Download

RESEARCH ARTICLE

Heat and mass transfer law during microwave vacuum drying of rice

Tongsheng Sun*, Zhen Yang, Huijuan He

School of Mechanical Engineering, Anhui Polytechnic University, Wuhu, China

Abstract

In order to obtain the microwave vacuum drying characteristics of rice and the change in law of temperature and humidity, the mechanism of water diffusion and migration in the drying process was analyzed based on the multiphase flow in porous media, the change model of moisture content was established, and the microwave heating process coupled with electromagnetic field and mass heat field was simulated. The accuracy of the multiphase porous medium model was verified by measuring the moisture changes during rice drying under different vacuum degrees. The results show that the temperature distribution of rice during heating is high in the center and low around, and the vacuum degree hardly affects the change in rice temperature. The capillary pressure in rice gradually increases, and the equilibrium vapor pressure gradually decreases during drying. The estimated moisture content reduced from 0.25 to 0.189, 0.177, and 0.169, and the experimental value decreased from 0.25 to 0.186, 0.177, and 0.167 after drying the rice for 60 min at vacuum of 0.02 MPa, 0.04 MPa, and 0.06 MPa, respectively. The experimental value was in agreement with the calculated value. The higher the vacuum degree, the faster the drying speed, and this finding provided a new idea for improving the drying efficiency.

Key words: capillary pressure, equilibrium vapor pressure, microwave drying, moisture content, porous media, vacuum degree

*Corresponding author: Tongsheng Sun, School of Mechanical Engineering, Anhui Polytechnic University, Wuhu, China. Email: suntongsheng@ahpu.edu.cn

Received: 21 July 2022; Accepted: 2 November 2022; Published: 1 January 2023

DOI: 10.15586/qas.v15i1.1153

© 2023 Codon Publications
This is an Open Access article distributed under the terms of the Creative Commons Attribution-NonCommercial-ShareAlike 4.0 International (CC BY-NC-SA 4.0). License (http://creativecommons.org/licenses/by-nc-sa/4.0/)

Introduction

Rice has a long history of planting worldwide as an essential primary food. Rice is susceptible to mildew infection during storage, which deteriorates its quality. The secondary metabolites of mildew could cause severe risks to human and animal health (Chen et al., 2021). Therefore, the drying treatment of rice is an indispensable step after harvest. Before entering the warehouse, a drying treatment must be carried out to make its moisture content reach the usual storage standard.

Microwave drying is widely used in the field of food drying due to the rapid drying speed caused by internal evaporation (Nisoa et al., 2021; Zhou et al., 2019). As a combined drying technology, microwave vacuum drying takes advantage of microwave heating and vacuum dehydration (Cao et al., 2019). Additionally, it has the benefits of energy conservation, quick drying times, short processing times, considerable microwave energy penetration depth, rapid and precise electronic control, clean heating process, and the ability to lower the heat needed to evaporate water from food materials (Dash et al., 2021). Xu et al. (2020) found that microwave vacuum drying is the most effective drying method for fresh okra compared to hot air drying and vacuum dehydration freeze drying. Carvalho et al. (2021) studied the microwave vacuum drying of barley malt and found that microwave vacuum technology is an attractive alternative for barley malt drying. Monteiro et al. (2018) suggested that microwave vacuum drying has great potential to produce dried and crispy fruits and vegetables. Zielinska et al. (2018) found that microwave–-vacuum pretreatment accelerates mass transfer during the osmotic dehydration of cranberries.

When drying under standard atmospheric pressure, the water in the material is mainly discharged through boundary diffusion. When vacuum drying is adopted, the mass transfer resistance of water discharge under the action of internal and external pressure differences can be ignored (Tepe et al., 2020). During the microwave drying process, the internal temperature of the material rises rapidly, and part of the internal liquid is converted into steam, forming a pressure difference. Driven by the pressure difference, the internal steam and moisture are transferred to the surface to achieve drying of the material. Dash et al. (2021) studied the effect of process parameters on the physicochemical properties and color of the fruit during drying. They used the response surface methodology to optimize the process parameters of microwave vacuum drying, and obtained high-quality dried fruit. Lei et al. (2020) studied the effects of microwave power, vacuum degree, and weight on grape moisture content during microwave vacuum drying. They believed that the Page model could accurately describe and predict grape moisture change during microwave vacuum drying. At present, a large number of literature have discussed the effect of process parameters on the drying process, but there are few studies on the laws of mass and heat transfer at the microscopic scale, especially the microwave vacuum drying process of rice based on multiphase flow in porous media. Microwave vacuum drying helps to reduce time and cost, but because rice microwave vacuum drying is a complex heat and mass transfer process, it may affect rice quality in the case of uneven heating (Cao et al., 2017, 2019). The gradient of moisture content and temperature will cause thermal and mechanical stress inside the kernel, and this stress causes the seed to crack during the drying progress (Chayjan et al., 2019). Only by correctly grasping the law of quality and heat transfer can we avoid these hazards in the drying process and obtain high-quality drying effects.

Microwave vacuum drying is a good method for drying because of its fast drying speed and energy saving. Moreover, a correct understanding of the characteristics of microwave vacuum drying of rice, as well as the laws of quality and heat transfer law of rice, will help us better grasp the direction of rice drying and provide a theoretical basis for the development of efficient rice drying machines in the future. This study explores the law of mass and heat transfer during the drying process and the change in the characteristics of related parameters during the rice drying process. To solve these problems, this study established the transfer equations of microwave vacuum drying of rice, developed a microwave vacuum drying finite element model, used experiments to verify the accuracy of the model, explored the influence of related parameters on the microwave vacuum drying rate of rice, and provided a theoretical basis for realizing efficient drying of rice.

Materials and Methods

Experiment and simulation

In this study, 100 g of rice was taken as a sample each time, the initial drying temperature was 20°C, the -vacuum degree was 0.02 MPa, 0.04 MPa, and 0.06 MPa, and the microwave power was 400 W.

The moisture content of the rice was measured by the Grain Moisture Analyzer LDS-1G (Detuo Electron, Shanghai, China), the drying device is a microwave vacuum drying oven RWBZ-08S (Surui Group, Nanjing, China), and the working frequency is 2450 MHz, the cavity size is 320 × 340 × 250 mm3, and the maximum microwave power is 800 W, rice weight was measured by Huachao Digital Balance HC Huachao Hi-Tech (Hochoice, Shanghai, China).

The cavity was modeled with reference to the microwave vacuum drying oven used in the experiment, as shown in Figure 1. The model includes a microwave cavity, waveguide, etc. For the 100 g rice sample used in the experiment, in order to reduce the complexity of modeling, the grain heap was simplified to a cylindrical homogeneous body. The finite element software COMSOL (V5.6a, COMSOL Inc. Stockholm, Sweden) was used to solve the conservation of energy equations. The 60 s microwave vacuum heating simulation calculation was carried out under the vacuum degrees of 0.02 MPa, 0.04 MPa, and 0.06 MPa, to obtain the temperature field distribution during the drying process of the rice.

Figure 1. Finite element mesh generation. (A) Meshing scheme for cavity and (B) Meshing scheme for sample.

In order to verify the accuracy of the moisture content variation equation in the microwave vacuum drying process and understand the moisture change law during the drying process, microwave vacuum drying experiments were carried out on rice. Take the rice of the same variety, select the rice with entire grains and without any damages, soak it in water, dry it, and use the grain moisture meter to measure the moisture content. After it reaches the required moisture content, weigh 100 g into a beaker, spread it out, and place it in a microwave vacuum drying oven. Set the vacuum to 0.02 MPa, 0.04 MPa, and 0.06 MPa, and the maximum drying temperature is limited to 40°C, dry each group for 1 h. Weigh the weight every 4 min and calculate the moisture content. Fit the experimental data of rice moisture content under -different vacuum degrees and compare them with the calculated values to verify the accuracy of the model and analyze the influence of different vacuum degrees on the rice drying rate.

Law of mass and heat transfer

The drying process of rice can be regarded as the process of energy transmission and water migration of porous media. Every grain of rice is a mixture of solid, liquid, and gas. Free water can be transferred to the surface through water migration, and combined water can be transported to the surface of the material through local evaporation and diffusion. Therefore, water transport in the drying process includes free water migration, water vapor permeation, water vapor diffusion, and combined water diffusion.

In order to facilitate the establishment of the porous media transport model during the drying process, the following assumptions are adopted (Dai et al., 2020; Teleken et al., 2020; Wu et al., 2020): (1) The capillary of the porous material is rigid, and the sample does not undergo chemical reactions; (2) Each phase is in local thermodynamic equilibrium; (3) the gas phase is ideal in the sense of thermodynamics; (4) Darcy’s law applies to liquid and gas phases; (5) In the liquid and gas phases, the influence of gravity is ignored; (6) The permeability of liquid and gas can be expressed by the relative permeability; (7) Under macroscopic conditions, it is assumed that the sample is uniform and isotropic; (8) The nonthermal effects of microwave radiation can be ignored; (9) The deformation of the material during the drying process is not considered.

The porosity of rice (ϕ) is defined as the ratio of pores to the total volume of rice:

φ=Vw+VgV  1

Where, Vw and Vg are expressed respectively as the volume occupied by liquid water and gas, m3, and V is the total volume of the rice sample, m3.

For the pores of each volume element in rice, the water saturation (Sw) and gas saturation (Sg) are defined as the volume fraction of liquid water and gas relative to the total volume of the pores, respectively:

Si=ViφV,i=w,g 2

Mass conservation equation

During the rice heating and drying process, the mass conservation equation of the material transfer process can be expressed as follows (Selimefendigil et al., 2021):

cwt+n¯w=Iwcgt+n¯g=Iwcvt+n¯v=Iw  3

Where, cw, cg and cv are the mass concentrations of water, gases, and vapors, respectively, kg/m3; n¯w,n¯g, and n¯v are the mass flux of water, gas, and vapor phases, respectively, m2/s; and represents the phase change of free water.

During the drying of agricultural products, nuclear magnetic resonance shows that the free water decreased very fast in the initial stage. Combined water also experienced a similar rapid decline in the later stage (Lv et al., 2018), and therefore, the combined water migration process needs to be considered in the drying process. The mass conservation equation mainly includes three forms: the migration of free water, and the permeation and diffusion of combined water and water vapor. Because vacuum microwave drying is used in this study, the quality change caused by airflow can be ignored. Then, the mass conservation equation can be expressed as:

cwt+n¯w=Iwcgt+n¯g=0cvt+n¯v=Iw+Ibcbt+n¯b=Ib 4

Where, is the mass concentration of the combined water, kg/m3; is the mass flux of the combined water, m2/s; and Ib represents the phase change of the combined water. The relationship between mass concentration and moisture content can be expressed as follows (Li et al., 2008):

C=ρM  5

In the drying process, free and combined water leave the rice after evaporating. Combining Equations 4 and 5, the rice quality conservation equation is expressed as:

Mt+n¯w+n¯v+n¯bρs=0  6

Where, ρs is the rice density, kg/m3.

The process of migration of free water is mainly driven by the pressure gradient generated during the internal drying process of the rice. According to Darcy’s law, the seepage velocity is directly proportional to the pressure gradient in the medium, so the free water migration flux in the rice can be expressed as follows (El-Maghlany et al., 2019):

n¯w=ρwkwμ>wP  7

Where, μw is the viscosity of the liquid phase, Pa•s; kw is the permeability of water, m2; ρw is the density of water, kg/m3; and P is the total pressure of the gas phase, Pa.

For a mixture of air and steam, Dalton’s law states that the total pressure of the gas phase is equal to the sum of the partial pressures of steam and air. At the same time, under capillary pressure, the transfer of water out of the pores is hindered, and the pressure of free water in the pores can be expressed as (Vu and Tsotsas, 2019):

P=Pv+PaPc  8

Where, Pv is the partial pressure of steam in the capillary, Pa; Pa is the ambient pressure, Pa; and Pc is the capillary pressure, Pa.

From Equations 7 and 8, it can be seen that the free water migration flux can be reduced to:

n¯w=ρwkwμwPv+PaPc  9

In porous media, capillary pressures of different magnitudes are generated when the liquid content changes. The capillary pressure causes the liquid to be subjected to negative pressure, thereby affecting the free water migration. The capillary pressure is related to the moisture content and temperature of the material, which can be expressed as (Khan et al., 2018):

Pc=φk×0.12120.000167T×0.3641exp40Sw40+0.2211Sw+0.005Sw  10

Where, k is the inherent permeability, m2; and T is the temperature, K.

The evaporation of the liquid during the drying process will increase the gas phase pressure, thereby promoting the penetration of water vapor, and the capillary vapor pressure generated by the evaporation is given by the Kelvin equation (Chaiyo and Rattanadecho, 2013):

Pv=Pv,satTexpPcρvRT  11

Where, Pv,sat(T) is the saturated vapor pressure, Pa.

The rate of evaporation of liquid water to steam during the rice drying process can be expressed by the nonequilibrium equation (Kumar et al., 2018):

Iw=KMφSwPv,eqPvRT 12

Where, K is the evaporation rate constant, 1/s; Pv,eq is the equilibrium vapor pressure of water, Pa.

For porous media, the equilibrium vapor pressure at a specific moisture content and temperature can be represented by a moisture isotherm (Joardder et al., 2017):

Pv,eq=Pv.satTexp{0.182<0.696+0.232exp43.949MM0.0411lnPv,satT}  13

Water vapor is mainly eliminated by permeation and diffusion, and its fluidity depends on the pressure of the gas phase and the water vapor concentration gradient. Then the vapor phase mass flux can be expressed by Darcy’s law and Fick’s law of diffusion (Selimefendigil et al., 2020):

n¯v=ρvkvμvPvρvDvMv  14  

Where, is vapor density, kg/m3; is vapor permeability, m2; is steam viscosity, Pa•s; is water vapor diffusion coefficient, m2/s; is vapor content.

During the drying process, the combined water diffuses driven by the concentration gradient and the thermal gradient (Selimefendigil et al., 2021). Considering that the rice drying process takes a long time and adopts constant temperature drying, the effect of thermal gradient in the drying process can be ignored. The combined water quality flux can be described by Fick’s second law:

n¯b=Dbcb  15

Where, is the combined water diffusion coefficient, m2/s.

Energy conservation equation

The electromagnetic distribution in the microwave heating cavity can be analyzed by the Maxwell equation (Wang et al., 2020):

μr1E¯2πfc2ε'jε"E¯=0  16

Where, μr is the relative permeability; is the electric field strength, v/m; f is frequency, Hz; c is the speed of light (3.0 × 108 m/s), ε' and ε" are dielectric constant and dielectric loss respectively, and j is an imaginary number.

Loss of electromagnetic energy and dielectric loss is proportional to the square of the electric field intensity:

Q=12ωε0ε"E¯2  17

Where, Q is the lost power, w/m3; ω is the angular frequency, rad/s; ε0 is the dielectric constant of free space. The initial conditions of all variables are listed in Table 1 (Fan et al., 2014; Pham et al., 2020; Teleken et al., 2020).

Table 1. Initial condition and material properties applied in model.

Parameter Value
Microwave frequency f/GHz
Output power/W
2.45
400
Pressure, P (kPa)
Temperature, T0 (K)
101.325
293.15
Dielectric constant
water
solid
gas
86.5 − 0.33 (T − 273.15)
51.4
1
Loss constant
water
solid
vapor
13.4 − 0.13 (T − 273.15)
0.001T2 − 0.224T + 17.133
0
Density
water, ρw (kgm−3)
vapor, ρv (kgm−3)
solid, ρs (kgm−3)
998
Ideal gas
1185
Viscosity
water, μw (Pas)
vapor, μv (Pas)
Evaporation constant, K (1/s)
Latent heat of change phase of water, λh (J/kg)
2.74 × 10−6exp (1735.5/T)
0.017 × 10−3exp(T/273)0.35
100
2.36 × 106

The temperature changes in the microwave vacuum drying process can be described by the energy conservation equation. The energy conservation equation includes heat conduction, evaporative cooling, and microwave heat source terms (Autengruber et al., 2020), there are three forms of solid, liquid, and gas in the drying process of porous media, and the three are at the same temperature at the same place, so it is only necessary to list the following energy conservation equation for the drying medium (Li et al., 2019):

ρeffCp,effTt=keffTλhI+Q  18

Where, λh refers to evaporation latent heat, J/kg; physical properties of the mixture can be obtained by the physical properties of the average of the components of the object; ρeff, Cp,eff, and keff respectively refers to the density weighted mixture, kg/m3, specific heat capacity, J/(kg•K), Thermal conductivity, W/(m•K), weighted by volume fraction, or mass fraction (Pham et al., 2020):

ρeff=φSgρg+Swρw+1+φρsCp,eff=φSgCpg+SwCw+1+φCpskeff=φSgkth,g+Swkth,w+1+φkth,s  19

Where, kth,g, kth,w, and kth,s represent the thermal conductivity of gas, water, and solid, respectively, W/(m•K); Cpg, Cpw, Cps represent specific heat of gas, water, and solid, respectively, J/(kg•K).

In the drying process, the surface of the rice mainly takes away heat by convection heat transfer, so the boundary heat loss can be expressed as (Vu and Tsotsas, 2019):

qsurf=hTTTair  20

Where, hT is the convective heat transfer coefficient, W/(m2•s); Tair is the room temperature, K.

Results and Discussion

Figure 2 shows the diffusion and migration of moisture during the drying process. As the temperature increases, the capillary pressure will gradually decrease, which increases the free water migration during the drying process, thereby promoting the reduction of water content in rice. Moreover, with the increase of temperature, the equilibrium vapor pressure will gradually increase, which will increase the gasification speed and water vapor migration in rice, thereby promoting the reduction of rice moisture content. For the effect of vacuum degree, the higher the vacuum degree, the stronger the external negative pressure on the free water inside the rice, which will promote the migration of free water inside the rice, thereby accelerating the reduction of water content in the rice.

Figure 2. Diffusion and migration of moisture during drying.

Temperature changes during rice drying

The microwave heating simulation of rice was carried out under different vacuum degrees, after 30 s, 45 s, and 60 s. The results of the solution of the temperature field are shown in Figure 3. It can be seen from the figure that the temperature distribution of the grain pile shows a trend of high center point and low surroundings. This is because the heat of the central portion is not easily sent out, which produces a hot spot in the microwave chamber (Bhagya et al., 2021). And as time increases, the heat gradually spreads to the edge, which indicates that the piled rice grains are heated unevenly during the microwave heating process condition.

Figure 3. Simulated temperature distribution of rice pile under different vacuum and drying time.

The comparison shows that under different pressures, the temperature difference of the rice during the heating process is small, indicating that the degree of vacuum has less influence on the heat transfer process during the drying process of the rice. This finding was in agreement with that of Zhan et al. (2020), who reported that the degree of vacuum has a negligible effect on the drying behavior.

Figure 4 shows the temperature increase curve in the center of the grain pile during microwave heating. At high power density, free water within sample absorbed much microwave energy (Liu et al., 2021). It can be seen that the rice temperature increases rapidly with time and that the central point temperature can reach about 52°C when heated for 60 s. Because the temperature rises quickly during the heating process, it is necessary to accurately grasp the heating time during the drying process to prevent excessive temperature from affecting the quality of rice.

Figure 4. Central temperature curve of rice pile.

From the numerical relationship, it can be seen that at the same time, the temperature of the rice core is the highest when the vacuum degree is 0.06 MPa, and the temperature is the lowest when the vacuum is 0.02 MPa. It can be seen that the higher the vacuum degree, the higher the corresponding temperature at the same time. This is mainly due to the convective heat transfer as the main external conduction method in the drying process of rice. The higher the vacuum, the thinner the air and the weaker the convective heat transfer, resulting in a faster rise in sample temperature.

Changes of capillary pressure during rice drying

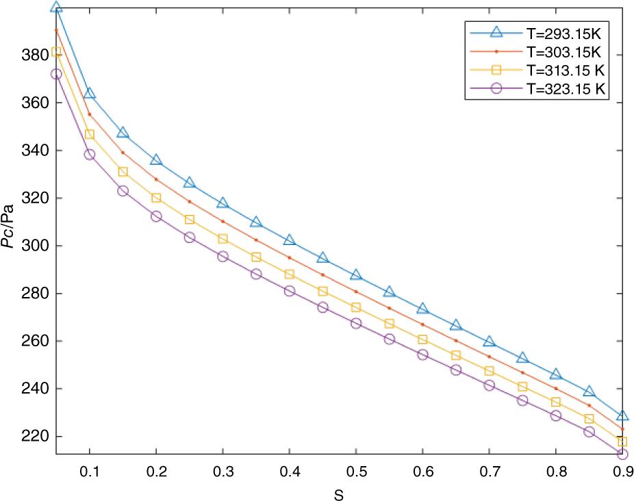
For unsaturated porous media, the capillary pressure causes the liquid to be subjected to negative pressure, which has a great influence on moisture migration during the drying process. The capillary pressure of the porous media is related to the ambient temperature and saturation, as shown in Figure 5. At 293.15 K, 303.15 K, 313.15 K, and 323.15 K, the capillary pressure decreases with the increase of saturation. Among them, when the temperature is 293.15 K, the capillary pressure is as high as 400 Pa, and when the temperature is 323.15 K, the capillary pressure is only 372 Pa at the highest point. Under the same saturation, the higher the temperature, the lower the capillary pressure. Standnes et al. (2021) reported that the capillary drainage pressure declines with a fractional rate for increasing temperature, which further supported the findings of this study. At the same time, under the same temperature conditions, the capillary pressure gradually decreases as the water saturation of the rice increases.

Figure 5. Relationship between capillary pressure and -saturation at different temperatures.

When the external pressure does not change, as the drying process of the rice goes on, the moisture content will gradually decrease, and the capillary pressure will increase accordingly. Under the action of the capillary pressure, the negative pressure of the liquid will gradually increase, which will gradually reduce the drying rate.

Changes of equilibrium vapor pressure during rice drying

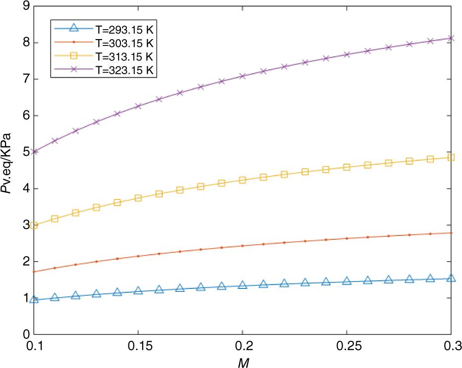
For porous media, the equilibrium vapor pressure at a specific moisture content and temperature can be represented by a moisture isotherm. Figure 6 shows the relationship between equilibrium vapor pressure and moisture content and temperature.

Figure 6. Effect of moisture content on equilibrium vapor pressure at different temperatures.

It can be seen from the figure that when the water content is 0.1, at a temperature of 293.15 K, the minimum equilibrium vapor pressure is about 1 KPa, and at a temperature of 323.15 K, the equilibrium vapor pressure can reach 5 KPa. At the same time, at the same temperature, as the moisture content decreases, the equilibrium vapor pressure gradually decreases. When comparing the four curves, it can be found that the higher the temperature, the higher the equilibrium vapor pressure under the same moisture content, which indicates that increasing the drying temperature helps to increase the drying rate.

Changes of moisture content under different vacuum degrees

Figure 7 shows the variation of moisture content with time when rice is dried in the microwave at different vacuum degrees.

Figure 7. Change of moisture content during drying under different vacuum degrees.

After drying the rice for 60 min under the drying conditions of vacuum degrees of 0.02M Pa, 0.04M Pa, and 0.06M Pa, the calculated moisture content decreased from 0.25 to 0.189, 0.177 and 0.169, and the experimental value decreased from 0.25 to 0.186, 0.177, and 0.167. The experimental value was in good agreement with the calculated value. It can also be found from the figure that the moisture content declined rapidly during the first 10 min of the drying process, and as the drying progressed, the declining trend of the moisture content gradually slowdown. These findings are in line with the reports of other authors (Li et al., 2020).

Compared with the experimental value the calculated value decreased faster in the initial stage. This is because the calculated value was set to a temperature of 40°C, and it took a period of heating to reach this temperature during the experiment. Under the conditions of vacuum degree of 0.02 MPa, 0.04 MPa, and 0.06 MPa, respectively, the rice grains showed a slowdown in drying trend, and the higher the vacuum degree, the faster the moisture content decreased, indicating that increasing the vacuum degree has a positive effect on rice drying.

Conclusion

In this article, the law of mass and heat transfer is studied in the process of microwave vacuum drying of rice. Combined with three-dimensional finite element simulation and experimental verification, the characteristic drying parameters are analyzed, and the following conclusions are drawn:

  1. The temperature of rice increases relatively rapidly during the microwave heating process, and the degree of vacuum has little effect on heat transfer during the heating process. The overall temperature distribution of the grain pile presents a trend of high center and low surroundings, and the rice was heated unevenly during microwave drying.

  2. Through numerical analysis, it was found that the drying rate of rice was different during drying under different vacuum degrees. The calculated value is in good agreement with the experimental value. In the initial stage, the moisture content of rice decreased rapidly. And as the drying progressed, the moisture content continued to decrease, and the drying rate gradually slowed down, showing a trend of decreasing rate.

  3. The reason for the decrease in rice drying rate is the change in capillary pressure and equilibrium vapor pressure. As the moisture content of the rice gradually decreases, the capillary pressure inside the rice increases, while the equilibrium vapor pressure gradually decreases. The increase of capillary pressure gradually increases the negative pressure on the liquid inside the rice, and the decrease of the equilibrium vapor pressure leads to the reduction of the water evaporation rate during the drying process, both of which can lead to the decrease of the drying rate.

Acknowledgments

This work was supported by Anhui Provincial Natural Science Foundation (2208085ME140), Scientific Research Project of Anhui Polytechnic University (Xjky2020001).

Conflict of Interest

No potential conflict of interest was reported by the authors.

REFERENCES

Autengruber, M., Lukacevic, M. and Füssl, J., 2020. Finite-element-based moisture transport model for wood including free water above the fiber saturation point. International Journal of Heat and Mass Transfer 161: 120228. 10.1016/j.ijheatmasstransfer.2020.120228

Bhagya Raj, G.V. and Dash, K.K., 2021. Heat transfer analysis of convective and microwave drying of dragon fruit. Journal of Food Process Engineering 44(9): e13775. 10.1111/jfpe.13775

Cao, X., Chen, J., Islam, M.N., Xu, W. and Zhong, S., 2019. Effect of intermittent microwave volumetric heating on dehydration, energy consumption, antioxidant substances, and sensory qualities of litchi fruit during vacuum drying. Molecules 24(23): 4291. 10.3390/molecules24234291

Cao, X., Zhang, M., Fang, Z., Mujumdar, A.S., Jiang, H., Qian, H., et al., 2017. Drying kinetics and product quality of green soybean under different microwave drying methods. Drying Technology 35(2): 240–248. 10.1080/07373937.2016.1170698

Carvalho, G.R., Monteiro, R.L., Laurindo, J.B. and Augusto, P.E.D., 2021. Microwave and microwave-vacuum drying as alternatives to convective drying in barley malt processing. Innovative Food Science & Emerging Technologies 73: 102770. 10.1016/j.ifset.2021.102770

Chaiyo, K. and Rattanadecho, P., 2013. Numerical analysis of heat–mass transport and pressure build-up in 1D unsaturated porous medium subjected to a combined microwave and vacuum system. Drying Technology 31(6): 684–697. 10.1080/07373937.2012.754461

Chayjan, R. A., Ghasemi, A. and Sadeghi, M., 2019. Stress fissuring and process duration during rough rice convective drying affected by continuous and stepwise changes in air temperature. Drying Technology 37(2): 198–207. 10.1080/07373937.2018.1445637

Chen, T., Liu, C.Y., Meng, L.L., Lu, D.L., Chen, B. and Cheng, Q.W., 2021. Early warning of rice mildew based on gas-chromatography-ion mobility spectrometry technology and chemometrics. Journal of Food Measurement and Characterization 15(2): 1939–1948. 10.1007/s11694-020-00775-9

Dai, J.W., Yang, S.L., Wang, J., Weng, M.D., Fu, Q.Q. and Huang, H., 2020. Effects of microwave vacuum drying on drying characteristics and quality of banana slices. Nongye Jixie Xuebao 51(S1): 493–500. http://dx.chinadoi.cn/10.6041/j.issn.1000-1298.2020.S1.058

Dash, K.K., Shangpliang, H., Bhagya Raj, G.V.S., Chakraborty, S. and Sahu, J.K., 2021. Influence of microwave vacuum drying process parameters on phytochemical properties of sohiong (Prunus nepalensis) fruit. Journal of Food Processing and Preservation 45(3): e15290. 10.1111/jfpp.15290

El-Maghlany, W.M., Bedir, A.E.R., Elhelw, M. and Attia, A., 2019. Freeze-drying modeling via multi-phase porous media transport model. International Journal of Thermal Sciences 135: 509–522. 10.1016/j.ijthermalsci.2018.10.001

Fan, D., Li, C., Li, Y., Chen, W., Zhao, J., Hu, M., et al., 2014. Experimental analysis and numerical modeling of microwave reheating of cylindrically shaped instant rice. International Journal of Food Engineering 10(1): 59–67. 10.1515/ijfe-2012-0085

Joardder, M.U.H., Kumar, C. and Karim, M.A., 2017. Multiphase transfer model for intermittent microwave-convective drying of food: considering shrinkage and pore evolution. International Journal of Multiphase Flow 95: 101–119. 10.1016/j.ijmultiphaseflow.2017.03.018

Khan, M.I.H., Joardder, M.U.H., Kumar, C. and Karim, M.A., 2018. Multiphase porous media modelling: a novel approach to predicting food processing performance. Critical Reviews in Food Science and Nutrition 58(4): 528–546. 10.1080/10408398.2016.1197881

Kumar, C., Joardder, M.U.H., Farrell, T.W. and Karim, M.A., 2018. Investigation of intermittent microwave convective drying (IMCD) of food materials by a coupled 3D electromagnetics and multiphase model. Drying Technology 36(6): 736–750. 10.1080/07373937.2017.1354874

Lei, Y.D., Chen, J.L., Zhang, Z.H. and Deng, X.R., 2020. Influence of microwave vacuum drying on the effective moisture diffusivity of seedless white grapes. Food Science and Technology 42: e37020. 10.1590/fst.37020

Li, H., Zheng, C., Lu, J., Tian, L., Lu, Y., Ye, Q., et al., 2019. Drying kinetics of coal under microwave irradiation based on a coupled electromagnetic, heat transfer and multiphase porous media model. Fuel 256: 115966. 10.1016/j.fuel.2019.115966

Li, X.J., Zhang, B.G. and Li, W.J., 2008. Microwave-vacuum drying of wood: model formulation and verification. Drying Technology 26(11): 1382–1387. 10.1080/07373930802333551

Li, Y.H., Wan, N., Wu, Z.F., Wang, X.C. and Yang, M., 2020. A three-stage microwave-vacuum, pulsed-vacuum, and vacuum drying method for lotus seeds. Journal of Food Processing and Preservation 44(11): e14896. 10.1111/jfpp.14896

Liu, H., Liu, H., Liu, H., Zhang, X., Hong, Q., Chen, W., et al., 2021. Microwave drying characteristics and drying quality analysis of corn in China. Processes 9(9): 1511. 10.3390/pr9091511

Lv, H., Lv, W.Q., Cui, Z.W., Lv, H.Z., Ma, J.W. and Zhao, D., 2018. Analysis of drying characteristics of apple slices under different microwave environments. Nongye Jixie Xuebao 49(S1): 440–446. http://dx.chinadoi.cn/10.6041/j.issn.1000-1298.2018.S0.059

Lv, W.Q., Zhang, M., Wang, Y.C. and Adhikari, B., 2018. Online measurement of moisture content, moisture distribution, and state of water in corn kernels during microwave vacuum drying using novel smart NMR/MRI detection system. Drying Technology 36(13): 1592–1602. 10.1080/07373937.2017.1418751

Monteiro, R.L., Link, J.V., Tribuzi, G., Carciofi, B.A. and Laurindo, J.B., 2018. Effect of multi-flash drying and microwave vacuum drying on the microstructure and texture of pumpkin slices. LWT—Food Science Technology 96: 612–619. 10.1016/j.lwt.2018.06.023

Nisoa, M., Wattanasit, K., Tamman, A., Sirisathitkul, Y. and Sirisathitkul, C., 2021. Microwave drying for production of rehydrated foods: a case study of stink bean (Parkia speciosa) seed. Applied Sciences 11(7): 2918. 10.3390/app11072918

Pham, N.D., Khan, M.I.H. and Karim, M.A., 2020. A mathematical model for predicting the transport process and quality changes during intermittent microwave convective drying. Food Chemistry 325: 126932. 10.1016/j.foodchem.2020.126932

Selimefendigil, F., Özcan Çoban, S. and Öztop, H.F., 2020. Convective drying of a moist porous object under the effects of a rotating cylinder in a channel. Journal of Thermal Analysis and Calorimetry 141(5): 1569–1590. 10.1007/s10973-019-09140-5

Selimefendigil, F. and Öztop, H.F., 2021. Three dimensional unsteady heat and mass transport from six porous moist objects in a channel under laminar forced convection. Applied Thermal Engineering 183: 116100. 10.1016/j.applthermaleng.2020.116100

Standnes, D.C. and Fotland, P., 2021. A thermodynamic analysis of the impact of temperature on the capillary pressure in porous media. Water Resources Research 57(8): e2021WR029887. 10.1029/2021WR029887

Teleken, J.T., Quadri, M.B., Oliveira, A.P., Laurindo, J.B., Datta, A.K. and Carciofi, B.A., 2021. Mechanistic understanding of microwave-vacuum drying of non-deformable porous media. Drying Technology 39(7): 850–867. 10.1080/07373937.2020.1728303

Tepe, T. K., and Tepe, B. 2020. The comparison of drying and rehydration characteristics of intermittent-microwave and hot-air dried-apple slices. Heat and Mass Transfer, 56(11): 3047-3057. 10.1007/s00231-020-02907-9

Vu, H. T., and Tsotsas, E. 2019. A framework and numerical solution of the drying process in porous media by using a continuous model. International Journal of Chemical Engineering. 2019: 9043670. 10.1155/2019/9043670

Wang, W., Zhang, S., Pan, Y., Yang, J., Tang, Y. and Chen, G., 2020. Multiphysics modeling for microwave freeze-drying of initially porous frozen material assisted by wave-absorptive medium. Industrial & Engineering Chemistry Research 59(47): 20903–20915. 10.1021/acs.iecr.0c03852

Wu, H., Fang, C., Wu, R. and Qiao, R., 2020. Drying of porous media by concurrent drainage and evaporation: a pore network modeling study. International Journal of Heat and Mass Transfer 152: 118718. 10.1016/j.ijheatmasstransfer.2019.118718

Xu, G., Yin, H., He, X., Wang, D., Zhao, Y. and Yue, J., 2020. Optimization of microwave vacuum drying of okra and the study of the product quality. Journal of Food Process Engineering 43(2): e13337. 10.1111/jfpe.13337

Zhan, L., Yang, Y., Li, W., Wang, G., Li, Y. and Wang, N., 2020. Drying kinetics and mechanical properties of low temperature microwave dried cashmere fibers. Textile Research Journal 90(23–24): 2745–2754. 10.1177/0040517520929361

Zhou, J., Yang, X., Zhu, H., Yuan, J. and Huang, K., 2019. Microwave drying process of corns based on double-porous model. Drying Technology 37(1): 92–104. 10.1080/07373937.2018.1439952

Zielinska, M., Zielinska, D. and Markowski, M., 2018. The effect of microwave-vacuum pretreatment on the drying kinetics, color and the content of bioactive compounds in osmo--microwave-vacuum dried cranberries (Vaccinium macrocarpon). Food Bioprocess Technology 11(3): 585–602. 10.1007/s11947-017-2034-9