1State Key Laboratory of Discovery and Utilization of Functional Components in Traditional Chinese Medicine, School of Pharmaceutical Sciences, Guizhou Medical University, Guiyang, China;
2The Key Laboratory of Optimal Utilization of Natural Medicine Resources, School of Pharmaceutical Sciences, Guizhou Medical University, Guiyang, China
This study aimed to optimize the extraction of flavonoids from mulberry leaves and their application in functional noodles to enhance the valorization of mulberry leaf resources. The dry-up method was selected as the optimal pretreatment based on ultraviolet spectrophotometry. Ultrasonic-assisted extraction was optimized by single-factor experiments and response surface methodology (RSM). The extract was incorporated into noodles as powder, juice, or pulp at varying concentrations to assess quality attributes and antioxidant activities. The dry-up method has proved to be most effective for drying mulberry leaves. The optimal extraction conditions identified via RSM included a solid–liquid ratio of 1:40 g/mL, 56% ethanol, a temperature of 60°C, and a time of 30 min, yielding a total flavonoid content of 26.04%. Three noodle formulations were developed: mulberry leaf powder (1.0% powder, 0.5% baking soda, and 1.0% salt), mulberry leaf juice (16.0% juice, 0.3% baking soda, and 1.0% salt), and mulberry leaf pulp (20.0% pulp, 0.4% baking soda, and 1.1% salt). The flavonoid content was 1.317 ± 0.01 mg/g for mulberry leaf powder noodles, 1.603 ± 0.01 mg/g for mulberry leaf juice noodles, and 1.413 ± 0.02 mg/g for mulberry leaf pulp noodles. All noodles exhibited significant antioxidant activity, with the mulberry leaf pulp variant demonstrating the highest radical scavenging capacity against both radical cation of 2,2'-azino-bis(3-ethylbenzothiazoline-6-sulfonic acid) (ABTS+) and 2,2-diphenyl-1-picrylhydrazyl (DPPH), outperforming the other two forms. The established extraction method is efficient and applicable for producing flavonoid-enriched noodles with improved antioxidant properties. This approach supports the development of functional grain foods and offers a practical route for the high-value utilization of mulberry leaves.
Key words: antioxidant, mulberry leaf, mulberry leaf noodles, process optimization, response surface methodology, total flavonoids
*Corresponding Authors: Xiangchun Shen, State Key Laboratory of Discovery and Utilization of Functional Components in Traditional Chinese Medicine, School of Pharmaceutical Sciences, Guizhou Medical University, Guiyang, China. Email: sxc@gmc.edu.cn; Shaohuan Liu, State Key Laboratory of Discovery and Utilization of Functional Components in Traditional Chinese Medicine, School of Pharmaceutical Sciences, Guizhou Medical University, Guiyang, China. Email: liushaohuan@gmc.edu.cn
Academic Editor: Teresa D’Amore, PhD, Laboratory of Preclinical and Translational Research, IRCCS CROB, Centro di Riferimento Oncologico della Basilicata, 85028 Rionero in Vulture, Italy
Received: 7 May 2025; Accepted: 17 September 2025; Published: 30 October 2025
© 2025 Codon Publications
This is an Open Access article distributed under the terms of the Creative Commons Attribution-NonCommercial-ShareAlike 4.0 International (CC BY-NC-SA 4.0). License (http://creativecommons.org/licenses/by-nc-sa/4.0/)
Noodles represent a fundamental traditional staple in China (Ma et al., 2015). The traditional noodle dough typically comprises wheat flour, water, and salt; however, scientific analysis indicates that because of the loss of some vital nutrients during the refining process of wheat flour, traditional noodle products potentially lack essential nutrients, such as dietary fiber, vitamins, and minerals (Levent et al., 2020). Moreover, regarding sensory quality, the flavor and taste of traditional wheat noodles are relatively monotonous, which may fail to satisfy consumers’ demand for dietary diversity and high quality; this can be optimized through innovative processes or improvements in raw material (Shi et al., 2023). Recent studies have explored the incorporation of non-traditional ingredients into noodle formulations. Partial substitution of wheat flour with horse chestnut flour has shown to improve the nutritional profile and antioxidant capacity of Ramen noodles (Ahsan et al., 2023). Other innovations include the addition of banana powder, mushroom powder, quinoa, or fermented plant extracts, contributing to enhanced dietary fiber content, polyphenol levels, and functional properties, such as blood glucose regulation (Sivamaruthi et al., 2018) and antioxidant activity (Jeong et al., 2021). Numerous studies have investigated strategies to enhance the functional properties of noodles, such as raw material substitution and process optimization, to improve their nutritional profile and digestibility aligned with contemporary consumer health requirements.
Mulberry leaves (Morus alba L.), belonging to the Mulberry family, are referred to as golden mulberry leaves, winter mulberry leaves, and frost mulberry leaves. Approved by the National Health Commission of Medicinal and Food Resources, the mulberry tree is abundant in 17 essential amino acids, crude protein, crude fat, vitamins and minerals, and other nutrients, possessing high nutritional and medicinal values. Its medicinal applications were first documented in the “Fifty-Two Disease Formula” (Lu, 1995), which describes the use of mulberry juice for coating rodents. The idea of traditional Chinese medicine posits that mulberry leaves possess properties that clear the lungs, alleviate dryness, disperse wind, and enhance liver function and vision. They are frequently employed in the treatment of lung-heat dry cough, wind-heat colds, and related symptoms (National Pharmacopoeia Commission, 2020). The nutritional profile of mulberry leaves is extensive, encompassing flavonoids, polysaccharides, polyphenols, and other bioactive compounds (Li et al., 2021). Contemporary medical research has identified that mulberry leaf possesses antioxidant (Varghese and Thomas, 2019), anti-inflammatory (Ma et al., 2022) hypoglycemic (Chen et al., 2023), blood lipid regulation (Kadam et al., 2019), hepatoprotective (Feng et al., 2023) properties. Notably, flavonoids and polyphenols have garnered significant attention for their pronounced antioxidant capabilities (Chan et al., 2020). The prevailing techniques for flavonoid extraction from mulberry leaves encompass water and alcohol extraction, organic solvent extraction as well as ultrasound- and microwave-assisted methods (Babamoradi et al., 2018; Cao et al., 2019; Chen et al., 2017, Kazemi et al., 2019; Zhang et al., 2021). These methods are favored due to reduced extraction time, low extraction temperature, and high precision (Awad et al., 2021; Thakur et al., 2023). The resulting extracts exhibit notable thermal stability and compatibility with food matrices, making them suitable for fortification of products, such as noodles, cookies, and bread (Xie et al., 2022). However, challenges remain regarding the retention of bioactive compounds during processing, their interactions within food matrices, and scalability to industrial production. These flavonoids exhibit significant antioxidant and anti-inflammatory properties (Lin et al., 2022) and show promise for food fortification because of their thermal stability and flavor compatibility.
Response surface methodology (RSM) is widely applied in the modeling and optimization of the extraction processes of bioactive compounds (Weremfo et al., 2023). It utilizes a nonlinear model that facilitates the derivation of highly accurate regression equations and enables reasonable predictions to identify optimal process conditions (Wang et al., 2022a). Its primary advantage lies in minimizing the number of experiments necessary for the study. Consequently, it conserves time and diminishes the consumption of reagents and materials (Zulkifli et al., 2020). Mulberry leaf noodles, a significant product derived from the utilization of mulberry leaf resources, are crafted by drying mulberry leaves, grinding them into powder, and combining them with wheat flour in a specific ratio. These noodles are favored by consumers because of their nutritional and health effects.
The current study on mulberry leaf noodles mainly focuses on industrial applications, such as mulberry leaves–wheat flour ratio. For instance, Huang et al. (2021) adjusted the formulation using mulberry leaves, baking soda, and salt, resulting in improved parameters for mulberry leaf noodles, which were characterized by uniform color and enhanced quality. Dai et al. (2023) demonstrated that incorporating mulberry leaf powder enhances dough viscoelasticity, improves cooking performance, texture, color, sensory acceptability, and antioxidant activity of fresh noodles. Fu et al. (2013) applied fuzzy mathematics to optimize the formulation and production process of mulberry leaf hanging noodles, establishing a methodology with substantial practical relevance. Additionally, Chen et al. (2024) investigated the effects of varying hot air-drying temperature (40–80°C) on the quality (total phenolics, flavonoids content, antioxidant capacity, color, and luster) of mulberry leaf powder and the textural properties of noodles. In practical applications, hot air-drying technology is commonly employed to dehydrate fresh mulberry leaves for a prolonged preservation of raw materials; however, the drying temperature considerably influences the concentration of functionally active ingredients in raw materials, coloration, and processing characteristics. The superior performance of shade-drying is attributed to its gentle dehydration under ambient conditions, which minimizes thermal and photo-oxidative degradation of heat-sensitive flavonoids while preserving cellular integrity. Although requiring longer processing time, shade-drying offers significant industrial feasibility because of its low energy consumption, minimal operational costs, and particular suitability for resource-limited production settings.
Despite these advances, critical challenges remain. These include the lack of systematic optimization of drying methods for maximizing flavonoid retention, insufficient understanding of the stability and interaction mechanisms of flavonoids within noodle matrices during thermal processing, and a scarcity of industrial-scale validation. Moreover, comparative studies on the efficacy of different incorporated forms (powder, juice, or pulp) are limited. This study addresses the insufficient research regarding the impact of drying methods on the quality of mulberry leaf powder and its noodle processing attributes; therefore, this paper focuses on determining the total flavonoid content of mulberry leaf powder derived from various drying techniques and their influence on the antioxidant activity, flavor, and texture characteristics of mulberry leaf noodles.
With the advancement of medicinal food industry in recent years, the comprehensive development of mulberry leaf resources has attracted more attention. Fenggang County serves as the largest sericulture county in Guizhou Province, with a cultivation scale of 52,000 Macau (mu; as of December 2024). However, the production and processing wastage in Fenggang County, alongside the waste of withered mulberry leaves after frosts, has become a prominent problem, which results in a relatively low utilization rate of resources, significantly restricting the sustainable development of the industry. Based on the above-mentioned realistic basis, the efficient utilization of mulberry leaves after frost was focused in this study, and the RSM was employed in the optimization of the extraction process of flavonoids from mulberry leaves. RSM could optimize processing conditions and reduce the cost, contributing to an increase in product yield. Besides, the research system examined key factors (such as material–liquid ratio, ethanol concentration, extraction temperature, and frequency) to determine optimal extraction parameters. Meanwhile, preparation conditions for drying mulberry leaves and mulberry leaf surface were optimized, alongside the evaluation of the total flavonoid content and antioxidant activity, aiming to provide data support for the diversified development of mulberry leaves and the advancement of novel products. In addition, this study explored the additional benefits of mulberry leaves after frost, beside the systematic investigation of the preparation process of mulberry leaf noodles, with a view to laying a theoretical and technological foundation for the comprehensive utilization of mulberry leaf resources and the further development of novel products.
The mulberry leaves used in this experiment were collected from 30 mulberry trees by Shaohuan Liu, a senior experimentalist at Guizhou Medical University, in Fenggang County, Zunyi City, Guizhou Province, China, following the first frost on 14 November 2023. Ten mature leaves, identified as those of the mulberry plant (Morus alba L.), were selected from the middle of the crown of each tree. The sampling area had a subtropical humid climate with an annual average temperature of 15.2°C. The soil was undisturbed sandy yellow soil. The samples were treated in a forced-air drying oven at 30°C, 60°C, and 90°C as well as natural sun-drying and shade-drying controls, and were set aside for later use.
Mulberry leaf powder: Fresh mulberry leaves were washed, placed them in an oven, and left them to dry at 30°C until they were somewhat twisted and brittle. The leaves were crunched into powder, followed by sifting through a 100-mesh sieve. The samples were stored in a dry atmosphere at room temperature.
Mulberry leaf juice: Fresh mulberry leaves were washed with water, dried, combined with four times the sample mass of pure water, blended with juice, and subsequently filtered.
Mulberry leaf pulp: Fresh mulberry leaves were washed, dried, and mixed with twice the sample mass of pure water to extract juice.
Precisely measured the flour, salt, and mulberry leaves (in powder, juice, and pulp), and transferred the flour and mulberry leaves in a noodles machine. Salt and baking soda were dissolved; then add them to the noodles machine. Subsequently, an appropriate quantity of pure water was added, followed by mixing for 5–10 min and the rest of the mixture for 15 min to stretch gluten. The noodles press was employed to make noodles, and the samples were dried naturally and cut into sections for storage.
Precisely, 10 mg of rutin standard was weighed, and a reserve solution of 0.1 mg/mL was prepared using 75% ethanol. During the color reaction phase, 0.3 mL of 5% sodium nitrite solution (agitated for 3 min), 0.3 mL of 10% aluminum nitrate solution (agitated for 3 min), and 4 mL of 4% sodium hydroxide solution were sequentially added to 0, 1.0, 2.0, 3.0, 4.0, and 5.0 mL of rutin standard solution. Subsequently, the mixture was fixed in 75% ethanol to a final volume of 10 mL and allowed to stand for 15 min. The mixture was diluted to 10 mL with 75% ethanol and incubated in darkness for 15 min. Using 75% ethanol as a reference blank, full-wavelength scanning from 400 nm to 800 nm was performed on a UV-2700 spectrophotometer, identifying 504 nm as the optimal detection wavelength.
A mulberry leaf sample weighing exactly 0.500 g was taken, and 75% ethanol was added in accordance with the material–liquid ratio. The sample underwent extraction via ultrasonication at 100 W for 30 min at 60°C, and filtered. The filtrate was collected to yield mulberry leaf test sample solution. In all, 1 mL of each sample solution of mulberry leaves for test was placed in a 10-mL volumetric flask, while parallel samples were prepared concurrently. The absorbance was measured at 504 nm, and the total flavonoid content was determined using a rutin reference curve:
where C is the mass concentration of total flavonoids in the solution to be quantified (mg/mL); V is the volume of flavonoids to be quantified (mL); D is the dilution of the extraction solution; and V1 is the volume (3 mL) of the sample solution used for absorbance determination; and M is the mass of the sample (g).
Precision weighing of 0.500 g of mulberry leaves and ultrasound-assisted extraction were carried out for each of the four variables in a single-factor experiment to examine their impact on the extraction rate of total flavonoids from mulberry leaves. The experimental design is presented in Table 1.
Table 1. Mulberry leaf samples by single-factor experiment.
| Factors to be considered | Fixed factor level | Examination of the level of factors |
|---|---|---|
| Ethanol concentration | Material–liquid ratio 1:40, extraction temperature 60°C, extraction time 30 min, ultrasonic power set at 100 W, with a single extraction yielding | 30%, 45%, 60%, 75%, and 95% |
| Material–liquid ratio | Ethanol concentration: 60%, extraction temperature: | 1:40, 1:60, 1:80, and 1:100 g/mL |
| 60°C, extraction duration: 30 min, ultrasonic power: 100 W, extraction frequency: once | ||
| Extraction temperature | The material–liquid ratio was 1:40, ethanol concentration was 60%, extraction duration was 30 min, ultrasonic power was 100 W, and number of extractions was one | 30°C, 45°C, 60°C, and 75°C |
| Withdrawal time | Extraction temperature was 60°C, ultrasonic power was 100 W, and number of extractions was | 10 min, 30 min, 60 min, and 90 min |
| one. The extractions were carried out at a ratio of 1:40, with an ethanol concentration of 60% and an extraction temperature of 60°C | ||
| Extraction power | Material–liquid ratio of 1:40, ethanol concentration of 60%, extraction temperature: 60°C, extraction duration: 30 min, extraction frequency: once | 100 W, 200 W, and 300 W |
| Number of extractions | Extraction temperature was 60°C, extraction time was 30 min, and ultrasonic power was 100 W. Material–liquid ratio was 1:40, ethanol concentration was 60%, extraction temperature was 60°C, and extraction duration was 30 min | 1, 2, and 3 times |
To optimize the extraction parameters of total flavonoids from mulberry leaves, single-factor experiment results were analyzed using the Design-Expert V10.0 software. Employing the Box–Behnken design (BBD) principle, a response surface test was conducted, with independent variables being the (A) volume fraction of ethanol, (B) material–liquid ratio, (C) number of extractions, and (D) extraction temperature, while the content of total flavonoids served as the response value. A response surface test was carried out. The detailed design of the response surface factor levels design is shown in Table 2.
Table 2. Design of response surface factor levels for response surface testing.
| Level of achievement etc. | Ethanol volume fraction (A) (%) | Liquid–material ratio (B) (g/mL) | Number of times during extraction (C) (frequency) | Extraction temperature (D) (°C) |
|---|---|---|---|---|
| –1 | 30 | 1:40 | 1 | 45 |
| 0 | 60 | 1:60 | 2 | 60 |
| 1 | 90 | 1:80 | 3 | 75 |
Utilizing the aforementioned optimization results, the extracted flavonoid from mulberry leaves was incorporated into noodle preparation to create a functional noodle characterized by high flavonoid content and antioxidant activity. Effects on the quality and functional properties of the noodles were examined by varying the form (mulberry leaf powder, mulberry leaf juice, mulberry leaf pulp) and ratio of the added mulberry leaf extract.
Table 3 shows the detailed single-factor experiment design to examine the influence of six single factors on the extraction rate of total flavonoids from mulberry leaf noodles.
Table 3. Mulberry leaf noodles by single-factor experiment.
| Factors to be considered | Fixed factor level | Examination of the level of factors |
|---|---|---|
| (Of clothes) Classifier for the number of washes | Baking soda: 0.3%, salt: 1% | 36%, 38%, 40%, 42%, and 44% |
| Baking soda | Water: 40%, and salt: 1% | 0%, 0.3%, 0.6%, 0.9%, and 1.2% |
| Acidifier | 40% water, 0.3% baking soda | 0%, 0.5%, 1%, 1.5%, and 2% |
| Mulberry leaf powder | 40% water, 0.3% baking soda, and 1% table salt | 2%, 4%, 6%, 8%, and 10% |
| Mulberry leaf juice | 40% water, 0.3% baking soda, and 1% table salt | 5%, 10%, 15%, 20%, and 25% |
| Mulberry leaf pulp | 40% water, 0.3% baking soda, and 1% table salt | 10%, 15%, 20%, 25%, and 30% |
The ideal quantities of mulberry leaf powder, mulberry leaf juice, mulberry leaf pulp, baking soda, and salt were determined through single-factor experiment, which served as a foundation for three-factor, three-level orthogonal experimental design for mulberry leaf (powder, juice and pulp) noodles, in accordance with the principle of orthogonal experimental design, as shown in Table 4. The organoleptic evaluation of the noodles was employed as an evaluation criterion.
Table 4. Orthogonal experimental design of noodles incorporating mulberry leaf powder, juice, and pulp.
| Type of test | Level of achievement etc. | Mulberry leaf additives (%) |
Amount of baking soda added (%) | Salt addition (%) |
|---|---|---|---|---|
| Mulberry leaf powder noodles | 1 | 1 | 0.3 | 0.9 |
| 2 | 2 | 0.4 | 1.0 | |
| 3 | 3 | 0.5 | 1.1 | |
| Mulberry leaf juice noodles | 1 | 14 | 0.3 | 0.9 |
| 2 | 15 | 0.4 | 1.0 | |
| 3 | 16 | 0.5 | 1.1 | |
| Mulberry leaf pulp noodles | 1 | 19 | 0.3 | 0.9 |
| 2 | 20 | 0.4 | 1.0 |
In all, 50 times the mass of water sample was placed into a pot and brought to a gentle boil on an adjustable induction cooker. Forty whole mulberry leaf noodles were randomly placed into the boiling water and the timer was initiated. One mulberry leaf noodle was taken out every 30 s and compressed between two glass plates to examine dark-colored selenocentric lines inside. Upon the disappearance of selenocentric lines, the corresponding duration was recorded as an optimal cooking time.
In all, 50 times the mass of water sample was poured into a pot and heated on an adjustable induction cooker to a gentle boil. Forty whole mulberry leaf noodles were randomly placed and timed. Upon achieving optimal cooking duration, mulberry leaf noodles were extracted using chopsticks and the number of intact roots (X) was counted, from which the cooked breakage rate was derived:
where Y represents the rate of cooked broken strips (%) of mulberry leaf noodles, and X is the number of intact roots on mulberry leaf noodles.
An appropriate quantity of mulberry leaf noodles was processed into powder, and 3 g of the powder was precisely weighed using a moisture meter to measure the moisture content. Subsequently, an appropriate amount of mulberry leaf noodles was boiled in pure water for an optimal cooking time, followed by removing the noodles and rinsing them in warm water. The rinse water was combined with the cooking water, and the mixture was transferred into a 500-mL volumetric flask for volume measurement. Then, 100 mL of the mixed solution was taken for drying. To ascertain the cooking loss rate, this study referred to the national standard GB/T 40636-2021 for ‘Hanging Noodles’ and the cooking loss rate was calculated according to the following formula:
where Y is the cooking loss rate (%); M1 represents the mass of the sample (g); M2 is the mass of 100 mL of noodle broth after drying (g); and W indicates the water content of mulberry leaf noodles (%).
In accordance with the methodology of Liu et al. (2023) for improvement, a sensory evaluation panel consisting of 15 students from traditional Chinese medicine, pharmacy and food disciplines assessed the prepared mulberry leaf noodles. The sensory evaluation form was improved in accordance with the national standard GB/T 40636-2021 for ‘Hanging Noodles’, with a total score of 100 points, and the scoring criteria are shown in Table 5.
Table 5. Sensory evaluation of mulberry leaf noodles.
| Sports event | Value of a score | Evaluation criteria |
|---|---|---|
| Color and luster | 10 | Green (mulberry leaf powder and pulp noodles) or light brown (mulberry leaf juice surface), bright surface (8–10 points), brighter surface (6–8 points), darker, grayish color, poor brightness (0–6 points) |
| Odor | 10 | With mulberry leaf clear flavor (6–10 points), basically no odor (3–6 points), with other odor (0–3 points) |
| Apparent state | 16 | Smooth and fine surface (10–16 points), fair (6–10 points), severely deformed and rough surface (1–6 points) |
| Tackiness | 10 | Chewing is crisp and non-sticky (6–10 points), more crisp and slightly sticky (3–6 points), not crisp and sticky (0–3 points) |
| Palatability (soft and hard) | 16 | Taste noodles with moderate force (10–16 points), slightly firm or soft (5–10 points), too firm or too soft (0–5 points) |
| Hardness | 16 | Chewy and elastic (10–16 points), fair (5–10 points), poor bite and lack of elasticity (0–5 points) |
| Smoothness | 10 | Tastes noodles with a lubricious texture (6–10 points), a more lubricious texture (3–6 points), and a rough texture (0–3 points) |
| Food and drink | 12 | When tasting noodles, they are clear and full of flavor, with a sweet aftertaste (8–12), no obvious flavor, no bitterness, astringency, or odor (4–8 points), acidic, with a bitter aftertaste, and with a heavy alkaline taste (0–4 points) |
Note: Score values exhibit greater variability to highlight the significance of specific sensory attributes of noodles.
Precisely, 0.025 g of rutin control was weighed, and 0.5-mg/mL standard solution was prepared using 75% ethanol to a final volume of 50 mL. Mulberry leaf sample powder was weighed and extracted with 75% ethanol at a material–liquid ratio of 1:40 for 30 min using ultrasonic assistance. Then the mixture was pumped, filtered, and adjusted to a final volume of 25 mL to yield the test solution. During chromogenic reaction phase, 0, 0.5, 1.0, 1.5, 2.0, 2.5 mL of rutin standard solution was taken and diluted in a gradient. Subsequently, 0.3 mL of 5% sodium nitrite (allowed to stand for 3 min), 0.3 mL of 10% aluminum nitrate (standing for 3 min), and 4.00 mL of 4% sodium hydroxide were added in succession. The solution was then adjusted to a final volume of 10 mL with 75% ethanol and allowed to stand for 15 min, and extracted by a full band scan (200–600 nm). The optimal detection wavelength of 358 nm was established using full band scanning (200–600 nm), and the standard curve was constructed.
Appropriate quantities of mulberry leaf flour and common noodle powder were weighed to prepare test solution, which was added with color developer and stabilized with 75% ethanol. The absorbance (A) was measured at 358 nm using 75% ethanol as a reference blank, and the total flavonoid content was calculated using the following formula:
where Y represents the total flavonoid content (mg/g); A is the absorbance of the sample; W indicates the sample dilution; and G is the sample mass (g).
The 2,2-diphenyl-1-picrylhydrazyl (DPPH) free radical scavenging capacity assessment method was modified based on the approach of Li et al. (2024). A sufficient quantity of DPPH was measured to make 0.05-mmol/L solution. In all, 2 mL of total flavonoid extract solution (concentrations of 400, 800, 1,200, 1,600, and 2,000 μg/mL) from different mulberry leaf noodle samples was extracted under the conditions described in the previous section, mixed thoroughly, and reacted in the dark for 1 h. Subsequently, 2 mL of anhydrous ethanol as a reference blank was utilized and the absorbance was measured at 517 nm. The rate of free radical scavenging was determined using the following formula:
where Y denotes the DPPH radical scavenging rate; A0 is the absorbance of blank solution; A1 signifies the absorbance of sample solution.
The ability of mulberry leaf noodle extracts to scavenge 2,2'-azino-bis(3-ethylbenzothiazoline-6-sulfonic acid (ABTS) free radicals was assessed according to the method described by Wen et al. (2022). For assessment, 7-mmol/L ABTS solution and 2-mmol/L potassium persulfate solution were prepared and combined in a 1:1 ratio to react for 24 h in the absence of light to produce ABTS working solution. The ABTS working solution was diluted 10 times prior to use. Then, 2 mL of the total flavonoid extract solution (concentrations of 400, 800, 1200, 1600, and 2000 μg/mL) was added from different mulberry leaf noodle samples extracted under the conditions described in the previous section, mixed thoroughly, and allowed to react for 1 h in the dark. Finally, 2 mL of anhydrous ethanol was used as a reference blank, and the absorbance was measured at 734 nm. The free radical scavenging rate was calculated using Equation (5).
By conducting a statistical analysis of Pearson’s coefficients between mulberry leaf noodle extracts with varying concentrations of total flavonoids and the free radical scavenging rates of DPPH and ABTS, the degree of closeness between two variables was assessed, with the range of the parameter quantifying linear correlation from -1 to 1. A higher absolute value indicated a stronger correlation, while values approaching 0 signified a weaker correlation.
Sample determination was performed using three replicates. Data processing was conducted using Excel for data organization and significance analysis. GraphPad Prism 9.5.0 was employed to generate graphs, perform one-way analysis of variance (ANOVA), and present the results as mean ± standard deviation (SD). Additionally, Design Expert 13 was utilized for performing RSM analysis.
The standard curve was constructed with absorbance on the vertical axis and concentration on the horizontal axis. The regression equation, y = 9.1057 × +0.0145 was derived with coefficient of determination (R2) = 0.9997. The data indicated a strong linear relationship within the concentration range of 0.00–0.05 mg/mL.
Control solution, I mL, was extracted and fixed after the color development reaction, and the absorbance of rutin at 504 nm was measured successively for six times, followed by the calculation of the RSD value. The mean absorbance value of rutin was 0.627 (n = 3) with an RSD of 0.19%, signifying the efficacy of the experimental apparatus.
An appropriate amount of test solution was taken and placed at 0, 20, 40, 60, 80 and 100 min, and the absorbance was quantified at the detection wavelength, A. The average absorbance value was calculated as 0.629 (n = 3), with an RSD of 1.64%, indicating satisfactory instrumental precision for this experiment.
An appropriate volume of test solution was taken and 75% ethanol was used as a reference blank. Absorbance value, A, of six samples was measured at 504 nm and RSD value was calculated. The calculated mean absorbance value was 0.626 (n = 6) with an RSD of 0.99%, indicating that the precision of this experimental apparatus was satisfactory.
Appropriate amount of test solution was taken, and three parallel samples were established by adding rutin control in the ratios of 0.5:1, 1:1, and 1.5:1, resulting in nine samples. Absorbance values, A, of these nine samples were determined at 504 nm and RSD values were calculated using 75% ethanol as a reference blank. The results indicated a good recovery performance with an average recovery of 100.14% (n = 3) and a relative RSD of 0.6%.
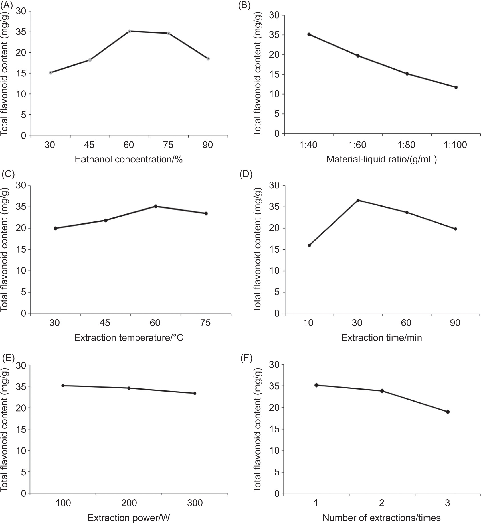
Figure 1A illustrates that the total flavonoid content of Morus alba increased initially and then decreased with increase in ethanol concentration. This phenomenon could be ascribed to the increased solubility of flavonoids, and ethanol, as an organic solvent, can engage in interactions, such as hydrogen bonding, with flavonoids, thereby augmenting the extraction rate, with optimal solubility observed at 60% ethanol. However, when the concentration of ethanol exceeded 75%, its polarity decreased, resulting in the release of fat- and alcohol-soluble compounds in the sample, thus resulting in reduced extraction rate of total flavonoids. Therefore, excessively high and excessively low ethanol concentrations were detrimental to the extraction of total flavonoids from mulberry leaves.
Figure 1. Results of single-factor experiment on mulberry leaf samples.
Figure 1B indicates that the total flavonoid extraction rate may decline with the gradual increase of liquid–material ratio. Increase in extraction solvent could result in excess extractant dissolving numerous impurities, which obstructs the dissolution of total flavonoids in samples, thus leading to a decrease in the extraction rate of total flavonoids.
Figure 1C illustrates that the extraction rate of total flavonoids from mulberry leaves was optimized at an extraction temperature of 60°C. With the increase of extraction temperature, solubilization of total flavonoids by ethanol increased. Nonetheless, an additional rise in temperature may result in a reduction of the extraction rate of total flavonoids, as elevated temperatures compromise the structural integrity of flavonoids and diminish extraction efficiency (Li et al., 2022).
Figure 2D illustrates that the total flavonoid extraction rate gradually increased with the extension of extraction time in the range of 10–60 min. However, when the time was increased to 60 min, the extraction yield declined. Prolonging the extraction time may increase flavonoid yield; however, once an ideal period of 30 min was attained, further extension could compromise flavonoid structure, resulting in a diminished extraction rate.
Figure 2. Interaction of different variables in response surface. (A) Ethanol concentration and feed–liquid ratio; (B) ethanol concentration and number of extractions; (C) ethanol concentration and extraction temperature; (D) material–liquid ratio and extraction frequency; (E) material–liquid ratio and extraction temperature; and (F) extraction frequency and extraction temperature.
Figure 1E illustrates that the extraction rate of total flavonoids from mulberry leaves attained its optimum level at an extraction power of 100 W. The extraction rate of total flavonoids from mulberry leaves attained an optimum level at an extraction power of 100 W. However, when power increased, the extraction rate decreased correspondingly. Excessive microwave power elevated the temperature of extraction solvent, which destroyed the structure of flavonoids, consequently affecting the extraction rate. High temperature denatures and vaporizes flavonoids, compromising their integrity in the solvent and thus influencing the extraction rate (Deng et al., 2024).
Figure 1F shows that as the number of extractions increases, the total flavonoid content in the extracted herb exhibits a progressive decrease. This phenomenon could be attributed to the increased extraction cycles disrupting the structure of certain flavonoid compounds, thereby reducing their overall content (Cao et al., 2025). Maximum total flavonoid content was observed after a single extraction; thus, the extraction cycle was determined to be one.
On the basis of one-way experiment, four main factors affecting the extraction amount of total flavonoids from mulberry leaves were selected: ethanol concentration (A), material–liquid ratio (B), extraction frequency (C), and extraction temperature (D). Additionally, based on the Response Surface Central Combination BBD test, total flavonoids extracted from mulberry leaves were used as a response value to determine the optimal extraction process of total flavonoids from mulberry leaves. Results of the response surface tests are shown in Table 6.
Table 6. Response surface test results.
| Serial No. | Ethanol concentration (%) | Material–liquid ratio (g/mL) | Number of extractions (frequency) | Extraction temperature (°C) | Total flavonoid extraction rate (mg/g) |
|---|---|---|---|---|---|
| 1. | 90 | 60 | 2 | 75 | 17.42 |
| 2. | 30 | 60 | 2 | 75 | 15.54 |
| 3. | 60 | 60 | 3 | 45 | 18.83 |
| 4. | 30 | 80 | 2 | 60 | 15.16 |
| 5. | 60 | 60 | 2 | 60 | 23.65 |
| 6. | 90 | 40 | 2 | 60 | 18.52 |
| 7. | 90 | 60 | 2 | 45 | 12.18 |
| 8. | 60 | 60 | 2 | 60 | 23.65 |
| 9. | 60 | 60 | 2 | 60 | 23.93 |
| 10. | 60 | 80 | 2 | 75 | 18.15 |
| 11. | 30 | 60 | 2 | 45 | 19.71 |
| 12. | 30 | 60 | 1 | 60 | 22.15 |
| 13. | 60 | 80 | 2 | 45 | 15.64 |
| 14. | 90 | 60 | 3 | 60 | 15.14 |
| 15. | 60 | 60 | 3 | 75 | 20.80 |
| 16. | 60 | 60 | 2 | 60 | 21.69 |
| 17. | 60 | 40 | 2 | 75 | 22.31 |
| 18. | 60 | 60 | 2 | 60 | 23.65 |
| 19. | 30 | 40 | 2 | 60 | 19.14 |
| 20. | 60 | 60 | 1 | 75 | 19.53 |
| 21. | 60 | 40 | 3 | 60 | 19.82 |
| 22. | 60 | 40 | 2 | 45 | 21.60 |
| 23. | 90 | 60 | 1 | 60 | 17.74 |
| 24. | 60 | 80 | 1 | 60 | 18.50 |
| 25. | 60 | 60 | 1 | 45 | 22.50 |
| 26. | 30 | 60 | 3 | 60 | 17.85 |
| 27. | 60 | 80 | 3 | 60 | 19.21 |
| 28. | 90 | 80 | 2 | 60 | 12.88 |
| 29. | 60 | 40 | 1 | 60 | 25.83 |
Numerical regression model using the Design-Expert 10.0 software produced a quadratic multiple regression equation:
Total flavonoid extraction rate = 23.32 – 1.31 × A – 2.31 × B-1.22 × C + 0.2744 × D – 0.4153 × AB + 0.4262 × AC + 2.35 × AD + 1.68 × BC + 0.4515 × BD + 1.23 × CD – 4.82 × A2 – 1.90 × B2 – 0.5122 × C2 – 2.22 × D2.
The analysis of variance is shown in Table 7. According to statistical analysis shown in Table 7, the significance level of quadratic regression model, P < 0.0001, demonstrates that the model is extremely significant. Meanwhile, P value of misfit term (0.5453), which exceeded 0.05, indicated that the method was reliable for estimating the extraction rate of total flavonoids from mulberry leaves. The model’s coefficient of determination, R2 = 0.9637, and the calibration coefficient, R2 adj = 0.9274, demonstrated a strong correlation with the test data, indicating a good fit (Sun et al., 2022). Consequently, the model and the regression equation were applicable for analyzing and predicting test results. The factors affecting the extraction rate of total flavonoids from mulberry leaves were ranked as follows: material–liquid ratio (B) > ethanol concentration (A) > extraction frequency (C) > extraction temperature (D). The impact of AD, BC, A2, B2 and D2 on flavonoid extraction rate was extremely significant (P < 0.01); however, the effect of CD on flavonoid extraction rate was substantial (P < 0.05).
Table 7. ANOVA results.
| Source | Sum of squares | Degree of freedom | Mean square | F value | P value | |
|---|---|---|---|---|---|---|
| Model | 314.66 | 14 | 22.48 | 26.53 | –0.0001 | Significant |
| A | 20.44 | 1 | 20.44 | 24.14 | 0.0002 | |
| B | 63.82 | 1 | 63.82 | 75.34 | –0.0001 | |
| C | 17.74 | 1 | 17.74 | 20.94 | 0.0004 | |
| D | 0.90 | 1 | 0.90 | 1.07 | 0.3193 | |
| AB | 0.69 | 1 | 0.69 | 0.81 | 0.3820 | |
| AC | 0.73 | 1 | 0.73 | 0.86 | 0.3700 | |
| AD | 22.17 | 1 | 22.17 | 26.17 | 0.0002 | |
| BC | 11.26 | 1 | 11.26 | 13.29 | 0.0026 | |
| BD | 0.82 | 1 | 0.82 | 0.96 | 0.3432 | |
| CD | 6.07 | 1 | 6.07 | 7.17 | 0.0180 | |
| A2 | 150.68 | 1 | 150.68 | 177.89 | –0.0001 | |
| B2 | 23.49 | 1 | 23.49 | 27.73 | 0.0001 | |
| C2 | 1.70 | 1 | 1.70 | 2.01 | 0.1782 | |
| D2 | 31.97 | 1 | 31.97 | 37.75 | –0.0001 | |
| Residual | 11.86 | 14 | 0.85 | – | – | |
| Lack-of-fit | 8.49 | 10 | 0.85 | 1.01 | 0.5453 | Not significant |
| Pure error | 3.37 | 4 | 0.84 | – | – | |
| Cor total | 326.52 | 28 | – | – | – |
Note: P < 0.05 indicates a significant effect, and P < 0.01 indicates a highly significant effect.
The F-value in the response surface ANOVA table represents the ratio of the model’s mean square to the error’s mean square. It serves as the core metric for determining whether the constructed regression model can significantly explain the variation in response values (i.e., whether the model is valid). A larger F-value coupled with a corresponding p-value below the significance level (e.g., 0.05) indicates stronger model significance.
The gradient of the response surface and the elliptical shape indicate a strong interaction between the two factors (Wang et al., 2022b). Figure 2 illustrates that the relationships between ethanol concentration and extraction temperature, feed–liquid ratio, and number of extractions, as well as the number of extractions and extraction temperature, significantly influenced the extraction rate of total flavonoids from mulberry leaves. The interactions between ethanol concentration and feed–liquid ratio, ethanol concentration and number of extractions, and feed–liquid ratio and extraction temperature exhibited negligible effects on extraction rate, aligning with the findings from ANOVA of the quadratic regression equation.
The optimal process parameters evaluated using the Design Expert 10.0 software, with extraction power set at 100 W, were as follows: ethanol concentration 55.582%, material–liquid ratio 1:41.189 g/mL, frequency of extractions 1.132 times, and extraction temperature 59.579°C. Under these conditions, the predicted extraction rate of total flavonoids of Morus alba leaf was 25.969 mg/g. For convenience of actual operation, the process parameters were adjusted to 1:40 g/mL, ethanol volume fraction to 56%, extraction temperature to 60°C, and a single extraction. Three parallel tests were conducted under these conditions, yielding real flavonoid extraction rates of 26.15 mg/g, 26.12 mg/g, and 25.84 mg/g. The average extraction rate of total flavonoids from mulberry leaves was 26.04%, aligning well with the anticipated value.
The optimized results from the response surface method indicated that the total flavonoid content in samples subjected to different drying methods was quantified by ultraviolet (UV) determination of the sample solution of mulberry leaves via precise aspiration, revealing a statistically significant difference (P < 0.05). The results are shown in Table 8 and Figure 3. The findings of the drying methods indicated the following efficacy: shade-drying > sun-drying > 30°C > 60°C > 90°C, with shade-drying being the most optimal drying method. This suggested that shade-drying conditions were more favorable for the metabolic transformation and accumulation of effective medicinal components of mulberry leaves. The findings indicated that flavonoid content in mulberry leaves did not increase with the increase of drying temperature over many gradients, and excessively high temperatures would facilitate its transformation into other compounds.
Table 8. Effect of different drying methods on the total flavonoid content of mulberry leaves.
| Type of test | Drying method | Total flavonoid extraction rate (mg/g) |
|---|---|---|
| 1 | Dry-up | 23.932±0.12 |
| 2 | Sun-drying | 23.151±1.53 |
| 3 | 30°C | 22.246±0.39 |
| 4 | 60°C | 21.878±0.09 |
| 5 | 90°C | 9.775±0.46 |
Figure 3. Content of total flavonoids in mulberry leaves subjected to different drying methods.
According to Figure 4, the surface of mulberry leaf powder exhibited a dark green hue, and dark green dots appeared on the surface due to the particles present in the powder, resulting in uneven integration with flour; nonetheless, this had a minimal impact on smoothness. The mulberry leaf juice exhibited a light brown hue, and due to its preparation from mulberry leaf filtrate, the surface was smoother with no obvious impurities. Mulberry leaf pulp noodles exhibited a dark green hue, deeper than that of mulberry leaf flour noodles, with a large number of dark green dots on the surface. The texture was rough when moist but turned smooth upon drying. The three varieties of noodles had the fragrance of mulberry leaves.
Figure 4. Mulberry leaf noodle samples. (A) Mulberry leaf powder noodles; (B) mulberry leaf juice noodles; and (C) mulberry leaf pulp noodles.
During the dough mixing and resting process, the starch and protein present in wheat flour absorbed water and expanded to create a net-like gluten structure, which determined the ductility and elasticity of noodles. Therefore, the amount of water added directly influenced dough’s structure and the subsequent pressing and cutting processes, which in turn affected the quality and texture of noodles. Experiments were conducted to analyze cooked breakage rate, cooking loss rate, and sensory evaluation of noodles with varying quantities of water, baking soda, salt, mulberry leaf powder, mulberry leaf juice, and mulberry leaf pulp (refer to Table 9).
Table 9. Results of single-factor experiment on mulberry leaf noodles.
| Type of test | Level of achievement etc. | Ripening breakage rate (%) | Cooking loss rate (%) | Sensory evaluation score |
|---|---|---|---|---|
| Water addition (%) | 36 | 14.17 | 4.3 | 67.08 |
| 38 | 10.83 | 4.46 | 64.92 | |
| 40 | 5.83 | 5.37 | 74.38 | |
| 42 | 8.33 | 4.26 | 70.62 | |
| 44 | 13.33 | 3.97 | 66.77 | |
| Amount of baking soda added (%) | 0 | 4.17 | 3.89 | 66.15 |
| 0.2 | 4.17 | 3.29 | 66.31 | |
| 0.4 | 3.33 | 3.25 | 71.85 | |
| 0.6 | 8.33 | 3.82 | 70.08 | |
| 0.8 | 5 | 4.46 | 65.62 | |
| Salt addition (%) | 0 | 5.83 | 4.61 | 69.38 |
| 0.5 | 4.17 | 4.62 | 72.31 | |
| 1 | 2.5 | 4.29 | 73.77 | |
| 1.5 | 4.17 | 4.73 | 72.38 | |
| 2 | 6.67 | 5.24 | 72.46 | |
| Mulberry leaf powder additive (%) | 2 | 2.5 | 4.5 | 67.31 |
| 4 | 3.33 | 4.56 | 64.54 | |
| 6 | 2.5 | 4.92 | 62.23 | |
| 8 | 6.67 | 6.48 | 61.38 | |
| 10 | 5 | 6.3 | 60.08 | |
| Mulberry leaf juice addition (%) | 5 | 5.83 | 6.26 | 68.69 |
| 10 | 5.83 | 9.44 | 67.38 | |
| 15 | 4.17 | 5.53 | 71.23 | |
| 20 | 4.17 | 5.74 | 67.92 | |
| 25 | 6.67 | 6.89 | 66.69 | |
| Mulberry leaf pulp addition (%) | 10 | 3.33 | 3.23 | 64.08 |
| 15 | 4.17 | 3.19 | 65.45 | |
| 20 | 3.33 | 4.33 | 66.08 | |
| 25 | 9.17 | 4.94 | 64.69 | |
| 30 | 8.33 | 4.69 | 59.69 |
Through a comprehensive analysis of sensory orthogonal design results (see Table 10), the optimal process formulation for mulberry leaf powder noodles was established. The results revealed that the priority sequence for addition of mulberry leaf powder was KA1 > KA3 > KA2, while for addition of baking soda, it was KB3 > KB2 > KB1, and for addition of salt, it was KC2 > KC3 > KC1. Therefore, when all indices were comprehensively evaluated, the optimal process formulation for mulberry leaf flour noodles was determined to be A1+B3+C2, wherein mulberry leaf powder, baking soda, and salt were incorporated at concentrations of 1.0%, 0.5%, and 1.0% respectively. In addition, examination of R-value magnitudes demonstrated that the addition of mulberry leaf powder exerted the most significant influence on sensory quality, followed by the addition of salt, while addition of baking soda was found to have the least impact.
Table 10. Results and analysis of sensory orthogonal design of mulberry leaf flour noodles.
| Test number | (A) Mulberry leaf powders added (%) | (B) Baking soda added (%) | (C) Salt added (%) | Sensory evaluation score/points |
|---|---|---|---|---|
| 1 | 3.0 | 0.5 | 0.9 | 74.54 |
| 2 | 1.0 | 0.4 | 1.1 | 76.62 |
| 3 | 3.0 | 0.3 | 1.1 | 73.98 |
| 4 | 1.0 | 0.5 | 1.0 | 76.52 |
| 5 | 2.0 | 0.5 | 1.1 | 74.58 |
| 6 | 3.0 | 0.4 | 1.0 | 75.18 |
| 7 | 2.0 | 0.4 | 0.9 | 73.76 |
| 8 | 2.0 | 0.3 | 1.0 | 74.18 |
| 9 | 1.0 | 0.3 | 0.9 | 74.23 |
| K1 | 227.37 | 222.39 | 222.53 | – |
| K2 | 222.52 | 225.56 | 225.88 | – |
| K3 | 223.7 | 225.64 | 225.18 | – |
| Excellent level | A1 | B3 | C2 | – |
| k1 | 75.79 | 74.13 | 74.18 | – |
| k2 | 74.17 | 75.19 | 75.29 | – |
| k3 | 74.57 | 75.21 | 75.06 | – |
| R-value | 1.62 | 1.08 | 1.12 | – |
Note: R-value (regression coefficient) represent the range (max. & min.) of mean indices across different factor levels, indicating the significance of each factor. Larger R values denote more pronounced effects on the experimental outcome.
Through a comprehensive analysis of sensory orthogonal design results (see Table 11), the optimal process formulation for mulberry leaf juice noodles was established. The analysis revealed that the priority sequence of mulberry leaf juice addition was KA3 > KA1 > KA2, while for baking soda addition, it was determined to be KB1 > KB3 > KB2, and for salt addition, KC2 > KC3 > KC1. Consequently, the optimal formulation of mulberry leaf juice noodles was identified as A3+B1+C2, wherein mulberry leaf juice, baking soda, and salt were incorporated at concentrations of 16.0%, 0.3%, and 1.0%, respectively. In addition, R-value analysis demonstrated that salt addition exerted the most pronounced effect on sensory quality, followed by mulberry leaf juice addition, with baking soda addition exhibiting the least significant impact.
Table 11. Results and analysis of mulberry leaf juice noodles sensory orthogonal design.
| Test number | (A) Mulberry leaf juice added (%) |
(B) Baking soda added (%) |
(C) Salt added (%) |
Sensory evaluation score/points |
|---|---|---|---|---|
| 1 | 16.0 | 0.3 | 1.0 | 79.75 |
| 2 | 15.0 | 0.5 | 1.0 | 75.13 |
| 3 | 14.0 | 0.5 | 1.1 | 72.65 |
| 4 | 14.0 | 0.4 | 1.0 | 75.33 |
| 5 | 16.0 | 0.5 | 0.9 | 73.87 |
| 6 | 14.0 | 0.3 | 0.9 | 70.11 |
| 7 | 16.0 | 0.4 | 1.1 | 73.25 |
| 8 | 15.0 | 0.3 | 1.1 | 72.12 |
| 9 | 15.0 | 0.4 | 0.9 | 68.48 |
| K1 | 218.09 | 221.98 | 212.46 | – |
| K2 | 215.73 | 217.06 | 230.21 | – |
| K3 | 226.87 | 221.65 | 218.02 | – |
| Excellent level | A3 | B1 | C2 | – |
| k1 | 72.70 | 73.99 | 70.82 | – |
| k2 | 71.91 | 72.35 | 76.74 | – |
| k3 | 75.62 | 73.88 | 72.67 | – |
| R | 3.71 | 1.64 | 5.92 | – |
Note: R values represent the range (max. & min.) of mean indices across different factor levels, indicating the significance of each factor. Larger R values denote more pronounced effects on the experimental outcome.
The optimal process formulation for mulberry leaf pulp noodles was established through a systematic analysis of sensory orthogonal design results (see Table 12). The analysis revealed that the priority sequence for mulberry leaf pulp addition was KA2 > KA1 > KA3, while for baking soda addition, it was determined as KB1 > KB2 > KB3, and for salt addition, KC3 > KC2 > KC1. Consequently, the optimal formulation for mulberry leaf pulp noodles was identified as A2+B1+C3, wherein mulberry leaf pulp, baking soda, and salt were incorporated at concentrations of 20.0%, 0.4%, and 1.1%, respectively. In addition, the R-value analysis showed that the addition of baking soda exerted the most significant influence on sensory quality, followed by addition of salt, while addition of mulberry leaf pulp exhibited a comparatively modest effect. The most pronounced impact of baking soda on sensory attributes was due to its integrated mechanism of action: as a weak base, it triggered conformational rearrangements of gluten proteins by increasing the system’s pH while reacting with acidic components to release carbon dioxide, forming a network of fine pores. Additionally, it stabilized flavor-active components, thereby comprehensively improving textural properties and palatability.
Table 12. Sensory orthogonal design results and analysis of mulberry leaf pulp noodles.
| Test number | (A) Mulberry leaf pulp added (%) |
(B) Baking soda added (%) |
(C) Salt added (%) |
Sensory evaluation score/points |
|---|---|---|---|---|
| 1 | 20.0 | 0.3 | 1.0 | 70.83 |
| 2 | 21.0 | 0.3 | 1.1 | 74.10 |
| 3 | 19.0 | 0.5 | 1.0 | 71.57 |
| 4 | 20.0 | 0.5 | 1.1 | 71.45 |
| 5 | 19.0 | 0.3 | 0.9 | 71.55 |
| 6 | 20.0 | 0.4 | 0.9 | 71.68 |
| 7 | 19.0 | 0.4 | 1.1 | 69.85 |
| 8 | 21.0 | 0.5 | 0.9 | 68.21 |
| 9 | 21.0 | 0.4 | 1.0 | 70.18 |
| K1 | 212.97 | 216.48 | 211.44 | – |
| K2 | 213.96 | 211.71 | 212.58 | – |
| K3 | 212.49 | 211.23 | 215.4 | – |
| Excellent level | A2 | B1 | C3 | – |
| k1 | 70.99 | 72.16 | 70.48 | – |
| k2 | 71.32 | 70.57 | 70.86 | – |
| k3 | 70.83 | 70.41 | 71.80 | – |
| R | 0.49 | 1.75 | 1.32 | – |
Note: R values represent the range (max & min) of mean indices across different factor levels, indicating the significance of each factor. Larger R values denote more pronounced effects on the experimental outcome.
The regression equation of the standard curve was determined as Y = 0.0258 × +0.0699, where Y represents the absorbance of the solution; X denotes the concentration of the solution, and R2 = 0.9997, which proved that this method exhibited a good linear relationship in the concentration range of 5–25 μg/mL.
The test solution was subjected to color development and fixed with 75% ethanol. Following a 15-min equilibration period, the absorbance was measured at 358 nm. The results indicated that the absorbance values ranged from 0.3230 to 0.3253 with RSD = 0.13%, confirming the excellent precision of the instrument.
The test solution was prepared by adding color developer and 75% ethanol to the scale line. After a 15-min standing period, triplicate measurements were performed at 358 nm and averaged at 10, 20, 30, 40, 50, and 60 min. The absorbance values were observed to range from 0.3277 to 0.3350 with an RSD of 0.78%, thereby demonstrating the stability of the method over a 60-min duration. The test solution was prepared, color developer was added, and the volume was adjusted with 75% ethanol. After standing for 15 min, the absorbance was measured at 358 nm, and the total flavonoid content and RSD value were calculated using the regression equation. The results showed no significant variability among the values, with an RSD of 1.18%, confirming the reproducibility of analytical method.
Nine portions of mulberry leaf flour powder of known content were precisely weighed, and rutin standard was added in ratios of 1:1, 2:1, and 3:1. The test solutions were prepared, color developer was added, and volumes were adjusted. Following a 15-min equilibration period, the absorbance was measured at 358 nm and the total flavonoid content, recovery, and RSD value were calculated using the regression equation. As shown in Table 13, the recoveries of samples ranged from 98.12% to 102.36%, with RSD values were 1.07%, 1.01%, and 0.94%, confirming the excellent accuracy of analytical method.
Table 13. Antioxidant activity measurements for mulberry leaf noodles.
| Assay | Concentration (ug/mL) | Mulberry leaf powder | Mulberry leaf juice | Mulberry leaf pulp |
|---|---|---|---|---|
| DPPH | 400 | 18.40 ± 0.15 | 28.53 ± 0.15 | 27.64 ± 0.15 |
| 800 | 32.00 ± 0.27 | 33.78 ± 0.15 | 47.20 ± 0.41 | |
| 1,200 | 46.48 ± 0.15 | 49.87 ± 0.31 | 61.33 ± 0.31 | |
| 1,600 | 61.07 ± 0.56 | 77.60 ± 0.41 | 85.60 ± 0.31 | |
| 2,000 | 75.47 ± 0.31 | 94.13 ± 0.56 | 97.78 ± 0.15 | |
| ABTS | 400 | 10.06 ± 0.46 | 15.04 ± 0.63 | 18.17 ± 0.15 |
| 800 | 22.42 ± 0.71 | 27.86 ± 0.52 | 32.28 ± 0.46 | |
| 1,200 | 43.30 ± 0.59 | 43.31 ± 0.34 | 46.23 ± 0.15 | |
| 1,600 | 59.73 ± 0.38 | 61.39 ± 0.92 | 70.56 ± 0.41 | |
| 2,000 | 74.01 ± 0.36 | 79.36 ± 0.38 | 97.32 ± 0.27 |
Note: DPPH: 2,2-diphenyl-1-picrylhydrazyl; ABTS: 2,2'-azino-bis (3-ethylbenzothiazoline-6-sulfonic acid).
The results of flavonoids content are presented in Table 14. It shows that total flavonoids of four types of noodles were determined, and it was observed that all mulberry leaf (powder, juice, and pulp) noodles contained flavonoids, while the content of total flavonoids of conventional noodles was 0.162 mg/g, which was much lower than that of total flavonoids in mulberry leaf noodles.
Table 14. Determination of total flavonoids in mulberry leaf noodles.
| Sample name | Mean total flavonoid content (mg/g) | DPPH IC50 (mg/mL) | ABTS IC50 (mg/mL) |
|---|---|---|---|
| Mulberry leaf powder | 1.317 ± 0.01 | 0.4640 | 0.5054 |
| Mulberry leaf juice | 1.603 ± 0.01 | 0.4102 | 0.4799 |
| Mulberry leaf pulp | 1.413 ± 0.02 | 0.3327 | 0.4299 |
| Plain noodles | 0.162 ± 0.05 | – | – |
Note: DPPH IC50: scavenging 50% of 2,2-diphenyl-1-picrylhydrazyl; ABTS IC50: scavenging 50% of 2,2'-azino-bis (3-ethylbenzothiazoline-6-sulfonic acid).
The antioxidant activity assessments of mulberry leaf powder noodles, mulberry leaf juice noodles, and mulberry leaf pulp noodles were conducted using both DPPH and ABTS methods, which showed (Figures 5 and 6, and Tables 13 and 14) that free radical scavenging rates of the three varieties of mulberry leaf noodles exhibited concentration-dependent enhancement in the concentration range of 400–2,000 μg/mL. Specifically, results of the DPPH method indicated that scavenging ability was ranked as follows: mulberry leaf pulp noodles > mulberry leaf juice noodles > mulberry leaf powder noodles, with mulberry leaf powder noodles displaying a more stable trend line. Conversely, experimental data of the ABTS method showed that scavenging capacity was ranked as follows: mulberry leaf pulp noodles > mulberry leaf powder noodles > mulberry leaf juice noodles. This discrepancy may be attributed to the differential response properties of antioxidant components (e.g., flavonoids) within various mulberry leaf noodles toward the fat- and water-soluble radicals. Both methods confirmed the optimal antioxidant activity of mulberry leaf pulp noodles, a phenomenon potentially associated with processing-induced variations in the dissolution rate of active ingredients.
Figure 5. DPPH scavenging rates of mulberry leaf powder, juice, and pulp noodle extracts.
Figure 6. ABTS scavenging rates of mulberry leaf powder, juice, and pulp noodle extracts.
Pearson’s correlation coefficient was employed to examine the degree of association between the two variables (Wang et al., 2022b). As presented in Table 15, P values derived from the correlation analysis ranged from 0.0035 to 0.0038, which were less than 0.01, indicating a significant positive correlation between the flavonoid components of mulberry leaf noodles and their corresponding antioxidant activity.
Table 15. Results of correlation coefficient assay of flavonoid components with antioxidant activity.
| Serial No. | Samples | DPPH | ABTS | ||
|---|---|---|---|---|---|
| R2 | P | R2 | P | ||
| 1. | Mulberry leaf powder noodles | 0.9998 | 0.0035 | 0.9978 | 0.0034 |
| 2. | Mulberry leaf juice noodles | 0.9563 | 0.0037 | 0.9943 | 0.0035 |
| 3. | Mulberry leaf pulp noodles | 0.9918 | 0.0038 | 0.9817 | 0.0036 |
Note: DPPH: 2,2-diphenyl-1-picrylhydrazyl; ABTS: 2,2'-azino-bis (3-ethylbenzothiazoline-6-sulfonic acid; R2: coefficient of determination).
This study successfully optimized the ultrasonic-assisted extraction (UAE) process for mulberry leaf flavonoids using RSM, identifying 56% ethanol, a solid–liquid ratio of 1:40 g/mL, and extraction at 60°C for 30 min as optimal parameters, achieving a yield of 26.04%. Crucially, pretreatment by shade-drying, which minimizes photo-thermal oxidation and enzymatic degradation within a low-temperature, light-protected environment while preserving cellular integrity, proved significantly more effective than sun-drying for bioactive component retention. Applying the optimized extract, three functional noodle variants were developed: mulberry leaf powder noodles (1.317 ± 0.01 mg/g), mulberry leaf juice noodles (1.603 ± 0.01 mg/g), and mulberry leaf pulp noodles (1.413 ± 0.02 mg/g). This study confirmed the compliance of these mulberry leaf noodles with key industry standards (e.g., LS/T 3212-2014), demonstrating their strong potential for pilot-scale production. All exhibited potent antioxidant capacity, with IC50 values for both ABTS and DPPH radical scavenging assays below 0.60 mg/mL. The observed variations in IC50 values between ABTS and DPPH assays are attributed to their distinct underlying mechanisms—single-electron transfer for DPPH versus electron/hydrogen atom transfer for ABTS—combined with the influence of specific flavonoid structural characteristics and matrix effects within different noodle formulations. Notably, the superior performance of mulberry leaf pulp noodles is attributed to two mechanistic factors: (1) preservation of native flavonoid structures through minimal processing of whole mulberry leaf pulp, and (2) synergistic protection provided by the coexisting dietary fiber and polyphenols within the mulberry leaf pulp matrix, which may reduce oxidative degradation during processing. From a broader perspective, our findings provided both scientific and practical advances: (1) We established a scientifically validated UAE extraction method that maximizes flavonoid yield while preserving bioactivity; and (2) we demonstrated the commercial potential of mulberry leaf utilization through development of functional noodle products with enhanced bioactive properties and industry compliance.
Mulberry leaves provide significant concentrations of dietary fiber and essential micronutrients. Incorporation into noodle formulations modulates the food matrix architecture while conferring gastrointestinal benefits attributable to the physicochemical properties of dietary fiber. This study addresses two critical gaps in functional food development: (1) a scalable approach for valorizing agricultural byproducts, and (2) a nutrient-fortified staple food that combines traditional acceptability with enhanced bioactivity. Despite these promising results, the following translational challenges persist: (i) batch-to-batch variability in raw material composition affecting extract standardization; (ii) thermal degradation of flavonoids during industrial-scale drying processes; and (iii) consumer preference for conventional noodle textures. Therefore, the future investigations should prioritize in vivo validation of metabolic benefits, microencapsulation technologies for the stabilization of bioactive compounds, and sensory optimization through hybrid formulations with the incorporation of buckwheat or yam flour. Notably, our methodology aligned with China’s ‘East Mulberry-West Relocation’ initiative, which demonstrates how regional specialty crops can be transformed into high-value functional ingredients. In conclusion, this dual-focused strategy not only enhances nutraceutical efficacy and agricultural sustainability but also provides a replicable model for global functional food innovation, effectively bridging the gap between scientific discovery and commercial application.
No datasets were generated or analyzed in the current study.
Xirui Rao: conceptualization, methodology, software, validation, formal analysis, investigation, data curation, writing—original draft, visualization, supervision, and project administration; Di Deng and Jiang Lu: methodology (noodle formulation development) and investigation (antioxidant activity assays); Jing Miao, Churui Chang, and Xiangchun Shen: writing—review & editing, and interpretation of results; Shaohuan Liu: supervision, funding acquisition, writing—review & editing. All authors had read and agreed to the published version of the manuscript.
The authors declared no conflict of interest.
The authors gratefully acknowledged the financial support provided by the High-level Talents Research Fund of Guizhou Medical University (No.: XiaoBoHe J-2023-45) and the 2022 Rural Economic Revitalization Research and Agricultural Industry Technology Research Project of Guizhou Medical University (Fenggang County Silkworm Mulberry Resource By-Products Comprehensive Development and Utilization).
Ahsan M., Moin A., Ashraf H., Kamran M., Manzoor I., and Giuffrè A.M. 2023. Technological, quality and nutritional characteristics of Ramen noodles with wheat flour partially substituted by water chestnut flour. Italian Journal of Food Sciences 35(4): 136–146. 10.15586/ijfs.v35i4.2423
Awad A.M., Kumar P., Ismail-Fitry M.R., Jusoh S., Ab Aziz M.F., and Sazili A.Q. 2021. Green extraction of bioactive compounds from plant biomass and their application in meat as natural antioxidant. Antioxidants 10(9): 1465. 10.3390/antiox10091465
Babamoradi N., Yousefi S., and Ziarati P. 2018. Optimization of ultrasound-assisted extraction of functional polysaccharides from common mullein (Verbascum thapsus L.) flowers. Journal of Food Processing and Engineering 41(8): e12851. 10.1111/jfpe.12851
Cao J.S., Wei Q., Zhan J., Gao D.P., Jian B.B., and Zhang J. 2025. Optimization of the extraction process of aqueous extract of scutellaria baicalensis by response surface methodology and its antibacterial activity. Journal of Mountain Agriculture and Biology 44 (03), 1-9+23. 10.15958/j.cnki.sdnyswxb.2025.03.001
Cao J., Zhang X.Y., Zhou B., Lu Y., and Zhu F.Y. 2019. Study on extraction technology of total flavonoids from mulberry leaves. Food Fermentation Science and Technology 55(4): 66–70. 10.3969/j.issn.1674-506X.2019.04-012
Chan E.W., Wong S.K., Tangah J., Inoue T., and Chan H.T. 2020. Phenolic constituents and anticancer properties of Morus alba (white mulberry) leaves. Journal of Integrated Medicine 18(3): 189–195. 10.1016/j.joim.2020.02.006
Chen X., Su J.P., and Bai J. 2023. Effect of mulberry leaf extract based on PI3K/AKT pathway in type 2 diabetes mellitus rats. Journal of Experimental & Clinical Medicine 22(8): 795–800.
Chen Y., Yin L., Zhao Z.L.G., Shu Z.X., Yuan H.L., Fu C., Lv C., and Lin J.C. 2017. Optimization of the ultrasound-assisted extraction of antioxidant phloridzin from Lithocarpus polystachyus Rehd. using response surface methodology. Journal of Separation Science 40(22): 4329–4337. 10.1002/jssc.201700686
Chen K.Y., Zhu Y.J., Sheng X.E., and Liu Z. 2024. Influences of different drying temperature on quality and noodle texture characteristics of mulberry leaf powder. Guangzhou Guangzhou Chemical Industry. 52 (05): 58–60+82.
Dai R., Du M.Y., Fu J.J., Sun H., Xie W., Wu J.Y., and Wang J.H. 2023. Quality and antioxidant activity of fresh noodles with different amounts of mulberry leaf powder. Modern Food Science and Technology 39(12): 226–233.
Deng Q.L., Liu M.W., Shen J., Daguti T.A., Chen X.S., Xu W.S., and Xiao H. 2024. Total flavonoids, total polyphenols content and antioxidant activity of mulberry leaves from different regions. China Food Additive 35(3): 130–137. 10.19804/j.issn1006-2513.2024.3.016
Feng Y.J., Zeng Y.Q., Chen J., Zhu W.Q., and Zhou J.M. 2023. Protective effect of mulberry leaf extract on APAP-induced acute liver injury in mice. Huaxia Medical Journal 36(2): 38–42. 10.19296/j.cnki.1008-2409.2023-02-00
Fu X., Li L., Zhou W., and Dong W. 2013. Fuzzy mathematical evaluation of the production formula of mulberry leaf hanging noodles. Food Science and Technology 38(12): 180–183. 10.13684/j.cnki.spkj.2013.12.041
Huang J., Gong B.Y., Qi W.L., Fu L., Wang Z.D., and Wang T. 2021. Design process of high-quality mulberry leaf noodles. Food Industry 42(5): 10–13. (In Chinese)
Jeong S.Y., Kim E., Zhang M., Lee Y.S., Ji B., Lee S.H., Cheong Y.E., Yun S.I., Kim Y.S., Kim K.H., Kim M.S., Chun H.S., and Kim S. 2021. Antidiabetic effect of noodles containing fermented lettuce extracts. Metabolites 11(8): 520. 10.3390/metabo11080520
Kadam R.A., Dhumal N.D., and Khyade V. 2019. The mulberry, Morus alba (L.): the medicinal herbal source for human health. International Journal of Current Microbiology and Applied Sciences 8(4): 2941–2964. 10.20546/ijcmas.2019.804.341
Kazemi M., Khodaiyan F., Labbafi M., Saeid Hosseini S., and Hojjati M. 2019. Pistachio green hull pectin: optimization of microwave-assisted extraction and evaluation of its physicochemical, structural and functional properties. Food Chemistry 271: 663–672. 10.1016/j.foodchem.2018.07.212
Levent H., Koyuncu M., Bilgiçli N., Adıgüzel E., and Dedeoğlu M. 2020. Improvement of chemical properties of noodle and pasta using dephytinized cereal brans. Food Science and Technology (LWT) 134: 110123. 10.1016/j.lwt.2020.109123. (Note: DOI in original seems incorrect, corrected based on common practice for LWT)
Li R., Wang C., Chen Y., Li N., Wang Q., Zhang M., He C., and Chen H. 2021. A combined network pharmacology and molecular biology approach to investigate the active ingredients and potential mechanisms of mulberry (Morus alba L.) leaf on obesity. Phytomedicine 92: 153714. 10.1016/j.phymed.2021.153714
Li K., Zhang Z.J., Du Y.X., Li C.X., Zhang Y., Wang E.J., and Zhang D.Z. 2024. Nutritional and functional components in leaves of introduced fruit mulberry and leaf mulberry varieties and their antioxidant activities. Science and Technology of Food Industry 45 (20), 232-239. 10.13386/j.issn1002-0306.2023100104.
Li W., Zhang D.X., Liu L.J., Lv Q., Yuan M.Y., Zhao Y., and Li T. 2022. Extraction and antioxidant activity of total flavonoids from licorice cells. Feed Research 45(24): 68–72. 10.13557/j.cnki.issn1002-2813.2022.24.014
Lin Z.W., Gan T.T., Huang Y.Z., Bao L.J., Liu S., Cui X.P., Wang H.X., Jiao F., Zhang M.J., Su C., and Qian Y.H. 2022. Anti-inflammatory activity of mulberry leaf flavonoids in vitro and in vivo. International Journal of Molecular Sciences 23(14): 7694.
Liu X., Zhao C., An Y.X., Lei Y.W., Zhao Y., and Zhang J. 2023. Preparation of yam whole flour noodles and their effects on noodle quality. Food Research and Development 44(20): 107–114. 10.12161/j.issn.1005-6521.2023.20.015
Lu, Z.L. (Ed. & Annot). (1995). Mawangdui medical books. Liaoning Science and Technology Press.
Ma G., Chai X., Hou G., Zhao F., and Meng Q. 2022. Phytochemistry, bioactivities and future prospects of mulberry leaves: a review. Food Chemistry 372: 131335. 10.1016/j.foodchem.2021.131335
Ma X.H., Liu J.S., Zhang W.L., Li F., and Sun C. 2015. Research on staple foodization of Chinese mixed grain noodles. Food Research and Development 36(20): 181–184. (In Chinese)
National Pharmacopoeia Commission. 2020. Pharmacopoeia of the People’s Republic of China (Part One). Beijing: China Medical Science Press.
Shi J.B., Sui Y., Cai S., He J.J., Xiong T., Fan C.H., Chen X.L., Jia Z.W., Wang S.H., Cai F., Jiang X.J., and Mei X. 2023. Optimization of buckwheat noodle formulation and its in vitro digestive properties. Food Research and Development 44(10): 153–161.
Sivamaruthi B.S., Kesika P., Prasanth M.I., and Chaiyasut C. 2018. A mini review on antidiabetic properties of fermented foods. Nutrients 10: 1973. 10.3390/nu10121973
Sun G.Y., Li H., Yang C.H., Gan J.W., Tao G.S., Wang Q.M., and Yang D. 2022. Optimization of extraction process for total flavonoids from epimedium by response surface methodology. Chemical and Biological Engineering 39(11): 37–41. 10.3969/j.issn.1672-5425.2022.11.008
Tao S.J., Xu S., Cheng J., and Wang A.L. 2014. Preparation and functional component determination of mulberry leaf noodles. Journal of Southwest University (Natural Science Edition) 36(02): 36–40. 10.13718/j.cnki.xdzk.2014.02.006
Thakur M., Belwal T., Agarwal A., Amin T., Arzoo S., Bansal M., and Zargar I.A. 2023. Bioactive Components: A Sustainable System for Good Health and Well-Being. Springer, Singapore. 10.1007/978-981-19-2366-1
Varghese S.M., and Thomas J. 2019. Polyphenolic constituents in mulberry leaf extract (M. latifolia L. cv. BC259) and its antidiabetic effect in streptozotocin induced diabetic rats. Pakistan Journal of Pharmaceutical Sciences 32(1): 69–74.
Wang J., Chen X., Gao W.B., Zhang Z.Y., Zhang Y.N., and Liu T.Y. 2022a. Optimization of ultrasound-assisted extraction process and physiological activity of polysaccharides from Chrysanthemum officinale by response surface methodology. China Food Additives 33(2): 100–109. 10.19804/j.issn1006-2513.2022.02.014
Wang T.T., Liu X.R., Jia J., and Zhang L.L. 2022b. Optimization of ultrasonic-enzyme-assisted extraction of total flavonoids from Eucommia ulmoides leaves. Feed Research 45(17): 69–74. 10.13557/j.cnki.issn1002-2813.2022.17.016
Wen H.C., Zhang X.Y., and Li H.J. 2022. Comprehensive evaluation of mulberry leaf quality under different fixation methods based on principal component analysis. Acta Sericologica Sinica 48(3): 247–260. 10.13441/j.cnki.cykx.2022.03.007
Weremfo A., Abassah-Oppong S., Adulley F., Dabie K., and Seidu-Larry S. 2023. Response surface methodology as a tool to optimize the extraction of bioactive compounds from plant sources. Journal of the Science of Food and Agriculture 103(1): 26–36. 10.1002/jsfa.12121
Xie Q.R., Liu X.R., Xiao S.S., Pan W., Wu Y., Ding W.P., Lyu Q.Y., Wang X.D., and Fu Y. 2022. Effect of mulberry leaf polysaccharides on the baking and staling properties of frozen dough bread. Journal of the Science of Food and Agriculture 102(13): 6071–6079.
Zhang X.Z., Liu Y., and Mang L. 2021. Optimization of mulberry leaf flavonoid extraction by response surface methodology and study on antioxidant properties. Feed Industry. 42(19): 42–48. 10.13302/j.cnki.fi.2021.19.007
Zulkifli S.A., Abd Gani S.S., Zaidan U.H., and Halmi M.I.E. 2020. Optimization of total phenolic and flavonoid contents of defatted pitaya (Hylocereus polyrhizus) seed extract and its antioxidant properties. Molecules 25(4): 787. 10.3390/molecules25040787