-0416.2011.tb00452.x
Krahl, M., Müller, S., Zarnkow, M., Back, W. and Becker, T., 2009. Arabinoxylan and fructan in the malting and brewing process. Quality Assurance and Safety of Crops and Foods 1: 246–255. 10.1111/j.1757-837X.2009.00035.x
Krebs, G., Muller, M., Becker, T. and Gastl, M., 2019. Characterization of the macromolecular and sensory profile of non-alcoholic beers produced with various methods. Food Research International 116: 508–517. 10.1016/j.foodres.2018.08.067
Langenaeken, N.A., De Schutter, D.P. and Courtin, C.M., 2020. Arabinoxylan from non-malted cereals can act as mouthfeel contributor in beer. Carbohydrate Polymers 239: 116257. 10.1016/j.carbpol.2020.116257
Li, M., Du, J., Han, Y., Li, J., Bao, J. and Zhang, K., 2019. Non-starch polysaccharides in commercial beers on China market: Mannose polymers content and its correlation with beer physicochemical indices. Journal of Food Composition and Analysis 79: 122–127. 10.1016/j.jfca.2019.03.015
Li, M., Du, J. and Zhang, K., 2020a. Profiling of carbohydrates in commercial beers and their influence on beer quality. Journal of Science of Food and Agriculture 100: 3062–3070. 10.1002/jsfa.10337
Li, M., Du, J. and Zhang, Y., 2020b. Non-starch polysaccharides in wheat beers and barley malt beers: a comparative study. Foods 9: 131. 10.3390/foods9020131
Loosveld, A.M.A., Grobet, P.J. and Delcour, J.A., 1997. Contents and structural features of water-extractable arabinogalactan in wheat flour fractions. Journal of Agricultural and Food Chemistry 45: 1998–2002. 10.1021/jf960901k
Lu, J. and Li, Y., 2006. Effects of arabinoxylan solubilization on wort viscosity and filtration when mashing with grist containing wheat and wheat malt. Food Chemistry 98: 164–170. 10.1016/j.foodchem.2005.05.060
Marconi, O., Tomasi, I., Dionisio, L., Perretti, G. and Fantozzi, P., 2014. Effects of malting on molecular weight distribution and content of water-extractable β-glucans in barley. Food Research International 64: 677–682. 10.1016/j.foodres.2014.07.035
Michiels, P., Debyser, W., De Sutter, W., Langenaeken, N.A., Rouck, G.D. and Courtin, C.M., 2024a. Enhancing the mouthfeel of non-alcoholic beers: the influence of dextrin and arabinoxylan on perceived viscosity and body. Food Hydrocolloids 159: 110642. 10.1016/j.foodhyd.2024.110642
Michiels, P., Debyser, W., Langenaeken, N.A. and Courtin, C.M., 2024b. Impact of barley selection and mashing profile on the arabinoxylan content and structure in beer. International Journal of Biological Macromolecules 280: 136031. 10.1016/j.ijbiomac.2024.136031
Niu, C., Han, Y., Wang, J., Zheng, F., Liu, C., Li, Y. and Li, Q., 2018. Malt derived proteins: effect of protein Z on beer foam stability. Food Bioscience 25: 21–27. 10.1016/j.fbio.2018.07.003
Paula, B.P., Souza Lago, H., Firmino, L., Fernandes Lemos Júnior, W.J., Ferreira Dutra Corr̂ea, M., Fioravante Guerra, A., Signori Pereira, K. and Zarur Coelho, M.A., 2021. Technological features of Saccharomyces cerevisiae var. boulardii for potential probiotic wheat beer development. Food Science & Technology 135: 110233. 10.1016/j.lwt.2020.110233
Rakhmanberdyeva, R.K., Shashkov, A.S., Bobakulov, K.M., Azizov, D.Z., Malikova, M.K. and Ogay, D.K., 2021. The structure and prebiotic activity of arabinogalactan from Ferula Kuhistanica. Carbohydrate. Research 505: 108342. 10.1016/j.carres.2021.108342
Repin, N., Cui, S.W. and Goff, H.D., 2018. Rheological behavior of dietary fiber in simulated small intestinal conditions. Food Hydrocolloids 76: 216–225. 10.1016/j.foodhyd.2016.10.033
Sadosky, P., Schwarz, P.B. and Horsley, R.D., 2002. Effect of arabinoxylans, β-glucans, and dextrins on the viscosity and membrane filterability of a beer model solution. Journal of American Society of Brewing Chemists 60: 153–162. 10.1094/ASBCJ-60-0153
Schwarz, P.B. and Han, J.Y., 1995. Arabinoxylan content of commercial beers. Journal of American Society of Brewing Chemists 53: 157–159. 10.1094/ASBCJ-53-0157
Song, Z., Li, M., Du, J. and Zhang, K., 2021. Effects of wort preparing parameters on the composition of soluble dietary fiber in wheat beer. International Food Research Journal 28: 1245–1256. 10.47836/ifrj.28.6.16
Song, Z., Li, M., Du, J. and Zhang, K., 2022. Effects of non-starch polysaccharides from pure wheat malt beer on beer quality, in vitro antioxidant, prebiotics, hypoglycemic and hypolipidemic properties. Food Bioscience 47: 101780. 10.1016/j.fbio.2022.101780
Sungurtas, J., Swanston, J.S., Davies, H.V. and Mc Dougall, G.J., 2004. Xylan-degrading enzymes and arabinoxylan solubilization in barley cultivars of differing malting quality. Journal. of Cereal Science. 39: 273–281. 10.1016/j.jcs.2003.11.001
Tian, L., Scholte, J., Scheurink, A.J.W., Van Den Berg, M., Bruggeman, G., Bruininx, E., De Vos P., Schols, H.A. and Gruppen, H., 2019. Effect of oat and soybean rich in distinct non-starch polysaccharides on fermentation, appetite regulation and fat accumulation in rat. International Journal of Biological Macromolecules 140: 515–521. 10.1016/j.ijbiomac.2019.08.032
Wang, J., Bai, J., Fan, M., Li, T., Li, Y., Qian, H., Wang, L., Zhang, H., Qi, X. and Rao, Z., 2020. Cereal-derived arabinoxylans: structural features and structure-activity correlations. Trends in Food Science and Technology 96: 157–165. 10.1016/j.tifs.2019.12.016
Xiao, M., Jia, X., Kang, J., Liu, Y., Zhang, J., Jiang, Y., Liu, G., Cui, S.W. and Guo, Q., 2023. Unveiling the breadmaking transformation: structural and functional insights into Arabinoxylan. Carbohydrate Polymers 350: 121845. 10.1016/j.carbpol.2024.121845
Xu, J., Li, Y., Zhao, Y., Wang, D. and Wang, W., 2021. Influence of antioxidant dietary fiber on dough properties and bread qualities: a review. Journal of Functional Foods. 80: 104434. 10.1016/j.jff.2021.104434
Yu, W.W., Zhai, H.L., Xia, G.B., Tao, K.Y., Li, C., Yang, X.Q. and Li, L.H., 2020. Starch fine molecular structures as a significant controller of the malting, mashing, and fermentation performance during beer production. Trends in Food Science and Technology 105: 296–307. 10.1016/j.tifs.2020.09.010
Zannini, E., Núñez, Á.B., Sahin, A.W. and Arendt, E.K., 2022. Arabinoxylans as functional food ingredients: a review. Foods. 11: 1026. 10.3390/foods11071026