Download

Original Article

Application of an artificial neural network model to predict the change of moisture during drying of sturgeon bone marrow

Jiang Caiyan1, Shang Shan1, Zheng Jie2, Fu Baoshang1, GUO Minqiang3, Shen Pengbo1, Jiang Pengfei1*

1School of Food Science and Technology, Dalian Polytechnic University, National Engineering Research Center of Seafood, Dalian, PR China;

2Liaoning Ocean and Fisheries Science Research Institute, Dalian, PR China;

3Department of food science and engineering, Xinjiang Institute of Technology, Akesu, PR China

Abstract

In the experiment of this article, the artificial neural network (ANN) was used to establish the sturgeon bone marrow drying model. Further, the effects of different temperatures (40, 60, and 80°C), humidities (0, 20, and 40%), and air velocities (8, 16, and 25 m/s) on the drying characteristics of sturgeon bone marrow were studied. The studies had shown that with the increase of drying temperature, the acceleration of air velocity, and the decrease of humidity, the sturgeon bone marrow can be dried in the shortest period of 100 min. This study used ANN to feasibly predict dried sturgeon bone marrow moisture ratio, based on the time, temperature, humidity, and air velocity drying inputs. The results revealed that 11 hidden neurons were selected as the best configuration to predict the moisture ratio. This network was able to predict moisture ratio with R value 0.996. This model correctly predicted the optimal drying conditions and established that temperature is the single most significant factor in determining the drying time of sturgeon bone marrow. It is expected that this system will have broader application in other food drying requirements.

Key words: artificial neural network, hot-air drying, moisture content, sturgeon bone marrow, predict

*Corresponding author: Jiang Pengfei, School of Food Science and Technology, Dalian Polytechnic University, National Engineering Research Center of Seafood, Dalian 116034, PR China. Email: 67118948@qq.com

Received: 7 March 2022; Accepted: 15 May 2022; Published: 11 January 2023

DOI: 10.15586/qas.v15i1.1085

© 2023 Codon Publications
This is an Open Access article distributed under the terms of the Creative Commons Attribution-NonCommercial-ShareAlike 4.0 International (CC BY-NC-SA 4.0). License (http://creativecommons.org/licenses/by-nc-sa/4.0/)

Introduction

Sturgeon is one of the most ancient bony fishes, the class Osteichthyes (Guo et al., 2017), and one among the most important cold-water fishes farmed commercially (Hao et al., 2015; Gui et al., 2014). In 2017, the output of Chinese sturgeon breeding reached 83,058 tons, an increase of 5.45% from 2016 (Xu et al., 2018). China accounts for 80% of the world’s sturgeon population (Gui et al., 2015). We are interested in the sturgeon bone marrow that is taken from the spines of adult specimens farmed for at least 7 years, with a protein content of 70 g per 100 g of dry tissue, abundant amino acid components, and numerous trace elements (Guo et al., 2019). The most suitable processing method for sturgeon bone marrow is water bath heating, with heating at 100°C for 1.5 h yielding the best sensory evaluation, texture, rehydration characteristics, etc. (Jiang et al., 2019, 2021).

According to the data provided by the cooperative enterprises, sturgeon bone marrow products are mostly sold frozen or dry. Frozen products are difficult to transport and store, and dry products are not directly edible. The common dried sturgeon marrow on the market is directly dried from fresh marrow. Before consuming it, it is necessary to soak the dry product for 72 h and to steam it for 1.5 to 2 h. Drying is one of the oldest techniques for food preservation (Thrupathihalli et al., 2012). However, the process is time-consuming, so improving the process will promote industrial development. In this paper, a proposal is presented for using heat-treated sturgeon bone marrows as raw materials for drying. After drying, the dried sturgeon bone marrows need to soak for only 3 h before consumption or cooking.

Artificial neural networks (ANNs) offer good performance in the best approximation of nonlinear functions and have obvious advantages for optimizing test process parameters and predicting test results (Jafari et al., 2016; Yu et al., 2015; Thirupathihalli et al., 2014). ANNS have been successfully employed in a variety of food processing systems, including drying, baking, and visual inspection, as well as in the prediction of food properties and quality indicators (Turkay et al., 2017; Poonpat et al., 2014). Furthermore, ANNs have been successfully used to describe the drying behavior of other natural products such as codfish (Camila et al., 2011), salmon (Jiang et al., 2022), and shrimp (Imran et al., 2014). The most important factors of effective modeling of drying systems are simulation, prediction, optimization, control, mode detection, and fault diagnosis (Mortaza et al., 2015).

In this paper, an ANN is presented to simulate the drying process of sturgeon marrow, providing a theoretical basis for industrial production.

Materials and methods

Raw materials

In this research, the sturgeon bone marrows were provided by Quzhou Xunlong Aquatic Products Sci-tech Development Co., Ltd, in Quzhou, Zhejiang, China, taken from adult sturgeon over 7 years of age after slaughter. A total of 54 sturgeon bone marrow samples weighing 600 ± 52 g each were transported to the laboratory using refrigerated transportation. Figure 1 shows a sample of frozen marrow.

Figure 1. Frozen sturgeon bone marrow.

Cooking experiment

Before the experiment, the frozen marrow was cut (length × diameter) into (50 ± 2) mm × (20 ± 2) mm sections. Existing research indicates that increasing temperature reduces the heating time with little change in quality. Each marrow sample was placed in a plastic bag with water at a marrow: water ratio 1:10, heated in a water bath at 100°C for 1.5 h, and then the sample was removed and permitted to cool to room temperature. Then the marrow samples were cut into 3 ± 0.2 g pieces for further examination (Jiang et al., 2021).

Moisture ratio

The moisture ratio of the marrow during the drying experiments is calculated using the following equation (Akin et al., 2014):

MR=MtMeMiMe1

where MR, Mt, Mi, and Me are the moisture ratio, moisture content at a specific time, initial moisture content, and equilibrium moisture content, respectively.

Drying process

The processed samples were randomly divided into 27 groups, which were placed in the sections of a hexagonal bamboo placemat before being put into the drying oven (Model SCC WE 101, RATIONAL Co., Ltd., Germany) to start the drying procedure. Experiments are conducted at drying temperatures of 40, 60, and 80°C, with humidity at 0, 20, and 40% relative humidity. Most models do not consider variable air velocity for the sake of a uniform process (Malekjani et al., 2013; Ali et al., 2008). However, air velocity is one of the greatest factors that influence drying (Viviana et al., 2014; Mohammad et al., 2015). Therefore, air velocities considered are 8, 16, and 25 m/s. Each set of experiments is repeated using marrow samples weighing approximately 15 g. The change in mass of the samples is measured at 5-min intervals initially, gradually increased to 2-h intervals once the moisture content reached 15% or less or the mass change was less than 0.01 g/h.

Artificial neural network implementation

An ANN is an algorithm that computes a series of outputs from a set of input data (Shi et al., 2017). ANN is implemented to a three-layer like one shown in Figure 2 using an error backpropagation algorithm (Extended Back- Propagation Algorithm or Back-Propagation Algorithm) with a momentum adjustment and an adaptive learning rate (Shrestha et al., 2017).

Figure 2. The ANN structure for the single layer network.

The three kinds of layers in the ANN are known as input, hidden, and output layers. Eqs. (2) through (4) express the inputs of the input layer.

HIi1=I1×w11+b11+I2×v21+b21++Ii×ui1+bi1 2
HIi2=I1×w12+b12+I2×v22+b22++Ii×ui2+bi2 3
HIij=I1×w1j+b1j+I2×v2j+b2j++Ii×uij+bij 4

Eq. (5) expresses the outputs of the hidden layer:

HOj1=fHIij 5

The input signal to the output layer is estimated using Eq. (6):

OI1=HO11×X11+b11*+HO21×X21+b21*++HOj1×Xj1+bj1* 6

The final output can be expressed as:

OO1=fOI1 7

The neural network Toolbox and MATLAB R2012a were used to develop this implementation, employing Matlab’s Toolbox to write the program, load data files, train and validate the network, and save the model architecture. To predict the moisture ratio of the marrow during the drying process, four variables were used as input nodes to ANN model, including temperature (four levels), air velocity (three levels), humidity (three levels), and drying time. The moisture ratio of the marrow was taken as the target variable.

Before training the network, it is necessary to standardize the input and output data to express the correlation between them accurately. Further, the general weight value of both input and output data between [0,1] is normalized (Tatar et al., 2014; Lato et al., 2014) according to the equation

Xi¯=XiXminXmaxXmin 8

where xi Xi¯, xmin, and xmax are the weight values before and after pretreatment of neural i, and the minimum and maximum weights of each neural network, respectively.

The Levenberg-Marquardt (TRAINLM) algorithm was selected as the training function in this model (Menlik et al., 2010). In this study, the analysis data of drying process were randomly divided into three parts: the first part was used to train the network and consisted of approximately 70% of the total data points; the second part was used to validate the network and consisted of approximately 15% of the samples. The third part is that the remaining 15% were used as experimental inputs (Dariush et al., 2015; Guine et al., 2015). The different numbers of neurons in the hidden layer were considered. The best possible ANN structure is determined using the least mean square error (MSE) metric. An MSE of 0.01 was deemed to indicate convergence. A maximum of 1000 iterations were allowed to ensure that the network completed the training process.

Statistical analysis

Nonlinear regression was conducted using MATLAB (R2012a, MathWorks, Natick, MA) to develop the drying kinetics models. The curve fitting tool in MATLAB was used to develop empirical models from the data. Best fit models were selected based on the R2, root mean square error (RMSE), and residual sum of squares values. The results of the model obtained from MATLAB were exported to Microsoft Excel 2016 (Microsoft, Redmond, WA) and origin 8.5 (Origin Lab, Northampton, MA) for further analysis.

Results and discussion

Drying curves

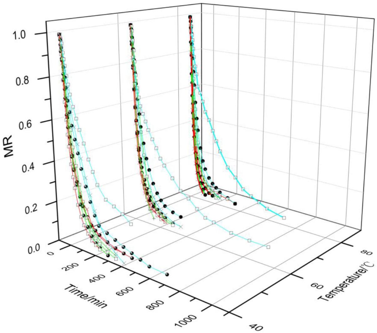
The weight loss of the marrow during the drying process is mainly due to the result of water evaporation on the surface. Figure 3 shows that the rate of moisture content loss is related to drying temperature, drying time, relative humidity, and drying air velocity. Before drying, the bone marrow contained a large amount of water. In the early stage of drying, there is significant free water on the surface of the marrow, and most of the water evaporates. At this point of time, the marrow had large moisture content and large amount of water, forming a larger gap with the surrounding hot air and enabling the water gradient’s ability to push water outward. As the drying progressed, the moisture ratio of the marrow tended to be flat. The moisture content gradually decreased, the amount of water between cells was greatly reduced, resulting in the decrease of the role of water gradient. At the same time, it was difficult for bound water linked by hydrogen bonding forces to precipitate from the cells, greatly slowing the drying process.

Figure 3. Experimental results for drying tests under different temperatures, humidities, and air velocities showing the moisture ratio (MR) change over time. Air velocities of 8, 16, and 25 m/s are represented by light blue, green, and red circles, respectively. Humidity levels of 0, 20, and 40% are represented by ‘×’, ‘●’, and ‘□’, respectively.

Referring again to Figure 3, higher temperatures yielded shorter drying times and better drying efficiency, requiring only 100 min at 80°C but 240 min at 40°C. In all cases, the 80°C drying rate was higher than any other conditions of the same temperature. Under the high temperature condition of 80°C, the influence of humidity and air velocity on drying was different. In the presence of high temperature, humidity and air velocity play auxiliary roles. The conditions of 80°C, 0% humidity, and 25 m/s air velocity had the shortest drying time. However, at 60°C, 0% humidity, and 16 m/s air velocity, the effect of humidity was significantly greater than the effect of air velocity on drying. At 40°C, 40% humidity, and 25 m/s air velocity, the effect of air velocity was significantly greater than the effect of humidity on drying. At 40°C, 40% humidity, and 8 m/s air velocity, spoilage occurred after drying 960 min, so the experiment was terminated early. Three different drying conditions (temperature 80°C, humidity 20% and air velocity 16m/s; temperature 80°C, humidity 20% and air velocity 25m/s; temperature 60°C, humidity 0% and air velocity 16m/s) were respectively screened out by taking the drying time and quality of sturgeon bone marrow as comprehensive evaluation indexes. Through the research, it is found that the quality characteristics of 80°C, 20% humidity, and 16 m/s air velocity were close to those before drying after rehydration at different water temperatures (Jiang et al., 2021). Therefore, comprehensively considering this condition, this effect was the best, and it can be used as the most suitable processing condition by industries and enterprises to process dried sturgeon bone marrow.

Analysis of the artificial neural network model

Only a single layer was used in this implementation because more layers may cause the local minimum problem (Rai et al., 2005; Li et al., 2016; Martinez et al., 2012). The optimal topology was chosen by determining the minimum error during testing. Each topology was tested five times to avoid random correlation due to the random initialization of the weights (Mansour et al., 2011). Figure 4 illustrates the network performance for varying numbers of neurons in the hidden layer with the testing data. The number of neurons in the hidden layer is determined by predicting the percentage change in the moisture ratio. After repeated trials, it was found that a network with 11, 17, or 19 hidden neurons produced the best performance. By calculation, the R for 11 hidden neurons was higher than the 17 and 19 hidden neurons implementation. Fewer layers lead to less running time and 11 hidden neurons were chosen in this experiment.

Figure 4. Experimental results used to determine the number of hidden layer neurons.

In summary, it is found that the feedforward backpropagation training algorithm was well suited for prediction of the moisture ratio based on different parameters Figure 4 shows that the ANN structure with 4 inputs, 11 neurons in the hidden layer, and 1 neuron in the output layer had the lowest MSE (0.00232), and the highest R (0.99605) values in test period. Figure 5 shows the training error for different numbers of iterations.

Figure 5. Performance of trained network.

Using MATLAB’s features, the dataset was randomly divided into the three parts mentioned early: training, testing, and verification. A total of 27 different conditions and obtained 496 data points were tested. Of those 496, 348 is used for training, 75 for testing, and 75 for model validation. According to the estimated values of R in Figure 6, the best network topology occurred with 4 input layer neurons, 11 hidden layer neurons, and 1 output layer neurons, with the tansig transfer function and the Levenberg-Marquardt training algorithm.

Figure 6. Comparison between experimental and predicted drying time values during training, validation, and testing of the 4-11-1 ANN model.

Table 1 shows the weights and bias estimation model data obtained by the ANN tool MATLAB R2012a. ANN accurately predicted the drying behavior of the sturgeon bone marrow. The BP model was chosen suitable for this study not only because of its accuracy but also because of its generality, being able to predict the behavior of the entire experimental range (Sarimeseli et al., 2014). The model parameters described in this section (Table 1) along with the others defined are almost certainly useful for applying this model to moisture ratio prediction in other food products (Tarafdar et al., 2018).

Table 1. ANN model topology for moisture ratio prediction, with values of weights and bias obtained for an optimal network.

Model characteristics Values
Topology 4.11.1
Initial weight matrix (source: input; destination HL) IW1,1=1.43052.20143.50093.84287.71197.27100.87170.61370.14540.95950.31400.91810.57020.34210.53670.95023.32355.45274.66073.64908.54920.17540.09080.16312.72135.31041.74521.95583.08560.31660.33970.60022.91215.81523.80031.38699.68810.83480.77170.34713.25542.23812.36260.2155
Bias (destination: HL) b(1)=[5.1724 0.0327 0.2961 0.5063 0.9072 9.5942 0.2337 3.3486 2.6256 9.1663 5.6435]T
Layer weight matrix (source: HL; destination: OL) LW(2,1)=[0.2755 0.2177 0.2495 0.4243 0.0935 4.6664 0.1261 0.5643 0.0431 0.3020 0.2994]
Bias (destination: OL) b(2)= [4.8956]

Conclusion

The implementation of a feedforward backpropagation neural network has demonstrated the suitability of the proposed system for drying sturgeon bone marrow. The network successfully fitted the drying factors temperature, humidity, and air velocity to dry the marrow as quickly as possible. Further, the test results reveal that the drying factors interact with each other, with temperature exerting the greatest overall influence. Also, the number of neurons in each layer of the network is optimized based on the MSE. The accuracy of the model can be improved with the additional study of the structure and parameters of the neural network. In future, the applicability of ANN to other foods will be studied.

Funding Statement

This research was supported by the National Key R&D Program of China, Project Number 2018YFD0901000, and the Key Science and Technology Program of Liaoning Province (2020JH1/10200001).

REFERENCES

Akin, A., Gurlek, G., Ozbalta, N., 2014. Mathematical model of solar drying characteristics for pepper (capsicum annuum). Isi Bilimi ve Teknigi Dergisi / Journal of Thermal Science & Technology 34(2): 99–109.

Ali, M., Shahin, R., Alireza, K., Zahra, E.D., 2008. Estimation of thin-layer drying characteristics of kiwifruit (cv. Hayward) with use of Page’s model. American-Eurasian Journal of Agricultural and Environmental Sciences 3(5): 802–805.

Camila, B., Fernando, N.S., Jorge, F., Jorge, S., Ângelo, S., 2011. Predicting the drying kinetics of salted codfish (Gadus Morhua): semi-empirical, diffusive and neural network models. Inter-national Journal of Food Science and Technology 46(3): 509–515. 10.1111/j.1365-2621.2010.02513.x

Dariush, Z., Hossein, N., Mohsen, R., 2015. Energy and Quality Attributes of Combined Hot-Air/Infrared Drying of Paddy. Drying Technology 33(5): 570–582. 10.1080/07373937.2014.962143

Guo, L., Wang, P., Liu, B., Ai, C.Q., Zhou, D.Y., Song, S., et al., 2017. Identification and quantification of uronic acid-containing polysaccharides in tissues of Russian sturgeon (Acipenser gueldenstaedtii) by HPLC-MS/MS and HPLC-MS. European Food Research and Technology 243(7): 1201–1209. 10.1007/s00217-016-2834-6

Guo, M.Q., Jiang, P.F., Fu, B.S., Bai, F., Qi, L.B., Shen, P.B., 2019. Analysis and evaluation of nutritional components of different kinds of freeze drying sturgeon’s bone marrow. Food Research and Development 40(12): 194–199.

Gui, M., Song, J., Zhang, Z., Hui, P., Li, P., 2014. Biogenic amines formation, nucleotide degradation and TVB-N accumulation of vacuum-packed minced sturgeon (Acipenser schrencki) stored at 4°C and their relation to microbiological attributes. Journal of The Science of Food and Agriculture 94(10): 2057–2063. 10.1002/jsfa.6524

Gui, M., Song, J.Y., Zhang, L., Wang, S., Wu, R.Y., Ma, C.W., et al., 2015. Chemical characteristics and antithrombotic effect of chondroitin sulfates from sturgeon skull and sturgeon backbone. Carbohydrate Polymers 123: 454–460. 10.1016/j.carbpol.2015.01.046

Guine, R.P.F., Almeida, C.F.F., Correia, P.M.R., Mendes, M., 2015. Modelling the Influence of Origin, Packing and Storage on Water Activity, Colour and Texture of Almonds, Hazelnuts and Walnuts Using Artificial Neural Networks. Food and Bioprocess Technology 8(5): 1113–1125. 10.1007/s11947-015-1474-3

Hao, S.X., Wei, Y., Li, L.H., 2015. The effects of different extraction methods on composition and storage stability of sturgeon oil. Food Chemistry 173: 274–282. 10.1016/j.foodchem.2014.09.154

Imran, A., Chawalit, J., Pisit, C., Somrote, K., 2014. Prediction of Physical Quality Parameters of Frozen Shrimp (Litopenaeus vannamei): An Artificial Neural Networks and Genetic Algorithm Approach. Food and Bioprocess Technology 7(5): 1433–1444. 10.1007/s11947-013-1135-3

Jiang, P.F., Qi, L.B., Guo, M.Q., Bai, F., Shen, P.b., Dong, X.P., 2019. Effect of different heating temperatures on quality of sturgeon bone marrow. The Food Industry 40(07): 195–198.

Jiang, P.F., Guo, M.Q., Chen, Y., Yu, W.J., Pei, L.Y., Shen, P.B., 2021. Quality Characteristics of Dried Sturgeon Bone Marrow under Different Rehydration Temperatures. The Food Industry 42(01): 10–14.

Jiang, P.F., Zhu, K.Y., Shang, S., Jin, W.G., Yu, W.Y., Li, S., Wang, S., Dong, X.P., 2022. Application of Artificial Neural Network in the Baking Process of Salmon. Journal of Food Quality 10.1155/2022/3226892

Jafari, S.M., Ganje, M., Dehnad, D., Ghanbari, V., 2016. Mathematical, Fuzzy Logic and Artificial Neural Network Modeling Techniques to Predict Drying Kinetics of Onion. Journal of Food Processing and Preservation 40(2): 329–339. 10.1111/jfpp.12610

Lato, L.P., Danijela, Z.S., Ljubinko, B.L., Biljana, R.C., Olgica, A.K., 2014. Effects of temperature and immersion time on rehydration of osmotically treated pork meat. Journal of Food and Nutrition Research 53(3): 260–270.

Li, S., Hu, Y., Hong, Y.M., Xu, L.B., Zhou, M.Z., Fu, C.X., et al., 2016. Analysis of the hydrolytic capacities of Aspergillus oryzae proteases on soybean protein using artificial neural networks. Journal of Food Processing and Preservation 40(5): 918–924. 10.1111/jfpp.12670

Martinez, O., Salmeron, J., Guillen, M.D., Pin, C., Casas, C., 2012. Physicochemical, sensorial and textural characteristics of liquid-smoked salmon (Salmo salar) as affected by salting treatment and sugar addition. International Journal of Food Science and Technology 47: 1086–1096. 10.1111/j.1365-2621.2012.02945.x

Malekjani, N., Jafari, S.M., Rahmati, M.H., Zadeh, E.E., Mirzaee, H., 2013. Evaluation of Thin-Layer Drying Models and Artificial Neural Networks for Describing Drying Kinetics of Canola Seed in a Heat Pump Assisted Fluidized Bed Dryer. International Journal of Food Engineering 9(4): 375–384. 10.1515/ijfe-2012-0136

Mansour, G.M., Mostafa, K., 2011. Comparison of Response Surface Methodology and Artificial Neural Network in Predicting the Microwave-Assisted Extraction Procedure to Determine Zinc in Fish Muscles. Food and Nutrition Sciences 2(8): 803–808. 10.4236/fns.2011.28110

Menlik, T., Özdemir, M.B., Kirmaci, V., 2010. Determination of freeze-drying behaviors of apples using artificial neural network. Expert Systems with Applications 37(12): 7669–7677. 10.1016/j.eswa.2010.04.075

Mohammad, F.D., Morteza, G., Reza, P., Mehdi, R.H., Hashemi, S.J., 2015. On the Characteristics of Thin-Layer Drying Models for Intermittent Drying of Rough Rice. Chemical Engineering Communications 202(8): 1024–1035. 10.1080/00986445.2014.900049

Mortaza, A., Soleiman, H., Arun, S.M., 2015. Application of Artificial Neural Networks (ANNs) in Drying Technology: A Comprehensive Review. Drying Technology: An International Journal 33(12): 1397–1462. 10.1080/07373937.2015.1036288

Poonpat, P., Panupong, Y., Akkarin, S., Pongpol, U., Saowanit, I. 2014. Classification of Boiled Shrimp’s Shape Using Image Analysis and Artificial Neural Network Model. Journal of Food Process Engineering 37(3): 257–263. 10.1111/jfpe.12081

Rai, P., Majumdar, G.C., Dasgupta, S., De, S., 2005. Prediction of the viscosity of clarified fruit juice using artificial neural network: a combined effect of concentration and temperature. Journal of Food Engineering 68(4): 527–533. 10.1016/j.jfoodeng.2004.07.003

Sarimeseli, A., Coskun, M.A., Yuceer, M., 2014. Modeling microwave drying kinetics of thyme (thymus vulgaris L.) leaves using ANN methodology and dried product quality. Journal of Food Processing & Preservation 38(1): 558–564. 10.1111/jfpp.12003

Shi, C., Cui, J.Y., Zhang, Y.M., Qin, N., Luo, Y.K., 2017. Application of artificial neural network to predict the change of inosine monophosphate for lightly salted silver carp (hypophthalmichthys molitrix) during thermal treatment and storage. Journal of Food Processing and Preservation 41(6). 10.1111/jfpp.13246

Shrestha, B.L., Wood, H.C., Tabil, L., Baik, O.D., Sokhansanj, S., 2017. Microwave permittivity-assisted artificial neural networks for determining moisture content of chopped alfalfa forage. IEEE Instrumentation and Measurement Magazine 20(3): 37–42. 10.1109/MIM.2017.7951691

Tatar, F., Cengiz, A., Kahyaoglu, T., 2014. Effect of hemicellulose as a coating material on water sorption thermodynamics of the microencapsulated fish oil and Artificial Neural Network (ANN) modeling of isotherms. Food and Bioprocess Technology 7(10): 2793–2802. 10.1007/s11947-014-1291-0

Tarafdar, A., Shahi, N.C., Singh, A., Sirohi, R. 2018. Artificial neural network modeling of water activity: a low energy approach to freeze drying. Food and Bioprocess Technology 11(1): 164–171. 10.1007/s11947-017-2002-4

Thrupathihalli, P.K.M., Balaraman, M., 2012. Microwave drying of mango ginger (Curcuma amadaRoxb): prediction of drying kinetics by mathematical modelling and artificial neural network. International Journal of Food Science and Technology 47(6): 1229–1236. 10.1111/j.1365-2621.2012.02963.x

Thirupathihalli, P.K.M., Balaraman, M., 2014. Hot air drying characteristics of mango ginger: Prediction of drying kinetics by mathematical modeling and artificial neural network. J Food Sci Technol 51(12): 3712–3721. 10.1007/s13197-013-0941-y

Turkay, K., Zhou, W.B., 2017. Recent applications of advanced control techniques in food industry. Food and Bioprocess Technology 10(3): 522–542. 10.1007/s11947-016-1831-x

Viviana, C.M., Camila, A.P., Adriano, C., Toni, J.L., Adriano, S., 2014. Hot-Air Drying Characteristics of Soybeans and Influence of Tempera-ture and Velocity on Kinetic Parameters. Journal of Food Process Engineering 37(6): 619–627. 10.1111/jfpe.12118

Xu, L.J., Lu, Y.H. 2018. China fishery statistical yearbook 2018. Beijing: China Agriculture Press.

Yu, H.M., Zuo, C.C., Xie, Q.J. 2015. Drying Characteristics and Model of Chinese Hawthorn Using Microwave Coupled with Hot Air. Mathematical Problems in Engineering 1: 1–15. 10.1155/2015/480752